5) A que taxa de juros devo aplicar um certo capital, a fim de obter o dobro de seu valor, ao final de dez meses?

Variáveis: Solução
i = ? FV=PVx(1+i)n
FV = 2 x PV 2PV=PVx(1+i)10
n = 10 meses 2PV / PV = (1+i)10

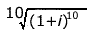
2 = (1+i)10
=
21/10= (1+i)10/10
20,1= 1 + i
1,071773 – 1 = i
i = 0,071773
ou i = 0,071773 x 100
i 7,18% ao mês (taxa percentual)

Observação: como o prazo é ao mês, a taxa será mensal.



Copyright © 2010 AIEC.