Unidade 4 Módulo 1
Tela 1
Unidade 03 - Funções 2

1 - Função quadrática

É toda função do tipo f(x)=ax2+bx+c, onde a, b e c são constantes reais com a 0. Ou, simplesmente, uma função polinomial de grau 2.

São exemplos de funções do 2º grau:

1)
Neste caso temos que os valores das constantes a, b e c são:
a=2; b=-4 e c=-8

2)
Neste caso:
a=-1; b=1 e c=0

3)  



Tela 2
Unidade 02 - Funções 1

a) As raízes são dadas pela fórmula de Báskhara, em função das constantes a, b e c, como segue:

, onde

b) Estudo do sinal: Para verificar onde uma função quadrática é positiva ou negativa, deve-se avaliar o valor do discriminante e o do coeficiente a, conforme quadro abaixo.

a > 0
a < 0
> 0
= 0
< 0

O que determina se o gráfico da função será voltado para cima ou para baixo é o sinal da constante a.

Já o valor do discriminante , determina o número de vezes que a parábola corta o eixo x.



Tela 3
Unidade 02 - Funções 1

c) O gráfico de uma função do 2º grau é uma parábola e pode ser traçado com base no quadro acima, marcando no máximo os 4 pontos conhecidos que são: as raízes (no máximo 2), o vértice e o intercepto da parábola com o eixo y, conforme ilustra a figura abaixo.

- Pontos 1 e 2: São as raízes da função, representando os pontos de intersecção da parábola com o eixo x. Possuem coordenadas: (x’,0) e (x’’,0).

- Ponto 3: Representa o vértice da função, que corresponde ao ponto de máximo da função quando a<0 (concavidade para baixo) e ponto de mínimo quando a>0 (concavidade para cima). As coordenadas do vértice da parábola são dadas por: e .

- Ponto 4: Ponto de intersecção da parábola com o eixo y:. Assim, para qualquer função quadrática, quando x = 0, y = c. Logo, este ponto tem coordenadas (0, c).



Tela 4
Unidade 02 - Funções 1

Exemplo:
Esboce o gráfico da função .

Resolução:
Utilizaremos então apenas os quatro pontos mencionados anteriormente.
Comecemos pelas raízes da equação. Temos que a=1, b=1e c = -2.

Logo x= -2 e x=1 são as raízes do gráfico da função.
Passemos ao vértice da parábola.

Lembre-se de que .

Falta agora o intercepto y, que é o ponto (0, c) e, portanto, (0, -2).
Marcando estes pontos no plano cartesiano, obtemos o seguinte gráfico.

Veja mais alguns exercícios de fixação da matéria.



Tela 5
Unidade 03 - Funções 2

Exercícios

1) Qual gráfico corresponde à seguinte função :
  a)
  b)
  c)
  d)
  e) nda
  Resposta:

2) Que gráfico representa a função :
  a)
  b)
  c )
  d)
  e) nda
  Resposta:

3) Determine o vértice da parábola e assinale a opção correta:
  a)
  b)
  c)
  d)
  e) nda
  Resposta:

4) Qual é o vértice da seguinte parábola :
  a)
  b)
  c)
  d)
  e) nda
  Resposta:

5) Determine o valor de m na função real para que o valor mínimo seja :
  a) 1
  b) -1
  c) 2
  d) -2
  e) nda
  Resposta:

6) Qual é a função cujo gráfico está representado ao lado:

  a)
  b)
  c)
  d)
  e) nda
  Resposta:

7) O gráfico do trinômio do 2º grau é o da figura ao lado. Determine a e c.

  a) a= 1 e c=16
  b) a=1e c=-16
  c) a=-1 e c=16
  d) a=-1 e c=-16
  e) nenhuma das anteriores.
  Resposta:

8) Estude o sinal da seguinte função quadrática e assinale a opção correta:
  a)
  b)
  c)
  d)
  e) nda
  Resposta:

9) Estude o sinal da seguinte função quadrática e assinale a opção em que a função assume valores positivos:
  a)
  b)
  c)
  d)
  e) nda
  Resposta:

10) A função possui como raízes os números 2 e 4, e seu gráfico é uma parábola com vértice (3, -3).O valor de a+b+c é:
  a) 3
  b) 6
  c) 9
  d) 12
  e) 15
  Resposta:


c) 9



c)




c)




a) a= 1 e c=16




d)




c) 2




a)




d)



Resposta letra: a




a)




Tela 6
Unidade 03 - Funções 2

Exercícios

11) Se a equação não tem raízes reais, é verdade que:
  a)
  b)
  c)
  d)
  e)
  Resposta:

12) O gráfico ao lado representa uma função quadrática: Essa função é:

  a)
  b)
  c )
  d)
  e)
  Resposta:

13) Se m e n são raízes de ,então o valor de vale:
  a) 6
  b) 2
  c) 1
  d)
  e)
  Resposta:

14) Seja 7 a diferença entre as raízes da equação . Então, o valor da constante c é:
  a) -24
  b) -20
  c) -16
  d) -4
  e) 5
  Resposta:

15) As raízes da função quadrática são positivas e uma é o dobro da outra. A soma dessas raízes é:
  a) 2,4
  b) 2,1
  c) 1,8
  d) 1,5
  e) 1,2
  Resposta:

16) Observe a figura: Nessa figura, a parábola de vértice V é o gráfico de . Sendo AO=2(OV) e a abscissa de V diferente de zero, o valor de c é:

  a) 0
  b)
  c)
  d) 1
  e) 4
  Resposta:

17) O gráfico de uma função está representado ao abaixo. Podemos afirmar que:

  a)
  b)
  c)
  d)
  e)
  Resposta:

18) O domínio da função definida por é o conjunto dos números reais x, tal que:
  a)
  b)
  c)
  d)
  e)
  Resposta:

19) O domínio da função é o conjunto:
  a) ] -1,4[
  b)
  c)
  d)
  e)
  Resposta:


e)




e)




d)




e) 4




d) 1,5




a) -24




d)




d)





b)




Tela 7
Unidade 03 - Funções 2

2 - Função Receita e Lucro Quadráticas

Anteriormente, vimos como obter a função receita quando o preço é constante. Agora iremos analisar a função receita quando os preços variam, ou seja, o preço vai depender do número de unidades produzidas. Para isto vejamos o seguinte exemplo:

Exemplo
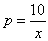
A equação de demanda de um produto é p=10-x, onde x é o número de unidades, e o custo total,.Obtenha:

a) a função receita e o valor de x que a maximiza;
b) a função lucro e o valor de x que a maximiza.

Resolução:
a) Já sabemos que receita é igual a preço multiplicado pelo nº de unidades vendidas, então:

A função receita, assim definida, é uma função do 2º grau, com:

a= -1; b=10 c=0

Como a<0 sabemos que a parábola terá a concavidade voltada para baixo e o vértice será o ponto de máximo da função.

As raízes da equação serão:

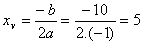
O ponto do vértice , e calculando o valor da função quando x=5 encontraremos,



Tela 8
Unidade 03 - Funções 2
Vamos agora reunir todos os dados encontrados:

As raízes:

Ponto de vértice: (5 , 25)
Concavidade: voltada para baixo

Com os dados acima podemos esboçar o gráfico da parábola de R(x) marcando os pontos acima no eixo cartesiano:

Vemos graficamente, e podemos provar, que o maior valor assumido pela função receita é o ponto de vértice.
Assim, o valor de x que maximiza a receita é x=5, isto é, a quantidade de unidades que ele terá que vender para obter receita máxima é x = 5.

Se fosse pedido o valor da receita máxima, este valor seria o yv, que representa o valor da receita quando x = 5. Logo, Rmáx = R$ 25,00.

b) O lucro é igual a diferença entre a receita e o custo. Logo podemos estabelecer a seguinte relação:

Vemos na relação acima que o lucro é uma função quadrática. Nosso objetivo é determinar o ponto de máximo desta função. Sabemos que o gráfico de uma função quadrática é uma parábola. Para a função lucro determinada, temos os seguintes valores para as constantes, a, b e c, respectivamente, -1, 9 e -20.

Como a = -1<0, a parábola possui concavidade voltada para baixo;
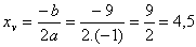
O ponto de vértice é:
Portanto o ponto x que maximiza a função lucro é x = 4,5.

Vamos ver se você acompanhou o nosso raciocínio...E qual será o lucro máximo?

Resposta.

Veja um esboço do gráfico da função lucro..... Observe que, neste caso, o lucro só é positivo, para valores de x variando entre 4 e 5. Ou seja, para qualquer quantidade fora deste intervalo o proprietário está tendo prejuízo. Por isso, a importância de se saber estudar o sinal de uma função, determinando quando a mesma é positiva ou negativa...



Lmáx = R$ 0,25

>>Fechar



Unidade 4 Módulo 2
Tela 9
Unidade 03 - Funções 2

 

3 - Função Racional

Comumente, deparamos com divisões e, em se tratando de funções, podemos nos deparar com variáveis no denominador da divisão. Trataremos aqui um caso particular de função em que ocorrem variáveis no denominador, as funções racionais, cuja definição será dada a seguir. Uma aplicação de tal função será dada ao final da seção após um entendimento melhor de seu comportamento.

Uma função racional é uma função da forma :

Claramente, o domínio de f(x) não poderá incluir as raízes do polinômio do denominador. (Raiz é ponto onde o polinômio se iguala à zero, e não existe divisão por zero).

Exemplo:

Trataremos apenas de funções racionais formadas por polinômios de grau menor ou igual a 1.
Façamos o gráfico de , por marcação de pontos.


Agora vejamos o gráfico de.

O gráfico de função racional cujo grau do denominador seja igual a um e o grau do numerador seja zero ou um, terá um aspecto parecido com um dos gráficos acima. Veremos em exemplos a seguir:



Tela 10
Unidade 03 - Funções 2

Exemplo:
Esboce o gráfico de
Por marcação de pontos. Teríamos:

A reta vertical pontilhada que passa por x =1, indica que x poderá assumir valores muito próximos de 1 mas nunca igual a 1, tal reta recebe o nome de assíntota vertical do gráfico de f(x).
A reta horizontal pontilhada que passa por y = 1, indica que a função poderá assumir valores muito próximos de 1 a medida que x cresce ou decresce indefinidamente, mas nunca assumirá o valor 1, tal reta recebe o nome de assíntota horizontal do gráfico de f(x).

Exemplo: Obtenha o ponto de equilíbrio de mercado para as seguintes funções de demanda e oferta:



Demanda:               oferta:   

Resolução:

Como x representa quantidade, não faz sentido considerar x = -3.
Assim, no equilíbrio temos x= 1 e .



Unidade 4 Módulo 3
Tela 11
Unidade 03 - Funções 2

4 - Funções Exponenciais e Logarítmicas

a) Função Exponencial

Apresentaremos nesta seção a função exponencial. Tal função possui muitas aplicações na ciências exatas (engenharia, química, etc), biomédicas (biologia, medicina, etc) e na área econômica (juros compostos, desvalorização). A datação de fósseis utilizando a quantidade de C14 é um exemplo de aplicação da função exponencial; o crescimento de um certa espécie em evolução segue um padrão exponencial; os juros compostos tem comportamento exponencial.
Mas vejamos a definição de uma função exponencial a seguir.

Uma função exponencial é da forma f(x)=ax, onde a>0 e .

Observação: O que difere uma função exponencial de uma função de potência é a posição da variável. Na exponencial a variável se encontra no expoente e na potência a variável se encontra na base, e essa diferença de posição faz com que as duas funções não tenham quase nada em comum. Desta forma f(x)=2x é uma função exponencial e g(x)=x2 é uma função potência.



Tela 12
Unidade 03 - Funções 2

Exemplos: Funções exponenciais.

O domínio de uma função exponencial é conjunto dos números reais.

O gráfico de um função exponencial depende do valor de a.
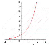
   Se a>1, então o gráfico de , terá o seguinte comportamento.

Ou seja, a função é crescente e a imagem de f(x) é sempre positiva se aproximando de zero à medida que x assume valores cada vez menores.
Se a<1, então o gráfico de terá o seguinte comportamento:

Ou seja, a função é decrescente e a imagem de f(x) ainda é sempre positiva se aproximando de zero à medida que x assume valores cada vez maiores.



Tela 13
Unidade 03 - Funções 2

Quanto maior o valor da base a mais rapidamente a função cresce. Vejamos isto comparando o gráfico de várias funções exponenciais num mesmo sistema de eixos.

Vemos que 10x, cresce muito mais rapidamente que 5x que por sua vez cresce muito mais rápido de 2x. Se não percebeu ainda acompanhe a tabela a seguir com alguns valores de x.



Tela 14
Unidade 03 - Funções 2

São propriedades da função Exponencial:

Exemplo:
Faça um esboço do gráfico de f(x)= 3x.
Resolução:
Como 3>1 então o gráfico da função será crescente e seu gráfico terá o seguinte aspecto:

Para x=1 temos que f(1)=31=3, logo o ponto (1,3) pertence ao gráfico da função, então, o gráfico será:



Tela 15
Unidade 03 - Funções 2

b) Função Logaritmo

No fim do século XVI, o desenvolvimento da Astronomia e da Navegação exigia longos e laboriosos cálculos aritméticos. Era um problema fundamental achar um método que permitisse efetuar com presteza multiplicações, divisões, potenciações e extrações de raízes, foi então que surgiu o logaritmo, antes mesmo da introdução do conceito de função na Matemática.

Embora ele tenha sido inventado como acessório para facilitar operações aritméticas, o desenvolvimento da Matemática e das ciências em geral veio mostrar que diversas leis matemáticas e vários fenômenos físicos, químicos, biológicos e econômicos são estritamente relacionados com os logaritmos.

Definição: Dado um número real a>0, o logaritmo de um número x>0 na base "a" é o expoente a que se deve elevar o número "a" de tal modo que .
Escreve-se e lê-se y é o logaritmo de x na base a.
Isto é,

Exemplo:

O domínio da função logaritmo é constituído dos reais positivos, .
O gráfico de tem um dos seguintes aspectos dependendo se 0<a<1 ou se a>1.



A descoberta dos logaritmos foi feita simultaneamente por duas pessoas Jost Bürgi (1552-1632), suíço, fabricante de instrumentos astronômicos, matemático e inventor, e John Napier (1550-1617), um nobre escocês, teólogo e matemático, cada um deles desconhecendo inteiramente o outro, publicaram as primeiras tábuas de logaritmos.
Durante os quase 4 séculos que sucederam à descoberta dos logaritmos, sua utilidade revelou-se decisiva na Ciência e na tecnologia.Recentemente, com a utilização cada vez mais divulgada das calculadoras, as tábuas de logaritmos perderam muito do seu interesse como instrumento de cálculo, o mesmo acontecendo com outras tabelas matemáticas. Mas o estudo dos logaritmos ainda é e continuará a ser de central importância.
Trataremos a definição de logaritmo como sendo a inversa da exponencial, mas a definição mais difundida se baseia em conceitos geométricos. Pode-se definir o logaritmo natural de um número n, como sendo a área sob o gráfico da função de 1 até n.

Com essa definição fica muito mais fácil comprovar propriedades e demonstrar resultados que envolvem a função logaritmo. Como não temos esta intenção neste curso usaremos a definição que faz referência a função exponencial.

O escocês John Napier ingressou no St. Salvator's College, em St. Andrews, onde estudou com o matemático John Rutherford. Na Escócia do século dezesseis, os interesses intelectuais concentravam-se na religião, na teologia e na política em vez de nas ciências e na matemática, e o primeiro trabalho de Napier refletia esse clima. Ele foi um protestante fervoroso e dono de uma grande propriedade e de fazendas. Há evidências de que começou trabalhando a idéia de logaritmos por volta de 1590. Seu importante trabalho matemático culminou com a publicação de dois tratados em latim. Em Constructio, as palavras "números artificiais" são usadas por Napier em vez de "logaritmos", que será adotada mais tarde.




Tela 16
Unidade 03 - Funções 2

São propriedades da Função Logaritmo:

Observação: Devido a sua maior utilização, os logaritmos na base 10 e base "e" recebem uma notação diferenciada, que são:

Exemplo:
Admitindo que e calcule log 6.

Resolução:

Exemplo:
Resolva a equações a seguir, sabendo que e log 3=0,48:

Resolução:
a) Para determinar o expoente, aplicamos logaritmo nos dois lados da equação e usamos a propriedade 3, vejamos:


Vale salientar que os logaritmos exemplificados são bem simples de calcular manualmente. Na prática utilizaremos uma calculadora científica para efetuar estas operações de logaritmo, exponencial e potenciação, como por exemplo, a calculadora do Windows. Lembre-se, o funcionamento de muitas calculadoras científicas segue este mesmo padrão. Caso considere útil veja como usar. Sugiro que treine o uso da calculadora, calculando as expressões acima exemplificadas.



Tela 17
Unidade 03 - Funções 2

Utilizando a calculadora do windows


Para abrir a calculadora vá a Iniciar>programas>acessórios>calculadora.

Se por acaso, a calculadora que aparecer na tela não for igual a que está exibida acima, clique em exibir no menu da calculadora e escolha a opção cientifica.



Tela 18
Unidade 03 - Funções 2

Agora, vamos utilizar a calculadora, primeiramente vamos calcular log 3.

Primeiro digite 3 ou clique com o mouse em , em seguida clique em .

Pronto! O resultado final será:

Observe que tal número possui várias casas após a vírgula, na verdade tal número é irracional possuindo infinitas casas após a vírgula, mas a calculadora trabalha com no máximo 33 dígitos.
Quando da resolução dos problemas coloque apenas duas casas após a vírgula por arredondamento, por exemplo, o número que aparece no visor da calculadora ficaria 0,48, arredondando a segunda casa após a vírgula.

Para calcular ln 3, procedemos de maneira análoga pressionando em vez de .



Tela 19
Unidade 03 - Funções 2

Para calcular  , digitamos 5. ou clicamos em , marcamos a opção Inv e, em seguida, pressionamos . Obtendo:

Ou seja, por arredondamento.
Observe que nas calculadoras científicas as funções ln x e ex são tratadas como inversas assim como log x e 10x.

Outro cálculo muito útil será o de potencias, por exemplo, se desejamos calcular (1,03)11, procedemos da seguinte forma:
Digitamos 1,03, ou utilizamos o teclado da calculadora com o mouse selecionando
, , e .
Em seguida clicamos em , digitamos 11 e ou pressionamos ENTER.

Procure exercitar, caso tenha encontrado alguma dificuldade. Abaixo colocaremos alguns exercícios.
Exercícios:
1) Calcule:
a) log 5
b) ln 20
c) ln (-1)
d) e-2
e) 100,5
f)
g) .

Veremos nas seções a seguir aplicações das funções logaritmo e exponencial em juros compostos, valorização e desvalorização, crescimento populacional.



Tela 20
Unidade 03 - Funções 2

Vejamos algumas aplicações das funções exponencial e logarítmica:

Juros compostos - Suponha que tenhamos tomado emprestado R$ 1.000,00 a uma taxa de juros mensal de 10% ao ano.
Qual o valor da dívida após um ano?
Ora, após um ano os juros seriam de 10% sobre R$ 1000,00 que é igual a R$ 100,00, logo a dívida passaria para R$ 1.100,00.
O cálculo acima foi realizado da seguinte forma:

Observação: Calculamos o juro sobre 1000 e somamos com 1000.
Qual o valor da dívida após dois anos?
Como o valor após um ano será de R$ 1100,00, após um ano devemos calcular 10% sobre R$ 1100,00, o que dará R$ 110,00, logo a dívida passaria para R$ 1210,00.

Podemos generalizar esta fórmula de maneira que o valor após n anos dependa apenas do valor inicial e da taxa de juros, vejamos:
Suponha que tenhamos tomado emprestado um capital V0 a uma taxa de juros k ao ano (ou mês, semana, dia, trimestre). Qual o valor da dívida após n anos?

Solução:

O juro composto tem um comportamento exponencial, ou seja, a variável, no caso o tempo, é um expoente da função. Comumente se usa a notação

Exemplo:

Um capital igual a R$ 2.000,00 é aplicado a juros compostos durante 4 meses à taxa de juros de 9% ao mês. Qual o montante?
Resolução:

Portanto o montante será de R$ 2.820,00.



Tela 21
Unidade 03 - Funções 2

Este mesmo raciocínio e expressão pode ser aplicado à problemas de crescimento populacional, valorização e desvalorização. Haverá uma pequena diferença na notação, pois trabalharemos com taxa de crescimento da população em vez de juros, população inicial em vez de capital inicial e população em vez de montante. Já no caso da desvalorização, observa-se que aparecerá uma subtração e, isto faz sentido, pois como a taxa sempre toma valores entre 0 e 1 teremos, desta forma, que (1- i) será um número menor que 1 e, portanto, a função decrescerá com o passar do tempo, por isso o nome desvalorização.

De uma forma geral, seja uma grandeza V que varia exponencialmente com tempo n, a uma taxa i, por unidade de tempo. Suponha que no instante inicial seu valor seja V0 e nos instantes 1, 2, 3, ..., n, os valores sejam V1, V2, V3, ..., Vn. Dessa forma, o valor da grandeza V no instante n é dado por:

V = V0 (1±i)n

Observações:

- Para utilizar a relação acima descrita, a unidade do tempo n deve ser compatível com a taxa i. Por exemplo, se i é a taxa de juros por ano, n representa o número de anos; se i é a taxa por bimestre, n corresponde ao número de bimestres, etc.

- Na relação acima, o sinal de (+) é utilizado para problemas de crescimento e o sinal (-) para problemas de decrescimento.

Exemplo:

O número de habitantes de uma cidade é hoje 7.000, e cresce à taxa de 3% ao ano.
a) Qual será o número de habitantes daqui a 8 anos?
b) Qual será o número de habitantes daqui a 30 anos?
c) Daqui a quanto tempo (aproximadamente) a população dobrará?

Resolução:

a)
Daqui a 8 anos a população será de 8867 habitantes.

b)
Daqui a 30 anos a população será de 16991 habitantes.

c)

Daqui a aproximadamente 23 anos e 6 meses a população dobrará.



Tela 22
Unidade 03 - Funções 2

Valorização e desvalorização seguem o mesmo raciocínio empregado nas demais aplicações, com ressalva para desvalorização, vejamos as fórmulas.

Observe que na desvalorização aparece uma subtração, e isto faz sentido pois como a taxa sempre toma valores entre 0 e 1 teremos, desta forma, que 1- i será um número menor que 1 e, portanto, a função decrescerá com o passar do tempo, por isso o nome desvalorização.

Exemplo:
Um automóvel novo vale hoje R$20.000,00. Ele sofre desvalorização de 15% ao ano.

a) Qual o seu valor daqui a 5 anos?
b) Qual a depreciação em 5 anos?

Resolução:

a)

Após 5 anos o carro passaria a valer R$8.874,11.

b) Como já dito na Unidade II, depreciação é perda.
Logo, a perda registrada nestes 5 anos foi de 20000 – 8.874,11= R$ 11.125,89.