Desvio-padrão

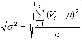
Vimos que foi necessário elevar as diferenças ao quadrado para resolver um problema, entretanto, geramos outro, que é o fato da variância ter uma unidade diferente daquela unidade original dos dados. A operação inversa, raiz quadrada, deve solucionar estes dois pontos simultaneamente. Veja a seguir.

Para dados amostrais:

E para dados populacionais:

Esta nova medida é denominada desvio-padrão, simbolizada por S no caso de dados amostrais e por σ no caso de dados populacionais.

Aplicando às ações (dados amostrais), teremos:



Copyright © 2012 AIEC..