4 - Potenciação

É a multiplicação de um número, por ele mesmo, quantas vezes estiverem indicadas em seu expoente.

Genericamente:

Onde:
a = base (valor que será multiplicado)
n = expoente (número de vezes em que deverá ser multiplicada a base)

Regras:

  • Todo número elevado à unidade será igual a ele mesmo.

  • Todo número elevado a zero será igual à unidade.

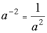
  • Todo número elevado a um expoente negativo será igual a uma fração na qual a unidade será o numerador e o próprio número será o denominador elevado ao expoente com sinal positivo.

  • Na multiplicação de potências de mesma base, conserva-se a base e somam-se os expoentes.

  • Na divisão de potências de mesma base, conserva-se a base e subtraem-se os expoentes.

  • Na multiplicação de potências de bases diferentes, porém com o mesmo expoente, multiplicam-se as bases e conserva-se os expoentes.


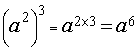
  • Outras regras:





Copyright © 2010 AIEC.