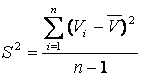
| Pode-se então pensar em uma medida cujo ponto de partida seja a comparação de cada um dos valores da base de dados com o valor médio, buscando avaliar se a base de dados, como um todo, está suficientemente próxima da média. Evidentemente, eventuais pontos discrepantes - aqueles pontos que "fogem" de um perfil, quer seja ele homogêneo ou heterogêneo, valores excessivamente grandes ou excessivamente pequenos, quando comparados com os demais - não são representados adequadamente pelo valor médio. Chega-se então a uma medida denominada variância, que é calculada, para dados amostrais, da seguinte maneira:
|
Copyright © 2012 AIEC..
|
|