Página 1


Módulo 04 - Word: Inserindo Objetos no Documento

4 - Word: Inserindo Objetos no Documento

Chamamos de objetos qualquer elemento não textual do documento tais como: como tabelas, fotos, figuras e equações. Veremos a seguir como inserir cada um destes objetos ao documento.

a) Criando tabela

Para criar uma tabela, proceda como segue:

1 - Posicione o ponto de inserção numa nova linha após texto, deixando uma linha em branco.

2 - Selecione na Barra de Menus a opção Tabela e clique em Inserir tabela

3 - O Word apresentará uma caixa de diálogo com as opções para definir o número de linhas e colunas que você deseja.

4 - Digite os dados desejados e pressione a tecla Tab para movimentar o ponto de inserção entre as colunas ou linhas.



Copyright © 2008 AIEC





Página 2


Módulo 04 - Word: Inserindo Objetos no Documento

b) Aplicando bordas e sombreamento

Para destacar uma Tabela, parte dela ou o conteúdo de algumas células devemos aplicar o recurso de bordas ou sombreamento, da seguinte forma:

1 - Selecione a área da Tabela (total ou parcial) que deva ser realçada.

2 - Abra o menu Formatar e escolha Bordas e Sombreamento.

3 - Na guia Bordas, selecione a caixa Grade. Em Estilo do quadro Linha,
escolha ½ pt.

4 - Clique sobre a guia Sombreamento.

5 - Na caixa Padrão do quadro Estilo, escolha 15%.

6 - Observe o efeito no quadro de Visualização situado na parte inferior à direita.

7 - Clique sobre o botão OK e, em seguida, em qualquer lugar da Tabela, para desativar a seleção.



Copyright © 2008 AIEC





Página 3


Módulo 04 - Word: Inserindo Objetos no Documento

c) Inserindo elemento gráfico

O elemento gráfico é sempre inserido na posição em que se encontra o cursor.

1 - Posicione o cursor após a última linha do texto, deixando uma linha em branco.

2 - Clique sobre o menu Inserir e selecione a opção Figura.

3 - Na caixa de diálogo Inserir figura, abra a pasta Clipart.

4 – Selecione, por exemplo, a figura apertos de mão a partir da categoria gestos.

5 - Para inserir a figura no texto, clique no botão Inserir.

6 - Observe que a figura é inserida no texto com tamanho a ser regulado, para tal use as alças nas extremidades da figura (se as alças não estiverem aparecendo clique em cima da figura). Para alterar o tamanho clique em cima de uma alça e arraste-a. Verifique o efeito produzido.

7 – Para alterar a posição da figura posicione o mouse em cima da figura, o cursor toma o formato de cruz (posicionado dentro da figura) e arraste-a para a posição desejada.

8 - Após ajustado o tamanho da figura e a posição, pode-se, ainda, usando o botão direito do mouse sobre a mesma, abrir o Menu Rápido e clicar em Formatar Figura... Na janela aberta e na guia Layout, tem-se a possibilidade de posicionar a figura de forma Comprimida: À esquerda, à direita ou no centro do texto.



Copyright © 2008 AIEC





Página 4


Módulo 04 - Word: Inserindo Objetos no Documento

d) Empregando WordArt

Um elemento útil durante a edição de textos é a utilização de letras com formatos especiais, segundo um padrão escolhido por você dentre várias opções apresentadas pelo WordArt.

Para acionar o WordArt você poderá se utilizar da Barra de Menus/Inserir/Figura/WordArt ou Exibir/Barra de Ferramentas/WordArt (aparece a barra flutuante e você clica em ).

Ao surgir a janela do WordArt, você deverá fazer a sua opção por um tipo de apresentação, clicando sobre o exemplo e digitar a palavra ou conjunto de palavras na caixas de diálogo seguinte.

Lembre-se que o texto em WordArt é tratado como se fosse uma figura e deverá ser posicionado, aumentado ou reduzido pelas alças laterais.



Copyright © 2008 AIEC





Página 5


Módulo 04 - Word: Inserindo Objetos no Documento

e) Inserindo símbolos

Para inserir um símbolo no texto procede-se da seguinte maneira:

1 – posiciona-se o cursor no local do aonde o símbolo deverá ser inserido.

2 – Clique sobre o menu Inserir e selecione Símbolo. Automaticamente uma janela é aberta com os símbolos disponíveis.

3 – Selecione o símbolo desejado e clique no botão Inserir.

4 – O símbolo escolhido será incluído no texto. Para fechar a janela clique em Cancelar.

Os símbolos são tratados pelo Word como o restante das letras. Portanto, para alterar o tamanho, ou aplicar efeitos como negrito você deve utilizar a barra de formatação.



Copyright © 2008 AIEC





Página 6


Módulo 04 - Word: Inserindo Objetos no Documento

f) Utilizando o Editor de Equações do Word

O Word possui uma ferramenta muito importante para ajudar a digitar fórmulas matemáticas nos documentos chamada de Editor de equações. Para utilizá-lo procede-se da seguinte forma:

1 - Clique no local onde você deseja inserir a equação.

2 - No menu Inserir, clique em Objeto e, em seguida, na guia Criar novo.

3 - Na caixa Tipo de objeto, clique em Microsoft Equation 3.0. Em seguida clique no botão OK. (Se o Microsoft Equation Editor não estiver disponível, talvez você precise instalá-lo. Neste caso será necessário estar com o CD de instalação do Microsoft Office e seguir os passos que serão mostrados na tela).

4 – Automaticamente será aberto o editor de equações. No editor de equações aparece um espaço em branco para construir a equação e uma barra de ferramentas com os símbolos disponíveis.

5 – Para escrever uma equação basta selecionar os símbolos na barra de ferramentas Equação, e digitar as variáveis e números. Na primeira linha da barra de ferramentas Equação você poderá escolher os símbolos de uma lista de mais de 150 símbolos matemáticos, tais como: Na segunda linha, você poderá escolher diversos modelos ou estruturas que contêm símbolos, como, por exemplo, frações, integrais e somatórias.

6 - Para retornar ao Microsoft Word, clique no documento do Word.



Copyright © 2008 AIEC





Página 7


Módulo 04 - Word: Inserindo Objetos no Documento

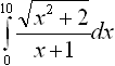
Exemplo de utilização

Criar a seguinte expressão matemática utilizando o editor de equações.

1 – Abra o editor de equações.

2 – Para criar o símbolo da integral clique no botão e em seguida escolha no menu a opção . Clique no quadrado pequeno inferior e digite 0, clique no quadrado pequeno superior e digite 10.

3 – Para criar a fração clique no quadrado maior em frente ao símbolo da integral, clique no botão da barra de ferramentas e em seguida escolha a opção .

4 – Clique no quadrado na parte inferior da fração e digite x + 1.

5- Clique no quadrado superior, em seguida clique e selecione a opção para inserir a raiz quadrada.

6 – Para inserirmos a expressão x2 + 2, clique no quadrado embaixo da raiz, e digite x, em seguida clique no botão e selecione a opção Clique com a tecla da seta para direita para voltar ao nível embaixo da raiz e digite + 2.

7 – Clique com a tecla da seta para direita até que o cursor fique à direita da fração.

8 – digite então dx para terminar a expressão.

9 – Para sair dão editor de equações é só clicar em qualquer espaço fora da área de edição.



Copyright © 2008 AIEC





Página 8


Módulo 04 - Word: Inserindo Objetos no Documento

Editando uma equação

1 – Para editar uma equação é só clicar duas vezes na equação.

2 – Para terminar a edição da equação e retornar ao documento Word clique em qualquer espaço fora da área de edição.



Copyright © 2008 AIEC





Página 9


Módulo 05 - Word: Imprimindo documentos

5 - Word: Imprimindo documentos

a) Visualizando a impressão

Para verificar a aparência do documento, caso fosse imprimi-lo, procede-se da seguinte maneira:

1 - Clique sobre o menu Arquivo e selecione a opção Visualizar impressão ou clique sobre o botão na barra de ferramentas .

2 - Para exibir as duas ou mais páginas de uma só vez, clique no botão Exibir várias páginas na barra de ferramentas Visualizar Impressão.

3 - Pressione o botão do mouse sobre o primeiro quadradinho e arraste o cursor para a direita, cobrindo duas ou mais páginas que serão exibidas lado a lado.

4 – Para voltar a visualizar apenas uma página clique no botão uma página .

5 – Como muitas vezes é difícil ver os detalhes da página, utiliza-se a ferramenta Lupa para fazer um zoom na imagem. Para isso clique no botão Lupa na barra de ferramentas. Você verá que o cursor vira uma lupa quando o mouse passa sobre a tela do documento. Para obter o efeito zoom clique no documento e para desfazer o zoom clique novamente no documento.

6 - Retorne ao modo de exibição anterior, clicando sobre o botão Fechar na barra de ferramentas Visualizar Impressão.



Copyright © 2008 AIEC





Página 10


Módulo 05 - Word: Imprimindo documentos

b) Imprimindo o texto

Para imprimir o texto de uma forma simples e direta, basta clicar no botão Imprimir na barra de ferramentas Padrão. Porém, antes de comandar a impressão, sempre verifique a aparência geral do documento, clicando no botão Visualizar impressão.

Esta janela serve para modificar opções de impressão, como número de cópias, seleção de páginas a serem impressas, especificação de resolução, entre outras, ou para mudar a impressora padrão, se houver mais de uma impressora definida no sistema, deve-se selecionar o comando Imprimir do menu Arquivo e, a partir da caixa de diálogo que será aberta, proceder às alterações ou ajustes necessários para a impressão.



Copyright © 2008 AIEC





Página 11


Módulo 01 - PowerPoint: Visão Geral

1 - PowerPoint: Visão Geral

O PowerPoint é um programa específico para elaborar apresentações. No PowerPoint cada “página” é chamada de slide. Um documento do PowerPoint é chamado de apresentação e é formada por vários slides.

As principais características do programa são:

  • construção de slides ou transparências;
  • transição de slides;
  • diferentes tipos, tamanhos, efeitos e cores sobre as letras
  • utilização de desenhos (clip-art);
  • uso de cabeçalhos e rodapés;
  • ajuda interativa;
  • revisão ortográfica;
  • possui área de transferência;
  • diversas janelas abertas ao mesmo tempo;
  • modelos de apresentação já prontos;
  • inserção de gráficos, planilhas e objetos;
  • recursos de áudio e animação.

a) Iniciando o Power Point

Para entrar no programa deve-se dar um duplo clique no seu ícone.
Caso este ícone não esteja disponível na tela deve-se seguir os passos abaixo:

1 - Clique sobre o botão Iniciar na tela do Windows;
2 - Posicione o cursor sobre a opção Programas;
3 - Clique sobre Microsoft PowerPoint.



Copyright © 2008 AIEC





Página 12


Módulo 01 - PowerPoint: Visão Geral >

b) Identificando a estrutura da tela

Antes de iniciar o desenvolvimento de uma apresentação é necessário entender algumas nomenclaturas importantes para o melhor entendimento do software.


Passe o mouse sobre a figura para mais informações

Para maiores informações, nunca se esqueça que existe o menu Ajuda (?), que poderá ser acionado clicando sobre o mesmo ou pressionando a tecla F1.



Copyright © 2008 AIEC


Barra de Menu

Onde você encontra todos os comandos do Powerpoint.



Barra de ferramentas Padrão

Onde estão dispostos, em forrma de botões e de ícones, os comandos mais freqüentemente utilizados com o objetivo de agilizar o acesso e a operação.



Barra de formatação

Onde estão dispostos os comandos mais utilizados para a formatação de textos.



Janela Principal

Apresenta o slide em curso e é utilizada para a edição dos textos e imagens do slide.



Barra de Status

A parte inferior da janela principal, fornece informações qual o slide está sendo apresentado na tela e qual é a estrutura que sendo utilizada.



Botões de modo de Exibição

Apresenta cinco modos de visualização:

-modo normal – modo normal de edição dos slides.
-modo de tópicos – modo próprio para estruturar a apresentação.
-modo de slides – modo de edição dos slides.



Área de anotações

Este espaço é reservado para incluir as anotações dos slides.



Barra de Ferramentas de Desenho

Apresenta os comandos mais utilizados para incluir textos e desenhos ao slide.






Página 13


Módulo 02 - PowerPoint: Criando uma Apresentação Simples

2 - PowerPoint: Criando uma Apresentação Simples

a) Criando uma apresentação

Você pode criar ou entrar em uma apresentação de algumas maneiras:

1 – utilizando o Assistente de AutoConteúdo: auxilia na montagem da apresentação. O Assistente de AutoConteúdo é uma abordagem orientada para a criação de uma apresentação. Ele pode ajudar a desenvolver suas idéias e a organizar a sua apresentação. Basta ir respondendo às perguntas exibidas na tela e alterar o conteúdo dos slides, conforme as informações sugeridas.

2 – utilizando Modelos: você pode escolher entre várias estruturas pré-definidas de slide desenvolvidas por designers profissionais.

3 - Apresentação em branco: você começa uma apresentação em branco.

4 – Abrindo uma apresentação existente.

Neste módulo nós trabalharemos com uma apresentação em branco. Selecione a opção Apresentação em branco.



Copyright © 2008 AIEC





Página 14


Módulo 02 - PowerPoint: Criando uma Apresentação Simples

b) Escolhendo o Layout do slide

O PowerPoint apresentará na tela a janela Layout do slide para que você escolha o layout do seu primeiro slide. Cada slide possui uma área de título e pode ter uma ou mais áreas contendo textos, gráficos ou figuras.

Vamos escolher o layout slide de título. Preste atenção que quando você passa o mouse em cima do layout aparece o nome do layout. Para escolher basta clicar com o botão esquerdo no mouse em cima do layout e clicar no botão OK.

Aparecerá mostrará o slide como segue:

Adicionando texto à área de título do slide

Clique na caixa de título e escreva:

“Qualidades e características do bom administrador”

c) Inserindo novo slide

Para inserir um novo slide, você poderá escolher um dos seguintes passos:

1 - Acionar na Barra de Menus – Inserir / Novo slide

2 - Clicar na Barra Padrão (lado direito) no botão Novo slide

3 - Teclar Ctrl + M

Aparecerá a caixa de diálogo Layout do slide e você seleciona a opção lista com marcadores, clique em OK.

Adicionando texto ao corpo do slide

1 – Clique na caixa de texto e escreva:

“Características do administrador”

2 - Clique na caixa de texto e escreva:

“buscar oportunidades”

3 – Pressione Enter. Os marcadores serão automaticamente inseridos. A janela deve estar como segue:

4– Escreva cada um dos tópicos abaixo clicando Enter ao fim de cada um deles:

“ter iniciativa
Correr riscos calculados
Exigir qualidade e eficiência
Ser persistente e comprometido”

DICA 1: Se houver necessidade de mais espaço no slide, você poderá diminuir o tamanho das letras (selecione e use a barra de formatar) ou aumentar o quadro destinado ao texto.

d) Verificando os slides

É importante que você "navegue" na sua apresentação, percorrendo os slides e verificando o andamento de seu trabalho. Para tal, você pode:

1 - Teclar Page Down ou PageUp para acessar o próximo slide ou o anterior, respectivamente, no modo de Slides.

2 - Arrastar o botão da barra de rolagem vertical para cima ou para baixo, acessando o slide anterior ou o próximo.

3 - Clicar, na barra de rolagem, sobre os botões Slide anterior / Slide seguinte

DICA:
Para ir diretamente para o primeiro slide – tecle HOME
Para ir diretamente para o último slide – tecle END

e) Utilizando os modos de visualização

Existem 5 (cinco) modos diferentes de visualizar a sua apresentação, basta ativar o modo escolhido clicando no botão específico na parte inferior da janela principal.

1 - Modo Normal: você trabalha os slides uma a um, definindo as características de layout, textos e aparência final. Inclui também uma área de anotações e tópicos.

2 - Modo de Slide: você trabalha os slides uma a um, definindo as características de layout, textos e aparência final. Foi o que utilizamos para incluir os textos dos nossos slides.

3 - Modo de tópicos: você realiza a apresentação por meio de textos (títulos/conteúdo).

4 - Modo de classificação de slides: permite a visualização de todos os slides simultaneamente.

5 - Modo de anotações: acrescenta dados para serem utilizados como dicas da apresentação.

6 - Modo apresentação de slides: reproduz a apresentação em tela cheia, simulando um projetor de slides e mostrando todos os efeitos produzidos.

f) Salvando o trabalho e fechando o PowerPoint

Salve agora o seu trabalho. O procedimento é similar ao utilizado para salvar documentos no Word.

Você pode fazê-lo, ativando no menu Arquivo a opção Salvar. Se o texto estiver sendo salvo pela primeira vez, o Word abrirá a caixa de diálogo Salvar, onde poderá ser informada a unidade de disco, a pasta ou diretório e o nome do arquivo.

IMPORTANTE: se o texto não for salvo, o documento será apagado DEFINITIVAMENTE se o computador for desligado.



Copyright © 2008 AIEC





Página 15


Módulo 02 - PowerPoint: Criando uma Apresentação Simples

Digamos que você deseja salvar este texto no disco rígido com o nome de lição1.ppt, proceda da seguinte maneira:

1 - Clique sobre o menu Arquivo e escolha Salvar.

2 - Na caixa de diálogo Salvar, clique sobre a seta posicionada à direita da caixa de texto Salvar em e selecione a unidade de disco rígido, geralmente, identificada pela letra C.

3 - Crie uma nova pasta ou diretório no disco rígido, clicando sobre o botão Criar nova pasta na caixa de diálogo na janela do Salvar.

4 - Na caixa de diálogo Nova pasta, digite o nome PowerPointAula no campo Nome e clique no botão OK.

5 - Dê um duplo clique sobre o nome da nova pasta PowerPointAula que agora aparece na caixa de diálogo Salvar, a fim de transferi-la para a caixa de texto Salvar em.

6 - Na caixa de texto intitulada Nome do arquivo, digite lição1.ppt.

7 - clique sobre o botão Salvar, para efetivar a gravação.

8 - Observe que o nome do arquivo (lição1.ppt) aparece agora na Barra de Título no alto da tela, junto às palavras Microsoft PowerPoint.

Dicas úteis para elaborar a sua apresentação

  • Em todas as suas apresentações procure sempre colocar em cada slide uma síntese ou os tópicos de suas idéias, sob pena de tornar monótona e cansativa a leitura dos slides.
  • Procure sempre manter os slides simples e concisos, limitando a quantidade de idéias por slide.
  • Escreva sempre frases curtas, pois são as mais fáceis de serem lidas e compreendidas.
  • Evite abarrotar o slide de frases e figuras, pois dificulta muito a sua leitura.

Mais dicas úteis podem ser obtidas na apresentação Criando apresentações interessantes.ppt.



Copyright © 2008 AIEC





Página 16


Módulo 03 - PowerPoint: Formatando a Apresentação

3 - PowerPoint: Formatando a Apresentação

Para praticar o que será visto neste módulo abra a apresentação liçao1.ppt.

a) Caixas de texto

Você pode perceber que todos os textos presentes nos slides estão dentro das chamadas Caixas de texto.

Quando você clica em cima do texto você poderá editá-lo e também redimensionar a caixa de texto.

Redimensionando a caixa de texto

1- Clique com o botão esquerdo do mouse em cima do texto de título.

2 - As bordas do caixa irão aparecer. Repare que quando o cursor do mouse passa em cima de um dos quadrados que delimitam a caixa de texto ele muda para uma seta.

3 – Pressione o botão esquerdo do mouse em cima de um dos quadrados da caixa e arraste o mouse até a dimensão desejada e solte o botão do mouse.

b) Formatando textos

O PowerPoint possui uma barra de formatação que é bastante similar àquela presente no Word. Os comando presentes na barra funcionam da mesma forma que no Word.

Alterando a fonte

1 – selecione o título do slide.

2 – clique na lista de fontes.

3 – As fontes disponíveis aparecerão. Escolha a fonte desejada.

Dica: evite utilizar muitas fontes diferentes na sua apresentação. Duas fontes diferentes são suficientes, uma pode ser utilizada para o texto normal e a outra para dar enfatizar alguma palavra.

Alterando a cor da fonte

1 – selecione o título.

2 – Clique no botão cor da fonte

3 – Escolha uma das cores disponíveis ou então clique no botão Mais cores.... Escolha na paleta de cores a cor desejada clicando em cima e clicando no botão OK.

c) Alterando a cor de fundo

Você pode aplicar cores diferentes para cada um dos slides de sua apresentação.

No primeiro caso:

1 - Passe para o modo slide (recomendado para esta operação).

2 - Posicione no primeiro slide da apresentação.

3 - Abra o menu Formatar e clique sobre o comando Segundo plano.

4 - Na caixa de diálogo você deve abrir o drop-down da paleta de cores (abaixo do modelo de preenchimento) e selecionar qualquer uma das cores disponíveis.

5 - Pode-se optar por aplicar esta estrutura a todos os slides (botão Aplicar a tudo) ou somente Aplicar (aplicará a cor escolhida apenas a este slide).

6 - Para se ter uma prévia de como ficará seu slide, clique sobre o botão Visualizar.

7 - Clique no botão aplicar para aplicar apenas ao slide de título.

Dica 1: o fundo não deve chamar muito a atenção. Não pode ser mais interessante do que está escrito, ou seja, evite utilizar fotos com muitos detalhes que possam “roubar” a atenção da platéia.
Dica 2: tome cuidado para que o fundo não dificulte a leitura do texto ou a visualização das figuras.



Copyright © 2008 AIEC





Página 17


Módulo 03 - PowerPoint: Formatando a Apresentação

d) Utilizando Modelos de estruturas

Ainda podemos utilizar outros modelos de estruturas já preparadas, com a vantagem de já terem sido previamente testados no tocante à combinação de cores e fundos, bastando:

1 - Clicar no menu Formatar ou acionar no menu rápido o comando Aplicar Modelo de estrutura e selecionar uma dentre as muitas sugestões apresentadas.

2 - Selecione a sua opção e clique em Aplicar.

DICA: Esta Estrutura de apresentação, escolhida desta forma, tornar-se-á válida para todos os slides da apresentação.



Copyright © 2008 AIEC





Página 18


Módulo 04 - PowerPoint: Inserindo Clip-Art e Animando a Apresentação

4 - PowerPoint: Inserindo Clip-art e Animando a Apresentação

a) Inserindo clip-art

O PowerPoint possui uma série de imagens e figuras que podem ser inseridas na apresentação a fim de enfatizar uma idéia ou mesmo dar uma pitada de humor. Mas tome cuidado para não sobrecarregar a sua apresentação distraindo a platéia do ponto focal de sua apresentação.

O procedimento para inserir um clip-art em um slide em branco é mostrado a seguir, mas o procedimento é o mesmo para slides com texto.

1 – Crie um novo slide em sua apresentação.

2 - Selecione a opção Clip-art do submenu Figura do menu Inserir.

3– Irá aparecer então uma janela com diversas categorias. As figuras estão divididas em categorias para facilitar a pesquisa.

4– Clicando em cima da categoria você terá acesso às figuras. Clique, por exemplo, na categoria Escritório. Neste caso aparecerão as seguintes figuras:

5– Clicando em cima da figura aparecerá um menu rápido. Clique na primeira opção do menu rápido que é Inserir Clip e feche a janela por meio do botão de controle Fechar.

6– O Clip-art será inserido no slide.

7– Você poderá reposicionar o clip-art arrastando com o mouse ou redimensionar arrastando qualquer uma das alças (quadrados da borda da figura).

b) Animando o slide

É importante conhecermos e aplicarmos as possibilidades de animação previstas pelo software. No PowerPoint, podemos movimentar nossa apresentação, basicamente, de 3 (três) formas:

  • Efeitos de transição: refere-se à maneira como será feita a entrada do slide.
  • Efeito de composição: refere-se ao modo como será apresentado o texto ou figura de cada slide.
  • Efeito de intervalo: refere-se à apresentação automática com previsão de cronometragem de intervalo de tempo entre slides (automática) ou se a apresentação será comandada pelo próprio apresentador.
    Para criarmos Efeitos de Transição podemos:

1 - Na barra de Menus, clicar Apresentações e selecionar Transição de slides.

2 - Abaixo da figura, escolha no drop down o efeito desejado e a velocidade prevista.

3 - Em Avanço, você escolhe a mudança de slides a seu comando ou automaticamente, e neste caso, coloque o tempo previsto.

4 - A caixa de diálogo, ainda apresenta a possibilidade de você escolher um dos sons programados.

5 - Estes dados podem ser aplicados a um slide (Aplicar) ou para toda a seqüência de slides da apresentação (Aplicar a todos).



Copyright © 2008 AIEC





Página 19


Módulo 04 - PowerPoint: Inserindo Clip-Art e Animando a Apresentação

Adicionando efeitos de composição

Para introduzirmos Efeitos de Composição (movimentação) no próprio slide proceda da seguinte forma:

1 - Clique em Apresentações/Personalizar animação.

2 - Na caixa de diálogo, na guia Intervalos, você deve selecionar os objetos no quadro sem animação e trocar a seleção "Não animar" para "animar" (imediatamente o objeto selecionado passa para o quadro Ordem de animação).

3 - Repita esta operação para os objetos que se quer animar.

4 - Confira a ordem de animação, isto é, a seqüência de aparecimento dos objetos e em caso de reorganizá-los, utilize as setas ao lado do próprio quadro. Utilize o botão Visualizar.



Copyright © 2008 AIEC





Página 20


Módulo 04 - PowerPoint: Inserindo Clip-Art e Animando a Apresentação

5 - A partir da seleção dos objetos a serem animados, você deve clicar na guia de Efeitos e para cada objeto selecionado, informar em Inserir animação e som os efeitos desejados.

6 - Em Inserir texto, acione o drop down e informe como aparecerá o texto.

7 - Em Visualizar, você tem uma prévia da movimentação de todo o slide. Repita o Passo 5 em caso de alteração dos movimentos.

Dica 1: o uso de animações é uma técnica muito utilizada para chamar a atenção da platéia, mas evite sobrecarregá-la com muitas apresentações para que a platéia não perder o foco da apresentação.



Copyright © 2008 AIEC