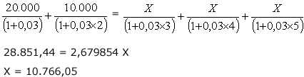
Resolvendo para a data focal “0” – RCS

Baseados no mesmo raciocínio aplicado para o RCC, teremos:


Dívida original (descapitalizada para “0”) = Proposta (descapitalizada para “0”)




Copyright © 2010 AIEC.