Solução 02

Lógica da solução: Outra forma de resolver o problema é pensar em termos de proporções que são iguais a si mesmas. Esta forma requer maior base matemática e experiência do que as outras duas soluções. Não use este método com qualquer problema posterior deste capítulo a não ser que você esteja absolutamente certo de que entende exatamente o que você está fazendo.

A lógica da solução é representada no seguinte diagrama:

Note o X no diagrama. Isto é o que o problema lhe pede para encontrar, a distância percorrida pelo trem em 14 minutos.

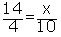
Pelo diagrama você pode ver que já que 14 minutos são 3 ½ vezes maior do que 4 minutos, a distância desconhecida X deve ser 3 ½ vezes maior do que 10 km. Em outras palavras, a proporção de 14 minutos para 4 minutos é igual é à proporção de X quilômetros para 10 quilômetros. Com esta idéia em mente, nós podemos escrever a equação seguinte:

No lado esquerdo da equação nós temos a proporção de 14 minutos para 4 minutos. E no lado direito nós temos a proporção de X quilômetros para 10 quilômetros. O sinal de igualdade significa que estas duas proporções são numericamente iguais.
Solução matemática: Uma vez que você fixou esta equação de proporção, você encontra X usando aritmética e álgebra simples. Aqui estão passos que você poderia empregar:

1. Equação inicial:
   
2. Multiplique ambos os lados da equação por 10 de forma que reste apenas X no lado direito.
3. Cancele em ambos os lados da equação.
       

(5)

(7)   1
   
4. Multiplique os números para encontrar X.
(5) (7) = 35 = X


Copyright © 2019 UPIS.