É a operação inversa da potenciação. Muito importante para resolvermos problemas com potências de expoente fracionário!
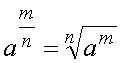
A equação acima revela que toda potência de expoente fracionário pode ser representada por uma raiz, e vice-versa, onde:
Exemplo: calcule o valor de quatro elevado a 0,5.