6 - Logaritmos

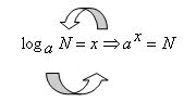
Dados dois números “a” e “N”, com a1, denomina-se logaritmo de “N” na base “a” o expoente “x” ao qual se deve elevar a base “a” para obter-se o número “N”.

Matematicamente:

Observações:

a) Assume-se que a base é igual a 10 quando esta não for definida na equação;

b) Logaritmo na base “e” = “ln”, também denominado logaritmo natural ou neperiano, tem como base “e” 2,72.

Exemplos:




Copyright © 2010 AIEC.