Para o cálculo do valor futuro (FV) de uma SUP, utilizamos as seguintes equações:

(12)
E  
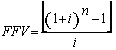
(13)

A fórmula (12) nos diz que o valor futuro de uma SUP pode ser calculado mediante a aplicação de um fator de valor futuro, calculado para uma taxa “i” e um número de parcelas “n” (FFV (i,n)), aplicado sobre o termo (PMT) da série.

Esse fator de valor futuro é calculado mediante a utilização da equação (13).



Copyright © 2010 AIEC.