Exemplo de utilização

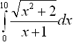
Criar a seguinte expressão matemática utilizando o editor de equações.

1 – Abra o editor de equações.

2 – Para criar o símbolo da integral clique no botão e em seguida escolha no menu a opção . Clique no quadrado pequeno inferior e digite 0, clique no quadrado pequeno superior e digite 10.

3 – Para criar a fração clique no quadrado maior em frente ao símbolo da integral, clique no botão da barra de ferramentas e em seguida escolha a opção .

4 – Clique no quadrado na parte inferior da fração e digite x + 1.

5- Clique no quadrado superior, em seguida clique e selecione a opção para inserir a raiz quadrada.

6 – Para inserirmos a expressão x2 + 2, clique no quadrado embaixo da raiz, e digite x, em seguida clique no botão e selecione a opção Clique com a tecla da seta para direita para voltar ao nível embaixo da raiz e digite + 2.

7 – Clique com a tecla da seta para direita até que o cursor fique à direita da fração.

8 – digite então dx para terminar a expressão.

9 – Para sair dão editor de equações é só clicar em qualquer espaço fora da área de edição.



Copyright © 2010 AIEC.