Utilizando-nos o conceito de taxas unificadas, estudado na aula anterior e, considerando as definições abaixo, onde:

i (taxa de mercado) = iu (taxa unificada)
(2)
II (taxa esperada de inflação) =i1 (taxa um)
(3)
r (taxa real ou ganho acima da inflação) = i2 (taxa dois)
(4)

Pode-se deduzir, a partir da equação das taxas unificadas, onde: iu=(1+i1)x(1+i2)x...x(1+in)-1 (5), a fórmula da taxa de juros sob um contexto inflacionário, bem como a taxa real de uma operação.

Substituindo as equações (2), (3) e (4) na equação (5), teremos:

(6)

Onde:

i = taxa nominal ou aparente de uma operação

II = taxa de inflação

r = taxa real


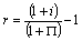
Resolvendo para a taxa real:

(7)

Importante! O conceito de taxa nominal, sob enfoque econômico, difere do conceito de taxa nominal visto anteriormente. Neste caso, a taxa nominal (ou aparente) refere-se ao ganho/custo de uma operação antes de considerarmos a inflação do período.

Sempre que a questão se referir a ganho real ou taxa de inflação deve-se estar ciente de que a abordagem é econômica e, portanto, devem ser usadas as equações (6) ou (7) para a solução do problema.



Copyright © 2010 AIEC..