Por outro lado, sabemos que o montante final (FV2) pode ser calculado mediante a aplicação de uma taxa única, resultado da unificação das duas taxas que compõe a operação (iu), então, FV2 pode ser dado também pela seguinte equação:

FV2=PV(1+iu)
(3)

Substituindo-se a equação (2) na (3), tem-se:
 

FV1(1+i2)=PV(1+iu)
(4)


Substituindo-se a equação (1) na (4), obteremos:

PV(1+i1)(1+i2)=PV(1+iu)
(5)

Simplificando a equação (5) e resolvendo para (iu), encontraremos:

iu=(1+i1)x(1+i2)-1
(6)

A fórmula (6) representa a taxa unificada (iu) de uma operação envolvendo duas taxas. Conforme podemos notar, iu ≠ i1 + i2.

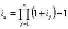
Se desejássemos unificar “n” taxas, teríamos:

iu=(1+i1)x(1+i2)x...x(1+in)-1
(7)

A fórmula (7) poderia ser representada, ainda, pela seguinte equação:

(8)

Onde representa o “produtório” das taxas “j”, da 1ª até n-ésima taxa que compõem o problema.

Exemplo

Sabendo-se que a taxa referencial (TR) para a próxima sexta-feira é de 0,6273%, qual será a remuneração de uma conta de poupança (rendimento de 0,5%a.m + TR) com aniversário naquela data?

Dados Solução
i1 = TR = 0,006273

iu=(1+i1)x(1+i2)x...x(1+in)-1

i2 = 0,005

iu=(1+0,006273)x(1+0,005)-1

 

iu=0,011304 ou iu=1,1304%

R: A remuneração da poupança será de 1,1304%.

Note que o resultado é diferente da soma das taxas!



Copyright © 2010 AIEC..