Resumo As chamadas Séries Uniformes Antecipadas (SUA) diferenciam-se das SUP apenas devido ao fato de que o primeiro pagamento ou recebimento ocorrerá no início do período a que se referir à taxa de juros da operação. Assim, em
termos genéricos, temos o seguinte fluxo representativo de uma
SUA:
Para o cálculo do valor presente de SUA, utilizamos a seguinte equação:
Onde:
Ou, ainda:
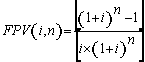
A equação (4) revela que o valor presente (PV) de uma SUA pode ser obtido mediante a multiplicação do termo da série (PMT) por um fator de valor presente, calculado para uma taxa “i “ e um número de parcelas “n” (FPV(i,n)), capitalizado por um período, ou seja, multiplicado por (1+i). |
Copyright © 2010 AIEC.
|