Unidade 4 Módulo 1
Tela 1
Módulo 1 - Conceitos Básicos e Séries Uniformes Postecipadas (SUP)
1 - Definição e Classificação

Iremos abordar agora os conceitos básicos que fundamentam as séries de pagamentos e recebimentos, suas classificações, bem como as características e os procedimentos de cálculo para o valor presente e para o valor futuro das séries uniformes postecipadas.

Podemos definir séries como um conjunto de fluxos de caixa representativos de pagamentos, ou de recebimentos, sucessivos, exigíveis em épocas predeterminadas, destinados a extinguir uma dívida ou constituir um capital.

Exemplo: Operações de Crédito Direto ao Consumidor – CDC, Poupança Programada etc.

Os valores que compõem uma série (pagamento ou recebimento) são denominados de “Termo da Série” e são geralmente representados por “PMT”.

As séries podem ser classificadas quanto:

a) à periodicidade dos pagamentos ou recebimentos;

b) ao número de termos (PMT);

c) à disposição dos termos (PMT); e

d) ao valor dos termos (PMT).


Tela 2
Módulo 1 - Conceitos Básicos e Séries Uniformes Postecipadas (SUP)
Quanto à periodicidade, as séries classificam-se em:

Periódicas – os intervalos de tempo entre dois termos consecutivos (pagamentos ou recebimentos) são iguais, exemplo:

Onde PMT = termo da série, que pode representar o valor de uma prestação ou de um depósito.

Não Periódicas – os intervalos de tempo entre dois termos consecutivos (pagamentos ou recebimentos) não obedecem a um padrão uniforme, exemplo:



Tela 3
Módulo 1 - Conceitos Básicos e Séries Uniformes Postecipadas (SUP)

Quanto ao número de termos (PMT), as séries podem ser:

Temporárias – possui termo final, prazo conhecido a priori, exemplo:

Observação: a série possui 6 termos, portanto tem final conhecido.

Perpétuas – não há termo final, número de termos da série é infinito, exemplo:



Tela 4
Módulo 1 - Conceitos Básicos e Séries Uniformes Postecipadas (SUP)

Quanto à disposição dos termos (PMT), as séries são classificadas em:

Postecipadas – os termos posicionam-se no final de cada intervalo de tempo a que se referir a taxa de juros considerada, exemplo: compra com a primeira prestação ocorrendo ao final do primeiro mês.

Conforme demonstrado acima, a série se inicia ao final do primeiro período, se a taxa for mensal, por exemplo, o primeiro termo ocorrerá ao final do primeiro mês.

Antecipada – os termos posicionam-se no início de cada intervalo de tempo a que se referir à taxa de juros considerada, exemplo: compra com a primeira prestação ocorrendo no ato da compra.

Conforme demonstrado no fluxo acima, nas séries antecipadas o primeiro fluxo ocorre no momento “0”, ou seja, no momento que a operação é contratada.

Diferidas – o primeiro termo ocorre somente depois de decorridos “m” períodos de tempo a que se referir a taxa de juros, exemplo: empréstimo com carência.



Tela 5
Módulo 1 - Conceitos Básicos e Séries Uniformes Postecipadas (SUP)

Quanto ao valor dos termos (PMT), as séries são classificadas em:

Uniformes – todos os termos possuem o mesmo valor;

Variáveis – os termos da série têm valores diferentes.



Tela 6
Módulo 1 - Conceitos Básicos e Séries Uniformes Postecipadas (SUP)

Independentemente do tipo de série objeto do problema, é importante salientar que os fundamentos aprendidos até o momento continuam sendo aplicados.

Assim, caso se deseje conhecer o valor presente de uma série, por exemplo, basta efetuarmos a descapitalização de todos os fluxos da série até a data focal e somá-los. Da mesma forma, se desejarmos conhecer o valor futuro de uma série, basta capitalizarmos todos os fluxos até a data focal desejada e somá-los.

Como as séries são formadas sob o regime de capitalização composto, utilizamos as equações de PV e FV para juros compostos, sempre que desejarmos conhecer o valor presente ou o valor futuro de uma série.

Para as séries uniformes postecipadas (SUP) e para as séries uniformes antecipadas (SUA), estudadas a seguir, os procedimentos de cálculo podem ser simplificados, mediante a determinação de fatores que aplicados ao termo da série (PMT), possibilitam sua capitalização ou descapitalização em uma única operação.



Tela 7
Módulo 1 - Conceitos Básicos e Séries Uniformes Postecipadas (SUP)

2 - Série Uniforme Postecipada (SUP)

Também conhecida como “série padrão”, ocorre na maioria das operações de empréstimo e de financiamento realizadas no mercado e possuem as seguintes características:

a) Os termos (prestação) possuem valores iguais;

b) os fluxos são temporários e periódicos, ou seja, a quantidade é conhecida e os intervalos entre sua ocorrência são constantes;

c) é postecipada, o que indica que o primeiro termo (prestação) ocorrerá sempre ao final do primeiro período a que se referir a taxa de juros da operação.

Exemplo:

Variáveis utilizadas em qualquer série:


PMT = termos da série (pagamento ou recebimento);

i = taxa de juros envolvidos na operação;

n = número de termos da série;

PV = valor presente do conjunto de fluxos que compõem a série;

FV = valor futuro do conjunto de fluxos que compõem a série.

Importante! A variável “n” representa o número de termos (PMT) da série e não o prazo da operação.



Tela 8
Módulo 1 - Conceitos Básicos e Séries Uniformes Postecipadas (SUP)

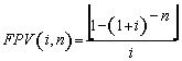
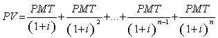
3 - Determinação do Valor Presente (PV) para SUP

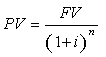
Conforme visto anteriormente, o valor presente (PV) de um determinado fluxo que ocorrerá no futuro (FV), sob o enfoque do RCC, é dado por:

(1)

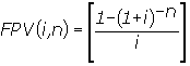
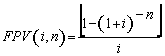
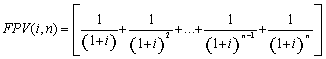
Tendo em vista que as séries representam conjuntos de fluxos de caixa que ocorrerão ao longo do tempo, referentes a pagamentos ou recebimentos, denominados “termos da série” ou PMT, podemos concluir que o valor presente das séries (PV) será dado pela soma dos valores presentes de todos os “n” fluxos que compõem a série, assim:

(2)

Isolando PMT, têm-se:

(3)
 
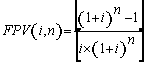
FPV(i,n)
 

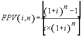
Ao somatório dos termos do colchete damos o nome de fator de valor presente, dada uma taxa “i” e um número de termos “n”, representado por “FPV(i,n)”, assim, poderemos reescrever a equação (3), como:

PV = PMT x FPV(i,n)
(4)

A equação (4) indica que o valor presente de uma série é determinado mediante a multiplicação do termo da série (PMT) pelo fator de valor presente, calculado para uma taxa “i” e um prazo “n” (FPV (i,n)).



Tela 9
Módulo 1 - Conceitos Básicos e Séries Uniformes Postecipadas (SUP)
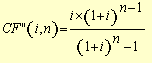
4 - Cálculo do FPV(i,n)

A partir da equação do FPV (i,n), onde:

(5)

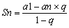
Verificamos que FPV(i,n) representa a soma de uma progressão geométrica com razão (q) igual a (1+i)-1, primeiro termo (a1) igual a (1+i)-1 e último termo (an) igual a (1+i)-n. Sendo a soma de uma progressão geométrica (Sn), o resultado da equação: (6), substituindo os valores de “a1”, “an" e “q” na equação (6) e resolvendo a expressão, teremos:

(7)

A equação (7), que determina o valor de FPV (i,n), pode, ainda, ser escrita como:

(8)

Exercícios Resolvidos



Tela 10
Módulo 1 - Conceitos Básicos e Séries Uniformes Postecipadas (SUP)
1) Qual será o preço à vista de uma mercadoria adquirida em 12 parcelas iguais e sucessivas, no valor de R$ 98,00, sabendo-se que a taxa de juros do financiamento foi de 2% a.m.?

Importante! Sempre que o problema não informar a ocorrência da primeira parcela, iremos considerar como sendo ao final do primeiro período (SUP), por representar a série padrão.

Fluxo:


Variáveis Solução
PMT = 98,00 1) calcula-se o FPV(i,n) (equação 7 ou 8)
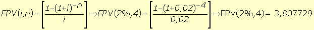
i = 0,02 a.m.
n = 12 (mensais)
PV = ? FPV (2%,12) = 10,575341
  2) aplica-se o FPV (i,n) na equação (4)
  PV = PMT x FPV(i,n)
  PV = 98 x 10,575341
  PV = 1.036,38
O resultado de R$ 1.036,38 é o mesmo que encontraríamos se efetuássemos a descapitalização um a um de cada fluxo da série e depois somasse os valores encontrados.

Observação: Para qualquer série postecipada, com taxa igual a 2% e número de termos igual a 12, o fator de valor presente (FPV(2%,12))será igual a 10,575341.



Tela 11
Módulo 1 - Conceitos Básicos e Séries Uniformes Postecipadas (SUP)

2) Ao adquirir um eletrodoméstico, uma pessoa financia o valor de R$ 900,00 para pagar em 24 prestações, iguais e sucessivas. Considerando que a taxa de juros da operação foi de 5,5% a.m., calcular o valor das prestações.

Fluxo:


Variáveis Solução
PV = 900 1) calcula-se o FPV(i,n) (equação 7 ou 8)
i = 0,055 a.m.
n = 24 (mensais)
PMT= ? FPV (5,5%,24) = 13,151699
  2) aplica-se o FPV (i,n) na equação (4)
  PV=PMTxFPV(i,n)
  900=PMTx13,151699
  PMT = 68,43


Tela 12
Módulo 1 - Conceitos Básicos e Séries Uniformes Postecipadas (SUP)

Determinação do Valor Futuro (FV) para SUP

Ao estudarmos o RCC, verificamos que o valor futuro (FV), de um dado valor presente (PV), é obtido a partir da equação:

FV=PV(1+i)n
(9)

Sendo o valor presente de uma SUP calculado por: (4), substituindo-se o PV da equação (4) na (9), teremos:

FV=PMTxFPV(i,n)x(1+i)n
(10)

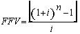
Como: (7), substituindo-se FPV (i,n) da expressão (7) na fórmula (10) e resolvendo a equação teremos:

(11)

A equação (11) revela que o valor futuro de uma série uniforme postecipada (SUP) pode ser obtido mediante a multiplicação do termo da série (PMT) pelo fator de valor futuro, dada uma taxa “i” e um número de termos “n”, FFV (i,n) ou Snù i, assim, têm-se que:

FV=PMTxFFV(i,n)
(12)
Onde:  
(13)

Exercícios Resolvidos



Tela 13
Módulo 1 - Conceitos Básicos e Séries Uniformes Postecipadas (SUP)

3) A comissão de formatura de uma turma de graduação irá depositar mensalmente R$ 460,00, durante 28 meses, numa opção de investimento que paga 0,6% de juros ao mês. Calcular o montante de recursos que os alunos irão ter, ao final do período, a fim de custear a festa de colação de grau.

Fluxo:


Variáveis Solução
PMT = 460 1) calcula-se o FFV(i,n) (equação 12)
i = 0,006 a.m.
n = 28 (mensais)
  FFV (0,6%,28) = 30,390489
  2) aplica-se o FFV (i,n) na equação (11)
  FV=PMTxFFV(i,n)
  FV=460 x 30,390489
  FV = 13.979,62

Caso efetuássemos a capitalização de todos os termos da série um a um, até a data focal 28, e somássemos os valores encontrados, obteríamos o mesmo resultado de R$ 13.979,62.

Observação: Para qualquer série postecipada, com taxa igual a 0,6% e número de termos igual a 28, o fator de valor futuro (FFV(0,6%,28)) será igual a 30,390489.



Tela 14
Módulo 1 - Conceitos Básicos e Séries Uniformes Postecipadas (SUP)

4) Para efetuar uma viagem de férias, um indivíduo planeja efetuar depósitos durante os 9 meses que antecedem a aquisição de um pacote turístico, que custará R$ 8.000,00. Qual o valor de cada depósito que ele deverá fazer, sabendo-se que a modalidade de aplicação financeira escolhida paga juros à taxa de 1,2% ao mês?

Fluxo:


Variáveis Solução
FV = 8000 1) calcula-se o FPV(i,n) (equação 12)
i = 0,012 a.m.
n = 9 m
PMT = ? FPV (1,2%,9) = 9,444316
  2) aplica-se o FPV (i,n) na equação (11)
  FV=PMTxFFV(i,n)
  8000=PMTx9,444316
  PMT = 847,07


Tela 15
Módulo 1 - Conceitos Básicos e Séries Uniformes Postecipadas (SUP)
5 - Utilizando o Excel

Abrir o Excel e seguir o procedimento

1. Abra uma pasta nova que depois poderá ser arquivada com o nome de SUP.

PLANILHA DE CÁLCULO DE VALOR PRESENTE DE SUP

2. No intervalo B2 escreva: PV de Séries Uniformes Postecipadas – SUP.

3. No intervalo B3:D3, digite os títulos “Variáveis”, “Dados” e “Resultado”.

4. No intervalo B4:B7, indique as variáveis “Prestação”, “Valor Presente”, “Taxa” e “Nº de Parcelas”.

5. Usando os recursos de formatação do Excel, formate o intervalo C4:D5 como moeda e o intervalo C6:D6 como percentual %, todos com duas casas decimais.

6. No intervalo D4:D7, registre as fórmulas de cálculo das variáveis “Prestação”, “Valor Presente”, “Taxa” e “Nº de Parcelas”, utilizando a função lógica SE, ou então digite:

6.1 Na célula D4: =SE(C4="?";PGTO(C6;C7;C5;;0);"")
6.2 Na célula D5: =SE(C5="?";VP(C6;C7;C4;;0);"")
6.3 Na célula D6: =SE(C6="?";TAXA(C7;C4;C5);"")
6.4 Na célula D7: =SE(C7="?";NPER(C6;C4;C5;;0);"")

7. As fórmulas acima estabelecem as relações lógicas da função. Analisando, por exemplo, a equação da célula D4, terá:

SE for cumprida a condição lógica C4 = “?”

ENTÃO calcule PGTO(C6;C7;C5;;0) e apresente o resultado na célula D4

SENÃO registre um rótulo vazio “” na célula D4

8. Caso deseje utilizar a função SE diretamente, coloque o cursor na célula D4 e selecione INSERIR, FUNÇÃO.

9. No campo CATEGORIA escolha: LÓGICA e no campo NOME escolha SE.

10. Tomando como base a equação 6.1, no campo Teste lógico insira C4=”?”; no campo Valor_se_verdadeiro, digite: PGTO(C6;C7;C5;;0) e no campo Valor_se_falso digite “”.

11. Ao final da digitação clique OK.

12. Repita os procedimentos de 8 a 11 para intervalo D5:D7, com base nas equações 6.2 a 6.4.



Tela 16
Módulo 1 - Conceitos Básicos e Séries Uniformes Postecipadas (SUP)

PLANILHA DE CÁLCULO DE VALOR FUTURO DE SUP

13. No intervalo B9 escreva: PV de Séries Uniformes Postecipadas – SUP.

14. No intervalo B10:D10, digite os títulos “Variáveis”, “Dados” e “Resultado”.

15. No intervalo B11:B14, indique as variáveis “Prestação”, “Valor Presente”, “Taxa” e “Nº de Parcelas”.

16. Usando os recursos de formatação do Excel, formate o intervalo C11:D12 como moeda e o intervalo C13:D13 como percentual %, todos com duas casas decimais.

17. No intervalo D11:D14, registre as fórmulas de cálculo das variáveis “Prestação”, “Valor Futuro”, “Taxa” e “Nº de Parcelas”, utilizando a função lógica SE, ou então digite:

17.1 Na célula D11: =SE(C11="?";PGTO(C13;C14;;C12;0);"")
17.2 Na célula D12: =SE(C12="?";VF(C13;C14;C11;;0);"")
17.3 Na célula D13: =SE(C13="?";TAXA(C14;C11;;C12;0);"")
17.4 Na célula D14: =SE(C14="?";NPER(C13;C11;;C12;0);"")

Efetue a solução dos exercícios resolvidos no capítulo colocando as variáveis do enunciado nos campos referentes aos “dados” e “?” no campo “dados” da variável que se deseja calcular no problema: “Prestação”, “Valor Presente”, “Taxa” e “Nº de Parcelas”.

IMPORTANTE! – Ao utilizar as fórmulas de PV e FV do Excel os valores de PV e FV deverão ter sinais contrários ao da prestação (PMT). Caso PV seja inserido com valor positivo, a prestação deverá ser digitada com valor negativo e vice-versa, o mesmo ocorrendo para FV, evidenciando fluxos de caixa de sentidos opostos.

As figuras abaixo representam as planilhas construídas mediante os procedimentos descritos anteriormente:



Tela 17
Módulo 1 - Conceitos Básicos e Séries Uniformes Postecipadas (SUP)
Resumo

Pudemos verificar neste módulo que as chamadas séries de pagamentos e recebimentos são, na verdade, conjuntos de fluxos de caixa representativos de uma operação financeira.

Uma das séries mais comuns encontradas em operações do mercado são as chamadas SUP, séries uniformes postecipadas, ou padrão.

Essas séries caracterizam-se por possuir os termos (prestação ou depósito) com valores iguais e ocorrendo em intervalos de tempo constantes. Além disso, o primeiro termo da série irá acontecer sempre ao final do primeiro período a que se referir a taxa de juros.

Exemplo:

Para o cálculo do valor presente de SUP, utilizamos a seguinte equação:

(4)

Onde:

(7)

A equação (7) também pode ser escrita como:

(8)

A equação (4) revela que o valor presente (PV) de uma SUP pode ser obtido mediante a multiplicação do termo da série (PMT) por um fator de valor presente, calculado para uma taxa “i “ e um número de parcelas “n”, empregando-se as equações (7) ou (8).



Tela 18
Módulo 1 - Conceitos Básicos e Séries Uniformes Postecipadas (SUP)

Para o cálculo do valor futuro (FV) de uma SUP, utilizamos as seguintes equações:

(12)
E  
(13)

A fórmula (12) nos diz que o valor futuro de uma SUP pode ser calculado mediante a aplicação de um fator de valor futuro, calculado para uma taxa “i” e um número de parcelas “n” (FFV (i,n)), aplicado sobre o termo (PMT) da série.

Esse fator de valor futuro é calculado mediante a utilização da equação (13).



Unidade 4 Módulo 2
Tela 19
Módulo II - Séries Uniformes Antecipadas
1 - Série Uniforme Antecipada (SUA)

Dando continuidade ao estudo das séries de pagamentos e recebimentos, vamos conhecer os procedimentos de cálculo do valor presente e do valor futuro das chamadas “séries uniformes antecipadas” (SUA) que, além de possuir fluxos de valores iguais, ocorrendo em intervalos de tempo constantes e com número de termos conhecido (limitado), caracteriza-se pela ocorrência do primeiro fluxo no início do período a que se referir a taxa de juros.

Se compararmos o fluxo de caixa representativo de uma série uniforme antecipada (SUA), ao fluxo de caixa das séries uniformes postecipadas (SUP), estudadas no módulo anterior, veremos que a única diferença entre as duas está no momento da ocorrência do primeiro termo da série. Enquanto nas SUP o primeiro fluxo ocorre ao final do primeiro período, nas SUA este fluxo ocorrerá no início do primeiro período.



Tela 20
Módulo II - Séries Uniformes Antecipadas
Exemplo: Fluxos de caixa representativos da aquisição de um produto numa loja em:

1) Cinco pagamentos iguais e sucessivos, o primeiro ocorrendo no ato da compra (SUA):

2) Cinco pagamentos iguais e sucessivos, o primeiro ocorrendo, um mês após a compra (SUP):




Tela 21
Módulo II - Séries Uniformes Antecipadas
2 - Determinação do Valor Presente (PV) das SUA

Na aula anterior, verificamos que o valor presente de uma série uniforme postecipada (SUP) é calculado mediante o uso da seguinte equação:

(1)

Onde:
PMT = termo da série
FPV(i,n) = fator de valor presente para uma taxa “i” e um número de termos “n”.

Se a analisarmos o resultado final da aplicação da equação acima em uma série postecipada, veremos que, de forma resumida, a fórmula faz com que todos os fluxos da série sejam trazidos para o momento “0”, ou seja, os fluxos são trazidos para um período anterior ao primeiro fluxo da série e depois são somados, gerando, assim, o valor presente da série.

Representando graficamente, têm-se:



Tela 22
M�dulo II - S�ries Uniformes Antecipadas (SUA)

Por analogia, podemos inferir que, caso a fórmula, seja aplicada em uma série antecipada, os fluxos também serão trazidos para um período anterior ao primeiro fluxo da série que, no caso, será o período “-1”, tendo em vista que a série, por ser antecipada, começa no momento “0”.

Como desejamos encontrar o valor presente da série hoje (momento 0), após aplicar a fórmula de valor presente para séries postecipadas, devemos capitalizar o resultado por um período, fazendo com que o valor encontrado no período “-1” (PV’) seja levado até o período “0” onde encontraremos PV, assim:

Sendo o valor presente, para séries antecipadas, igual ao do valor presente calculado pela equação que serve para séries postecipadas PV’ capitalizado por um período:

(2)

Sabendo-se que a equação do valor presente de uma série postecipada é:

(3)

Substituindo a equação (3) na (2) teremos:

(4)

A equação (4), que serve para o cálculo do valor presente (PV) de séries uniformes antecipadas, nos diz que este valor pode ser obtido mediante a multiplicação dos termos da série (PMT) pelo fator de valor presente (FPV(i,n)) para uma taxa “i” e um número de termos “n”, capitalizados por um período, ou seja, multiplicados por (1+i).

Exercícios Resolvidos



Tela 23
M�dulo II - S�ries Uniformes Antecipadas (SUA)

1) Qual será o preço à vista de uma mercadoria adquirida em 18 parcelas iguais e sucessivas, no valor de R$ 108,00, sabendo-se que a primeira parcela ocorre no ato da compra e que a taxa de juros do financiamento é de 5,5% a.m.?

Importante! Sempre que se tratar de uma “SUA”, o problema irá indicar a ocorrência da primeira parcela: “na data atual”, “hoje”, “no momento da compra” etc.

Fluxo:


Variáveis Solução
i = 0,055 a.m.
n = 18 (mensais)  
PV = ?


FPV (5,5%,18) = 11,246074

2) aplica-se o FPV (i,n) na equação (4)





PV = 1.281,38

O valor presente de R$ 1.281,38 poderia ser encontrado se descapitalizássemos os fluxos um a um e depois somássemos o resultado.

Observação: Para qualquer série antecipada, com taxa igual a 5,5% e número de termos igual a 18, o fator de valor presente (FPV(5,5%,18)) será igual a 11,246074.

2) Uma loja anuncia a venda de um eletrodoméstico, no valor de R$ 500,00, em 12 prestações, iguais e sucessivas, a primeira ocorrendo no ato da compra. Considerando que a taxa de juros da operação é de 6% a.m., calcular o valor das prestações.

Fluxo:


Variáveis Solução
PV = 500 1) calcula-se o FPV(i,n) (conforme módulo anterior
i = 0,06 a.m
n = 12 (mensais)
PMT= ?


FPV (6%,12) = 8,383844

2) aplica-se o FPV (i,n) na equação (4)





PMT = 56,26



Tela 24
Módulo II - Séries Uniformes Antecipadas (SUA)

3 - Determinação do Valor Futuro (FV) para SUA

Ao estudarmos o RCC, verificamos que o valor futuro (FV), de um dado valor presente (PV), é obtido a partir da equação:

(5)

Sendo o valor presente de uma SUA calculado por: PV = PMT x FPV(i,n) x (1+i), conforme verificamos neste módulo, substituindo-se o PV da SUA na equação (5), teremos:

(6)

Como: substituindo-se FPV (i,n) na fórmula (6) e resolvendo a equação teremos:

(7)

Tendo em vista que , conforme aprendemos no módulo anterior, podemos reescrever a equação (7) como:

(8)

A equação (8) revela que o valor futuro de uma série uniforme antecipada (SUA) pode ser obtido mediante a multiplicação do termo da série (PMT) pelo fator de valor futuro, dada uma taxa “i” e um número de termos “n”, FFV(i,n), capitalizado por um período, ou seja, multiplicado por (1+i).

Exercícios Resolvidos



Tela 25
Módulo II - Séries Uniformes Antecipadas (SUA)

3) Uma pessoa decide depositar mensalmente R$ 135,00, durante 5 anos, numa opção de investimento que paga 0,6% de juros ao mês. Calcular o montante de recursos que ela terá ao final do período, sabendo que o primeiro depósito será efetuado na data de hoje.

Fluxo:


Variáveis Solução
PMT = 135 1) calcula-se o FFV(i,n) (conforme módulo anterior)
i = 0,006 a.m.  
n = 60 (mensais)


FFV (0,6%,60) = 71,964735

2) aplica-se o FFV (i,n) na equação (8)

FV = 9.773,53

O montante de R$ 9.773,53 também poderia ser encontrado mediante a soma do resultado da capitalização dos fluxos um a um, até a data focal 60.

Observação: Para qualquer série antecipada, com taxa igual a 0,6% e número de termos igual a 60, o fator de valor futuro (FFV(0,6%,60)) será igual a 71,964735.



Tela 26
Módulo II - Séries Uniformes Antecipadas (SUA)

4) Caso um indivíduo necessite de R$ 5.000,00 para daqui a uma ano, quanto terá que depositar mensalmente, a partir de hoje, numa opção de investimento que rende 1% a.m., a fim de obter o recurso no prazo requerido?

Fluxo:


Variáveis Solução
FV = 5000 1) calcula-se o FPV(i,n) (conforme módulo anterior)
i = 0,01 a.m.
n = 12 (mensais)

PMT = ?

FPV (1%,12) = 12,682503

2) aplica-se o FPV (i,n) na equação (8)

PMT = 390,34



Tela 27
Módulo II - Séries Uniformes Antecipadas (SUA)

4 - Utilizando o Excel

Abrir o Excel e seguir o procedimento

1. Abra uma pasta nova que depois poderá ser arquivada com o nome de SUA.

PLANILHA DE CÁLCULO DE VALOR PRESENTE DE SUA

2. No intervalo B2 escreva: PV de Séries Uniformes Antecipadas – SUA.

3. No intervalo B3:D3, digite os títulos “Variáveis”, “Dados” e “Resultado”.

4. No intervalo B4:B7, indique as variáveis “Prestação”, “Valor Presente”, “Taxa” e “Nº de Parcelas”.

5. Usando os recursos de formatação do Excel, formate o intervalo C4:D5 como moeda e o intervalo C6:D6 como percentual %, todos com duas casas decimais.

6. No intervalo D4:D7, registre as fórmulas de cálculo das variáveis “Prestação”, “Valor Presente”, “Taxa” e “Nº de Parcelas”, utilizando a função lógica SE, ou então digite:

6.1 Na célula D4: =SE(C4="?";PGTO(C6;C7;C5;;1);"")

6.2 Na célula D5: =SE(C5="?";VP(C6;C7;C4;;1);"")

6.3 Na célula D6: =SE(C6="?";TAXA(C7;C4;C5;;1);"")

6.4 Na célula D7: =SE(C7="?";NPER(C6;C4;C5;;1);"")

7. As fórmulas acima estabelecem as relações lógicas da função. Analisando, por exemplo, a equação da célula D4, terá:

SE for cumprida a condição lógica C4 = “?”
ENTÃO calcule PGTO(C6;C7;C5;;1) e apresente o resultado na célula D4
SENÃO registre um rótulo vazio “” na célula D4

8. Caso deseje utilizar a função SE diretamente, coloque o cursor na célula D4 e selecione INSERIR, FUNÇÃO.

9. No campo CATEGORIA escolha: LÓGICA e no campo NOME escolha SE.

10. Tomando como base a equação 6.1, no campo Teste lógico insira C4=”?”; no campo Valor_se_verdadeiro, digite: PGTO(C6;C7;C5;;1) e no campo Valor_se_falso digite “”.

11. Ao final da digitação clique OK.

12. Repita os procedimentos de 8 a 11 para o intervalo D5:D7, com base nas equações 6.2 a 6.4.



Tela 28
Módulo II - Séries Uniformes Antecipadas (SUA)

PLANILHA DE CÁLCULO DE VALOR FUTURO DE SUA

13. No intervalo B9 escreva: PV de Séries Uniformes Antecipadas – SUA.

14. No intervalo B10:D10, digite os títulos “Variáveis”, “Dados” e “Resultado”.

15. No intervalo B11:B14, indique as variáveis “Prestação”, “Valor Presente”, “Taxa” e “Nº de Parcelas”.

16. Usando os recursos de formatação do Excel, formate o intervalo C11:D12 como moeda e o intervalo C13:D13 como percentual %, todos com duas casas decimais.

17. No intervalo D11:D14, registre as fórmulas de cálculo das variáveis “Prestação”, “Valor Presente”, “Taxa” e “Nº de Parcelas”, utilizando a função lógica SE, ou então digite:

17.1 Na célula D11: =SE(C11="?";PGTO(C13;C14;;C12;1);"")

17.2 Na célula D12: =SE(C12="?";VF(C13;C14;C11;;1);"")

17.3 Na célula D13: =SE(C13="?";TAXA(C14;C11;;C12;1);"")

17.4 Na célula D14: =SE(C14="?";NPER(C13;C11;;C12;1);"")

Efetue a solução dos exercícios resolvidos no capítulo colocando as variáveis do enunciado nos campos referentes aos “dados” e “?” no campo “dados” da variável que se deseja calcular no problema: “Prestação”, “Valor Presente”, “Taxa” e “Nº de Parcelas”.

IMPORTANTE! – Ao utilizar as fórmulas de PV e FV do Excel os valores de PV e FV deverão ter sinais contrários ao da prestação (PMT). Caso PV seja inserido com valor positivo, a prestação deverá ser digitada com valor negativo e vice-versa, o mesmo ocorrendo para FV, evidenciando fluxos de caixa de sentidos opostos.

As figuras abaixo representam as planilhas construídas mediante os procedimentos descritos anteriormente:



Tela 29
Módulo II - Séries Uniformes Antecipadas (SUA)

Resumo

As chamadas Séries Uniformes Antecipadas (SUA) diferenciam-se das SUP apenas devido ao fato de que o primeiro pagamento ou recebimento ocorrerá no início do período a que se referir à taxa de juros da operação.

Assim, em termos genéricos, temos o seguinte fluxo representativo de uma SUA:

Para o cálculo do valor presente de SUA, utilizamos a seguinte equação:

(4)

Onde:

Ou, ainda:

A equação (4) revela que o valor presente (PV) de uma SUA pode ser obtido mediante a multiplicação do termo da série (PMT) por um fator de valor presente, calculado para uma taxa “i “ e um número de parcelas “n” (FPV(i,n)), capitalizado por um período, ou seja, multiplicado por (1+i).



Tela 30
Módulo II - Séries Uniformes Antecipadas (SUA)

Para o cálculo do valor futuro (FV) de SUA, utilizamos a seguinte equação:

(8)

A fórmula (8) nos diz que o valor futuro de uma SUA pode ser calculado mediante a aplicação de um fator de valor futuro, calculado para uma taxa “i” e um número de parcelas “n” (FFV (i,n)), aplicado sobre o termo (PMT) da série, capitalizado por um período, ou seja, multiplicado por (1+i).

Esse fator de valor futuro é calculado mediante a utilização da equação


Unidade 4 Módulo 3
Tela 31
M�dulo 3 � Coeficientes de Financiamentos

1 - Coeficiente de Financiamento para SUP

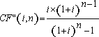
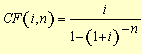
Podemos definir coeficiente de financiamento como sendo o fator que aplicado sobre o valor presente de um determinado bem ou serviço nos dará o valor da prestação para uma taxa de juros “i” e um número de parcelas “n”.

Sabemos que o Valor Presente de uma série postecipada é calculado aplicando-se a seguinte equação:

PV = PMT x FVP (i,n                                   (1)


Resolvendo a equação acima para o valor da prestação (PMT), têm-se:

 (2)

ou:

 (3)

Considerando a definição dada anteriormente para o Coeficiente de Financiamento (CF), onde este representa “o fator que aplicado sobre o valor presente de um determinado bem ou serviço nos dará o valor da prestação para uma taxa de juros “i” e um número de parcelas “n” pode-se concluir, a partir da equação (3) que:

 (4)

Como já vimos:

 (5)

Substituindo a equação (5) na (4) e resolvendo-a, teremos:

 (6)

A partir da equação (6), poderemos calcular o coeficiente de financiamento de SUP para qualquer taxa “i” e número de parcelas “n”.

Exercício Resolvido



Tela 32
M�dulo 3 � Coeficientes de Financiamentos

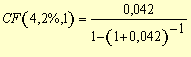
1) Uma loja de eletrodomésticos financia a venda de seus produtos a uma taxa de 4,2% ao mês. Sabendo-se que as compras podem ser efetuadas em até 3 parcelas, a primeira vencendo trinta dias após a aquisição do produto, pede-se:

a) Calcular o coeficiente de financiamento para compras efetuadas em 1, 2 e 3 parcelas.
b) Calcular o valor das prestações de um eletrodoméstico, cujo preço à vista é de R$900,00, para compras efetuadas em 1, 2 e 3 pagamentos.

a) Variáveis: i = 0,042 e n = 1, 2 ou 3

Solução: sendo

Para n=1

CF(4,2%,1) = 1,042


Para n=2


CF(4,2%,2) = 0,531716


Para n=3

CF(4,2%,3) = 0,361717

R: para uma parcela, o CF será de 1,042, para duas 0,531716 e para 3 0,361717. Estes valores, aplicados ao preço a vista do bem nos darão o valor das parcelas para 1, 2 ou 3 prestações, respectivamente.



Tela 33
M�dulo 3 � Coeficientes de Financiamentos

b) Para calcular o valor das parcelas para financiamentos de 1, 2 e 3 prestações, basta aplicar os coeficientes no valor presente (à vista) do bem:

Variáveis: PV = 900,00; CF(4,2%,1) = 1,042; CF(4,2%,2)= 0,531716 e CF(4,2%,3) = 0,361717.

Sendo: PMT = PV x CF(i,n)

Para 1 pagamento Para 2 pagamentos Para 3 pagamentos
PMT = 900 x 1,042 PMT = 900 x 0,531716 PMT= 900 x 0,361717
PMT = 937,80 PMT = 478,54 PMT = 325,55


Tela 34
M�dulo 3 � Coeficientes de Financiamentos

2 - Coeficiente de Financiamento para SUA

Da mesma maneira que ocorre em SUP, o coeficiente de financiamento (CF(i,n)) para SUA, a uma determinada taxa de juros (i) e um dado número de parcelas (n) é o fator que aplicado sobre o valor presente (PV) de um determinado bem ou serviço resultará na prestação da série (PMT).

Sendo o valor presente de uma série antecipada calculado pela equação:

PV = PMT x FVP(i,n) x (1 + i)
 (7)

Resolvendo a equação (7) para a prestação, teremos:

 (8)

Ou:

 (9)



Tela 35
M�dulo 3 � Coeficientes de Financiamentos

Considerando-se a definição dada anteriormente para o Coeficiente de Financiamento, pode-se concluir que o coeficiente de financiamento para SUA (CF”(i,n)), dada uma taxa “i” e um número de termos “n” será:

(10)

Dado que:

(5)


Substituindo-se a equação (5) na (10), têm-se:

(11)

A partir da equação (11), podemos calcular o coeficiente de financiamento para Séries Uniformes Antecipadas (CF”(i,n)) para qualquer taxa “i” e prazo “n”.

Aplicando-se os coeficientes calculados mediante o uso da equação (11), no valor presente do bem ou serviço, teremos o valor das prestações para diferentes prazos, para séries uniformes antecipadas (SUA).

Exercício Resolvido



Tela 36
M�dulo 3 � Coeficientes de Financiamentos

1) Uma loja financia a venda de seus produtos em 3 parcelas, a primeira sendo paga no ato da compra, a uma taxa de 5% ao mês. Com base nestas informações:

a) Calcule o coeficiente de financiamento para financiamentos em 2 e 3 parcelas.
b) Determine o valor das prestações de um bem, cujo preço à vista é de R$500,00, para compras efetuadas em 2 e 3 pagamentos.

a) Variáveis: i = 0,05 e n = 2 ou 3 (condições = SUA)

Solução: sendo

Para n=2

CF”(5%,2) = 0,512195

Para n=3

CF”(5%,3) = 0,349722

O coeficiente de financiamento (CF) para duas parcelas será de 0,512195 e para três parcelas 0,349722. Estes valores aplicados ao preço à vista de um produto nos darão o valor das prestações para financiamentos pagos em duas e três parcelas, respectivamente.



Tela 37
M�dulo 3 � Coeficientes de Financiamentos

b) Para calcular o valor das parcelas para financiamentos de 2 e 3 prestações, basta aplicar os coeficientes no valor presente (à vista) do bem:

Variáveis: PV = 500,00; CF”(5%,2) = 0,512195; CF”(5%,3)= 0,349722

Sendo: PMT = PV x CF”(i,n)

Para 2 pagamentos Para 3 pagamentos

PMT = 500 x 0,512195

PMT = 500 x 0,349722
PMT = 256,10 PMT = 174,86



Tela 38
M�dulo 3 � Coeficientes de Financiamentos

3 - Utilizando o Excel

Abrir o Excel e seguir o procedimento

Os procedimentos abaixo servem apara a construção de tabelas de coeficientes com até 10 prestações e 5 taxas.

18. Abra uma pasta nova que depois poderá ser arquivada com o nome de Coeficientes de Financiamento

PLANILHA DE CÁLCULO DO CF para SUP

19. Na célula B2 escreva: Coeficiente de Financiamento – SUP.
20. No intervalo B3 digite o título “n/i”; no intervalo C3:G3 coloque as taxas de “1%” a “5%” e no intervalo B4:B13 o número de parcelas de “1” até “10”.
21. Formate o intervalo C4:G13 como número com seis casas decimais.
22. No intervalo C4:C13, registre as fórmulas de cálculo do coeficiente de financiamento dados a taxa “i” e o número de parcelas “n” correspondentes, onde:

22.1 Na célula C4: =C3/(1-(1+C3)^-$B$4)
22.2 Na célula C5: =C3/(1-(1+C3)^-$B$5)
22.3 Na célula C6: =C3/(1-(1+C3)^-$B$6)
22.4 Na célula C7: =C3/(1-(1+C3)^-$B$7)
22.5 Na célula C8: =C3/(1-(1+C3)^-$B$8)
22.6 Na célula C9: =C3/(1-(1+C3)^-$B$9)
22.7 Na célula C10: =C3/(1-(1+C3)^-$B$10)
22.8 Na célula C11: =C3/(1-(1+C3)^-$B$11)
22.9 Na célula C12: =C3/(1-(1+C3)^-$B$12)
22.10 Na célula C13: =C3/(1-(1+C3)^-$B$13)

23. Copie o intervalo C4:C13 para os intervalos D4:D13, E4:E13, F4:F13 e G4:G13.

PLANILHA DE CÁLCULO DO CF para SUA

24. Efetue os mesmos procedimentos (1 a 6) utilizados para a construção da tabela de coeficientes para SUP, alterando apenas as fórmulas, conforme abaixo:

24.1 Na célula C4: =(C3*(1+C3)^($B$4-1))/(((1+C3)^$B$4)-1)
24.2 Na célula C5: =(C3*(1+C3)^($B$5-1))/(((1+C3)^$B$5)-1)
24.3 Na célula C6: =(C3*(1+C3)^($B$6-1))/(((1+C3)^$B$6)-1)
24.4 Na célula C7: =(C3*(1+C3)^($B$7-1))/(((1+C3)^$B$7)-1)
24.5 Na célula C8: =(C3*(1+C3)^($B$8-1))/(((1+C3)^$B$8)-1)
24.6 Na célula C9: =(C3*(1+C3)^($B$9-1))/(((1+C3)^$B$9)-1)
24.7 Na célula C10: =(C3*(1+C3)^($B$10-1))/(((1+C3)^$B$10)-1)
24.8 Na célula C11: =(C3*(1+C3)^($B$11-1))/(((1+C3)^$B$11)-1)
24.9 Na célula C12: =(C3*(1+C3)^($B$12-1))/(((1+C3)^$B$12)-1)
24.10 Na célula C13: =(C3*(1+C3)^($B$13-1))/(((1+C3)^$B$13)-1)

A figura abaixo representa a planilha construída mediante os procedimentos descritos anteriormente:



Tela 39
M�dulo 3 � Coeficientes de Financiamentos

Resumo

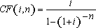
Os coeficientes de financiamento (CF(i,n)) são fatores que aplicados sobre o valor presente (PV) de determinado produto ou serviço, dada uma certa taxa de juros (i) e um número de parcelas (n), irão gerar o valor da prestação de um financiamento.

No caso de operações caracterizadas por Séries Uniformes Postecipadas (SUP), o coeficiente de financiamento (CF(i,n)) é calculado mediante a seguinte equação:

(6)

Para Séries Uniformes Antecipadas (SUA), onde a primeira parcela é paga no ato da compra, o cálculo do coeficiente de financiamento (CF”(i,n)) é efetuado pela expressão:

(11)

A partir dessas duas fórmulas, podemos montar tabelas de coeficientes que facilitem o dia a dia das empresas e que poderão ser utilizadas pelos vendedores, por exemplo, para o cálculo das prestações para diversas opções de compra.



Unidade 4 Módulo 4
Tela 40
Módulo IV - Valor presente líquido (VPL) e Taxa Interna de Retorno (TIR)
1 - Valor Presente Líquido (VPL)

O Valor presente Líquido (VPL) e a Taxa Interna de Retorno (TIR) constituem as principais metodologias empregadas pelo mercado, para auxiliar na tomada de decisões de investimentos.

Partindo-se do princípio de que todo projeto de investimento, enquanto operação financeira pode ser descrito por um fluxo de caixa, a análise desse fluxo por uma das metodologias aqui abordadas (VPL ou TIR) subsidia a tomada de decisão quanto a:

1) ingressar ou não em um determinado projeto e
2) escolher o melhor projeto entre as opções disponíveis.

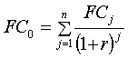
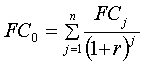
Considerado o principal critério para avaliação de projetos de investimento, o Valor Presente Líquido, ou VPL, pode ser conceituado como a diferença entre os fluxos de caixa de um projeto (entradas e saídas) descapitalizados até o momento “0” e o seu custo inicial.

Tomando-se a figura abaixo como a representação genérica dos fluxos gerados por projetos de investimento:

Onde:

FC0 = Fluxo inicial (custo)
FCj = Fluxo de caixa gerado pelo projeto para o j-ésimo período (benefícios)
n = tempo final de duração do projeto.

A equação de cálculo do VPL, a partir de sua definição, é dada por:

(1)

Ou

(2)

Conforme podemos inferir pela equação (2), o valor presente líquido de um fluxo de caixa qualquer (VPL), nada mais é do que o somatório (Σ) do valor presente dos benefícios ou prestações (FCj), descapitalizados para o momento “0”, menos o custo inicial da operação de investimento (FC0)

A taxa que serve para a descapitalização dos fluxos (r), também denominada taxa de atratividade, representa o retorno exigido pelos investidores para entrar no projeto.



Tela 41
Módulo IV - Valor presente líquido (VPL) e Taxa Interna de Retorno (TIR)
2 - Regras de Utilização do VPL

Escolhida a taxa mínima de retorno (r), um investimento deve ser aceito se o VPL for positivo (VPL > 0) e rejeitado se o VPL for negativo (VPL < 0).

Havendo mais de um projeto disponível que possa ser aceito, a escolha recairá naquele de maior VPL.

Exercícios Resolvidos

Utilizando a HP12C



Tela 42
Módulo IV - Valor presente líquido (VPL) e Taxa Interna de Retorno (TIR)

1) A partir do fluxo de caixa abaixo, representativos de um projeto de investimento, calcule o VPL considerando uma taxa de desconto (atratividade) de:

a) 10% e b) 18%. Indique, para cada uma das taxas, se o projeto deverá ou não ser aceito.

1a) VPL para r = 10%

VPL = R$ 4.729,87

Resposta: Com base no critério do VPL, a uma taxa de retorno de 10% o investimento deverá ser aceito, pois o VPL é igual a R$ 4.729,87 e, portanto, maior que zero.



Tela 43
Módulo IV - Valor presente líquido (VPL) e Taxa Interna de Retorno (TIR)

1b) VPL para r = 18%

VPL = – R$ 1.547,33

Resposta: Com base no critério do VPL, a uma taxa de retorno de 18% o investimento deverá ser rejeitado, pois o VPL é igual a – R$ 1.547,33 e, portanto, menor do que zero.

Importante! Um projeto com VPL > 0 indica que o valor presente dos benefícios esperados para o projeto é maior que seu custo. Por outro lado, um projeto com VPL < 0 indica que o valor presente dos fluxos de caixa esperados para este projeto é inferior ao seu custo.



Tela 44
Módulo IV - Valor presente líquido (VPL) e Taxa Interna de Retorno (TIR)

Utilizando a HP12C

Valor presente de um capital ou conjunto de capitais

Tendo em vista que o dinheiro tem valor no tempo, qualquer capital expresso numa data futura tem um valor equivalente na data de hoje. Este valor equivalente ou também chamado valor atual ou ainda denominado valor presente, é muito importante para a análise da viabilidade dos projetos de investimento e por conseqüência para a tomada de decisão.

Exemplo:

Qual o valor presente de uma debênture de R$ 90.000.00 de parcela única, com vencimento para 12 meses e taxa de juros de 3%a.m.?

Pode-se trabalhar com a taxa mensal ou achar a equivalente anual. Utilizando a fórmula de descapitalização temos:

Ou seja, a debênture de vence em 12 meses, no valor de R$ 90.000,00, deve ser comprada hoje a um preço de R$ R$ 63.124,19.

Também pode-se resolver esta questão utilizando a HP12C conforme fluxo abaixo:

1o – Zerar a memória da calculadora
2o – 90.000 FV
3o – 12 n
4o – 3 i
5o – Teclar PV para achar o valor presente

Da mesma forma que calcula-se o valor presente de um fluxo de capital pode-se calcular também o valor presente de um conjunto de capitais, que é dado pela soma dos valores atuais de cada um dos capitais que compõem o fluxo total. Neste caso não existe uma fórmula única que calcule todos os conjuntos de capitais. A solução ocorre por intermédio da calculadora financeira.



Tela 45
Módulo IV - Valor presente líquido (VPL) e Taxa Interna de Retorno (TIR)

Exemplo:

Um cliente quer pagar uma dívida ao banco representada por 4 notas promissórias com vencimentos mensais consecutivos, no valor de R$1.000, R$2.000, R$3.000 e R$4.000. Qual o valor presente desta dívida sabendo-se que a taxa de juros é de 2% a.m.?

Num primeiro momento alguém poderia pensar que bastaria somar o valor das notas promissórias e o montante da dívida seria R$10.000,00. Lembre-se que o dinheiro muda seu valor no tempo. R$ 4.000,00 daqui a 4 meses tem valor diferente que R$ 4.000,00.

Portanto, como o cliente deseja pagar sua dívida futura hoje, é necessário trazer seu fluxo de pagamentos futuros a valor presente. Para tanto deve-se procede da seguinte maneira:

O valor é bem diferente que os R$ 10.000,00 formados pela simples soma das parcelas nominais. O exemplo acima é simples. Possui apenas 4 fluxos e por esta razão é possível soluciona-la utilizando a fórmula de descapitalização de juros compostos.

Contudo, na vida prática os fluxos são mais complexos e o auxílio da calculadora torna-se imprescindível. Para tanto é necessário conhecer-se mais três teclas e o uso das funções f e g na HP12C.



Tela 46
Módulo IV - Valor presente líquido (VPL) e Taxa Interna de Retorno (TIR)

Utilizando a HP12C

1º Passo: Zerar a máquina

2º Passo: Inserir o fluxo de caixa no momento inicial.

No momento 0 não há fluxo de caixa. Na verdade neste momento localiza-se o valor que se quer descobrir. Desta forma não é necessário inserir nenhum valor no momento zero ou inserir o valor 0.Quem quiser praticar pode inserir o valor 0 da seguinte maneira:

Teclar e . No momento em que aciona-se a tecla g a função CF0,localizada na tecla PV, é sensibilizada.
A mesma lógica vale para a tecla .

3º Passo: Inserir os fluxos de caixa.

No exemplo são 4 fluxos de valores diferentes entre si. É necessário entrar um a um conforme instrução a seguir:

e - Fluxo do primeiro período
e - Fluxo do segundo período
e - Fluxo do terceiro período
e - Fluxo do quarto período

4º Passo: Inserir a taxa
O procedimento de inserção da taxa é o mesmo de qualquer operação. .

5º Passo: Achar o Valor Presente

Após o procedimento de entrada de todos os dados, basta achar o Valor Presente dos fluxos inseridos, teclando . No visor aparecerá o valor R$ 9.425,08.



Tela 47
Módulo IV - Valor presente líquido (VPL) e Taxa Interna de Retorno (TIR)
3 - Taxa Interna de Retorno (TIR)

A Taxa Interna de Retorno (TIR) é a taxa de desconto que iguala o VPL estimado de um investimento a zero.

Matematicamente, dado que o VPL é calculado por:

(1)

Aplicando-se o conceito da TIR na equação acima, onde a TIR é a taxa de desconto que torna o VPL = 0, têm-se:

(2)

Isolando FC0:

(3)

A partir da equação (3) acima, pode-se inferir que a TIR será a taxa de desconto ou retorno que iguala o valor presente dos fluxos futuros de um investimento ao seu custo inicial.

Calculada a TIR de um projeto, este será aceito se a taxa encontrada for superior à taxa de retorno exigida pelo investidor e rejeitado se for inferior a esta taxa.

Havendo mais de um projeto disponível que possa ser aceito, a escolha recairá naquele de maior TIR.



Tela 48
Módulo IV - Valor presente líquido (VPL) e Taxa Interna de Retorno (TIR)

Cálculo da TIR

O cálculo da TIR não é direto e, mesmo realizado mediante o uso de calculadoras financeiras, ou do Excel, constitui-se num processo de tentativa e erro.

Para permitir maior agilidade nesse processo, utilizaremos um método denominado interpolação linear, baseado na equivalência de triângulos.

Inicialmente, vamos inferir sobre a relação entre a taxa de juros e o valor presente de fluxos de caixa e depois transpor esta relação geometricamente.

Analisando a equação (3) que explicita o conceito da TIR, onde:

(3)

Podemos inferir, a partir da equação (3), que a taxa de retorno (r) possui uma relação inversa com o custo inicial do projeto (FC0), devido a encontrar-se no denominador da equação que transforma o somatório () dos fluxos futuros em valor presente e os iguala a FC0.

Assim, no processo de tentativa e erro para determinar a TIR, caso seja escolhida uma taxa de retorno maior do que a TIR verdadeira, o valor presente dos fluxos de caixa será menor do que FC0.

Por outro lado, caso seja escolhida uma taxa de retorno menor do que a TIR verdadeira, o valor presente dos fluxos será maior do que FC0.



Tela 49
Módulo IV - Valor presente líquido (VPL) e Taxa Interna de Retorno (TIR)

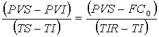
Representando a relação entre a taxa e o valor presente dos fluxos em termos geométricos, têm-se:

Na figura acima podemos verificar que a TIR é a taxa (r) que iguala o valor presente (PV) dos fluxos de caixa futuros de um projeto ao seu custo FC0.

Se a taxa escolhida for superior (TS) a TIR, resultará em um valor presente inferior (PVI) ao FC0, dada sua relação inversa.

Se a taxa escolhida for inferior (TI) a TIR, resultará em um valor presente superior (PVS) ao FC0.

Esta relação, demonstrada geometricamente, gera dois triângulos cuja razão dos lados (abc e ade) forma uma proporção, assim:

(4)


Tela 50
Módulo IV - Valor presente líquido (VPL) e Taxa Interna de Retorno (TIR)

Sendo no triângulo:

ab = PVS – PVI
(5)
bc = TS – TI
(6)
ad = PVS – FC0
(7)
de = TIR – TI
(8)

Substituindo as equações (5), (6), (7) e (8) na (4), têm-se:

(9)

Resolvendo a equação (9) para a TIR:

(10)

Determinadas as variáveis; TS, TI, PVS e PVI, a equação (10) é aplicada para se obter a TIR.

Exercício Resolvido



Tela 51
Módulo IV - Valor presente líquido (VPL) e Taxa Interna de Retorno (TIR)

1) Calcular a taxa interna de retorno do fluxo de caixa abaixo, representativo de um projeto de investimento, indicando se o mesmo deverá ou não ser aceito, caso a taxa de retorno exigida pelos investidores seja de 18% ao ano.


1º Passo – Escolha uma taxa qualquer, digamos de 16%, calcule o valor presente dos fluxos do projeto e compare o resultado com o custo (FC0), para identificar se o valor encontrado é superior (PVS) ou inferior (PVI) ao FC0.

O valor encontrado é PVI, dado que é menor do que FC0.

2º Passo – Identifique se a primeira taxa escolhida é superior (TS) ou inferior (TI) a TIR. Lembre-se que se PV > FC0 a taxa será inferior e se PV < FC0 a taxa será superior.

No exemplo, 16% é a taxa superior TS, dado que o PV encontrado, no valor de R$ 49.893,36 (1º passo) é inferior ao FC0 de R$ 50.000,00.



Tela 52
Módulo IV - Valor presente líquido (VPL) e Taxa Interna de Retorno (TIR)

3º Passo – Se a taxa escolhida anteriormente for uma TS, você deverá encontrar uma TI, caso contrário, se a taxa for uma TI, você deverá encontrar uma TS.

Como já achamos a TS, vamos tentar com 15% para verificar se esta é uma TI (lembre-se, o resultado do PV deverá ser maior do que FC0)

Tendo em vista que com 15% o valor encontrado é superior ao FC0, podemos aceitar esta taxa como sendo a taxa inferior (TI) e o valor gerado por ela como o valor superior (PVS).

4º Passo – Calcula-se a TIR, equação (10), a partir dos resultados obtidos nos passos 1, 2 e 3, onde encontramos:

Variáveis
Solução
FC0 = 50.000
TS = 16%
PVI = 49.893,36  
TI = 15%
PVS = 50.643,76  

Resposta: A TIR do projeto é de aproximadamente 15,86% e, como a taxa exigida pelos investidores é de 18%, o investimento não deverá ser aceito.



Tela 53
Módulo IV - Valor presente líquido (VPL) e Taxa Interna de Retorno (TIR)

4 - Utilizando o Excel

Abrir o arquivo e seguir o procedimento

25. Abra uma pasta nova que depois poderá ser arquivada com o nome de VPL e TIR.

PLANILHA DE CÁLCULO DO VPL E DA TIR

26. Na célula B2 escreva: Cálculo do VPL e da TIR.

27. No intervalo B3:D3, digite os títulos “Período”; “Fluxo” e “PV” e na célula D20 “Resultado”.

28. No intervalo B4:B19, escreva os períodos de “0”a “15”.

29. No intervalo B20:B22 escreva “Taxa de Atratividade”, “VPL” e “TIR”.

30. Usando os recursos de formatação do Excel, formate os intervalos C4:C19 e D4:D19 e a célula D21 como moeda e as células C20 e D22 como percentual %, todos com duas casas decimais.

31. Na célula D4: Digite =C4/(1+$C$20)^B4.

32. Copie a célula D4 para todas as células do intervalo D5:D19.

33. No intervalo D21:D22, registre as fórmulas de cálculo das variáveis “VPL” e “TIR”, utilizando a função lógica SE, ou então digite:

33.1 Na célula D21: =SE(C21="?";SOMA(D4:D19);"")

33.2 Na célula D22: =SE(C22="?";TIR(C4:C19);"")

34. As fórmulas acima estabelecem as relações lógicas da função. Analisando, por exemplo, a equação da célula D4, terá:

SE for cumprida a condição lógica C21 = “?”
ENTÃO calcule =SOMA(D4:D19) e apresente o resultado na célula D4
SENÃO registre um rótulo vazio “” na célula D4

35. Caso deseje utilizar a função SE diretamente, coloque o cursor na célula D4 e selecione INSERIR, FUNÇÃO.

36. No campo CATEGORIA escolha: LÓGICA e no campo NOME escolha SE.

37. Tomando como base a equação 7.1, no campo Teste lógico insira C21=”?”; no campo Valor_se_verdadeiro, digite: SOMA(D4:D19) e no campo Valor_se_falso digite “”.

38. Ao final da digitação clique OK.

39. Repita os procedimentos de 8 a 11 para intervalo D22, com base na equação 7.2.

Efetue a solução dos exercícios resolvidos no capítulo colocando as variáveis do enunciado nos campos referentes aos “dados” e “?” no campo “dados” da variável que se deseja calcular no problema: “VPL” ou “TIR”.

IMPORTANTE! – Esta planilha está preparada para a solução de problemas envolvendo até 16 fluxos. Os fluxos negativos (aplicação de recursos) deverão ser indicados com o sinal “-“.

A figura abaixo representa a planilha construída mediante os procedimentos descritos anteriormente:



Tela 54
Módulo IV - Valor presente líquido (VPL) e Taxa Interna de Retorno (TIR)

Resumo

Verificamos, neste módulo, que as duas metodologias mais empregadas na análise de investimentos são o Valor Presente Líquido (VPL) e a Taxa Interna de Retorno (TIR).

Matematicamente, o VPL de um determinado fluxo de caixa é dado por:

(1)

A equação (1) revela que o Valor Presente Líquido de um fluxo de caixa (VPL) será o resultado da soma dos valores presentes dos fluxos gerados por este projeto (FCj), descontados por uma taxa de atratividade (r), previamente definida, menos o seu custo inicial (FC0).

Pelo método do VPL, um determinado projeto de investimento será aceito se o seu VPL se apresentar positivo (VPL > 0) e será rejeitado se o seu VPL for negativo (VPL < 0).

Existindo mais de um projeto com VPL positivo, será preferível aquele que tiver o maior VPL.



Tela 55
Módulo IV - Valor presente líquido (VPL) e Taxa Interna de Retorno (TIR)

Quanto a chamada “Taxa Interna de Retorno” (TIR), verificamos que, conceitualmente, representa a taxa que iguala o somatório (S) dos valores presentes dos fluxos esperados de um investimento (FCj) ao seu custo inicial (FC0), onde:

(3)

O cálculo da TIR é obtido mediante processo de tentativa e erro e pela aplicação da seguinte fórmula:

(10)

Onde:

PVS = valor presente superior ao FC0, encontrado ao aplicarmos aleatoriamente uma taxa inferior a TIR na equação (3)
PVI = valor presente inferior ao FC0, encontrado ao aplicarmos aleatoriamente uma taxa superior a TIR na equação (3)
TS = taxa superior que gera o PVI, obtida aleatoriamente
TI = taxa inferior que gera o PVS, obtida aleatoriamente



Unidade 5 Módulo 1
Tela 56
Módulo I - Sistema Francês de Amortização (SFA) ou Tabela Price
1 - Definições

Sistemas de Amortização - Constituem-se na forma pela qual empréstimos e financiamentos são devolvidos aos credores (mutuantes), pelos devedores (mutuários), por meio de pagamentos periódicos denominados prestações.

Prestação (PMT) - Representam a soma das parcelas referentes à amortização (A) e aos juros (J) de uma operação de empréstimo ou de financiamento, pagas periodicamente, conforme estipulado em contrato firmado entre as partes credora e devedora. Em termos matemáticos, têm-se:

PMT = A+J
(1)

Amortização (A) - Refere-se à parcela da prestação (PMT) que serve para a reposição do capital emprestado, ou seja, é a devolução propriamente dita do recurso que se tomou emprestada.


Juros (J) - É a parcela da prestação (PMT) que representa o custo financeiro da operação para o devedor e a remuneração do capital emprestado para o credor. É calculado mediante a aplicação da taxa de juros estabelecida no contrato sobre o saldo devedor da operação.


Saldo Devedor (SD) - É a diferença, a qualquer tempo, entre o capital inicial e o valor já pago ao credor a título de amortização.



Tela 57
Módulo I - Sistema Francês de Amortização (SFA) ou Tabela Price
2 - Principais Sistemas de Amortização

Embora possa variar segundo cada contrato, os principais sistemas de amortização empregados pelo mercado financeiro são:

• Sistema Francês de Amortização (Tabela Price) – SFA

Sistema de Amortização Constante – SAC

Sistema de Amortização Misto – SAM

Sistema Americano de Amortização – SAA

Variáveis - Independente do sistema sob análise, empregaremos sempre as seguintes variáveis:

PV = valor do empréstimo ou financiamento
PMT = valor da prestação
n = número de prestações
i = taxa composta de juros



Tela 58
Módulo I - Sistema Francês de Amortização (SFA) ou Tabela Price
Sistema Francês de Amortização – SFA ou Tabela Price - Também chamado de “Tabela Price”, em homenagem ao inglês Richard Price, seu criador, recebe a denominação de “Sistema Francês” devido a sua ampla utilização na França no século XIX.

Talvez o sistema mais utilizado pelo mercado, caracteriza-se por representar uma série de prestações (PMT) periódicas (ocorrendo em intervalos constantes), iguais (soma da amortização mais juros com mesmo valor durante todo o contrato) e sucessivas. Como podemos verificar. O SFA caracteriza-se por ser uma Série Uniforme Postecipada – SUP, estudada na Unidade IV.

Para melhor entender a construção dos planos de pagamentos pelo SFA, vamos resolver o exemplo a seguir:

Exercício Resolvido



Tela 59
Módulo I - Sistema Francês de Amortização (SFA) ou Tabela Price
1) Seja um financiamento de R$ 10.000,00, à taxa de juros de 1,5% ao mês, a ser pago em 6 prestações mensais e iguais, mostrar o valor das prestações, os juros pagos, as amortizações e os saldos devedores para cada mês.

Como o valor das prestações é igual, sabemos que se trata do SFA.

1º Passo – construa a tabela conforme abaixo, colocando no mês “0”, mês atual, o valor do empréstimo (R$ 10.000,00) no saldo devedor.

Mês
Saldo Devedor
Amortização
Juros
Prestação
0
10.000,00
-
-
-
1
       
2
       
3
       
4
       
5
       
6
       

A tabela será preenchida da direita para a esquerda, a partir do cálculo da prestação que terá o mesmo valor para todos os meses.



Tela 60
Módulo I - Sistema Francês de Amortização (SFA) ou Tabela Price
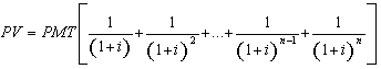
2º Passo – calcule o valor das prestações e insira na tabela. O cálculo das prestações é efetuado mediante a utilização da fórmula do valor presente (PV) de séries uniformes postecipadas (SUP), onde:

 PV = PMTxFPV(i,n) e
 
ou

No exemplo:

Variáveis Solução

PV = 10.000
(valor do empréstimo)

1) Calcula-se FPV (i,n)
i = 0,015 a.m.


n = 6 parcelas












FPV(1,5%,6) = 5,697187

2) Calcula-se o valor da prestação (PMT)

PV = PMTxFPV(i,n)

10.000 = PMTx5,697189

PMT
= 1.755,25

Preenchendo a tabela com o valor das prestações:

Mês
Saldo Devedor
Amortização
Juros
Prestação
0
10.000,00
-
-
-
1
     
1.755,25
2
     
1.755,25
3
     
1.755,25
4
     
1.755,25
5
     
1.755,25
6
     
1.755,25


Tela 61
Módulo I - Sistema Francês de Amortização (SFA) ou Tabela Price
3º Passo: calcule os juros (J) da 1ª parcela aplicando a taxa unitária do contrato sobre o saldo devedor do período anterior.

Para a primeira parcela (mês 1) o saldo devedor do período anterior (0) é igual a R$ 10.000,00. Como a taxa contratada foi de 1,5%, o juro (J) será igual a 0,015 x 10.000,00 = 150,00.

Preenchendo a tabela com o valor dos juros da 1ª parcela:

Mês
Saldo Devedor
Amortização
Juros
Prestação
0
10.000,00
-
-
-
1
    150,00
1.755,25
2
     
1.755,25
3
     
1.755,25
4
     
1.755,25
5
     
1.755,25
6
     
1.755,25

4º Passo: Defina o valor da amortização da primeira parcela.

Dado que a prestação (PMT) é definida como a soma da amortização (A) mais juros (J), ou seja:

PMT = A + J (1)

Resolvendo a equação (1) para a amortização (A) teremos:

A = PMT – J (2)

A equação (2) revela que a amortização pode ser encontrada mediante a subtração dos juros (J) da prestação (PMT).

Dado que no exemplo: PMT = 1.755,25 e os juros (J) da 1ª parcela são iguais a 150, então, aplicando-se a equação (2), obteremos:

A = 1.755,25 – 150 = 1.605,25

Preenchendo a tabela com o valor da amortização da 1ª parcela:

Mês
Saldo Devedor
Amortização
Juros
Prestação
0
10.000,00
-
-
-
1
 
1.605,25
150,00
1.755,25
2
     
1.755,25
3
     
1.755,25
4
     
1.755,25
5
     
1.755,25
6
     
1.755,25


Tela 62
Módulo I - Sistema Francês de Amortização (SFA) ou Tabela Price
5º Passo – Encontre o saldo devedor após o pagamento da primeira parcela.

Por definição, o saldo devedor (SD) em um momento qualquer “t” será o saldo devedor do período anterior “t-1” subtraído da parcela de amortização (A) que, em última análise, representa a devolução de uma parte do capital emprestado. Assim:

SDt = SDt-1– A (3)

Para o momento um, têm-se: SD0 = 10.000 e A1 = 1.605,25, então:

SD1 = 10.000 – 1.605,25 = 8.394,75

Preenchendo a tabela com o valor do saldo devedor após o pagamento da 1ª parcela:

Mês
Saldo Devedor
Amortização
Juros
Prestação
0
10.000,00
-
-
-
1
8.394,75
1.605,25
150,00
1.755,25
2
     
1.755,25
3
     
1.755,25
4
     
1.755,25
5
     
1.755,25
6
     
1.755,25


Tela 63
Módulo I - Sistema Francês de Amortização (SFA) ou Tabela Price
6º Passo – Preencha o restante da tabela repetindo do 3º ao 5º passo para as demais prestações, lembrando que:

Jt = i x SDt-1

At = PMT – Jt

SDt = SDt-1- At

Onde:
Jt = juros para o período “t”
SDt-1 = saldo devedor do período anterior a “t”
At = amortização do período “t”
SDt = saldo devedor do período “t”

Exemplo para a segunda prestação (t = 2):

J = 0,015 x 8.394,75 = 125,92

A = 1.755,25 – 125,92 = 1.629,33

SD = 8.394,75 – 1.629,33 = 6.765,42

Efetuando-se o cálculo para as demais parcelas encontraremos a seguinte tabela:

Mês
Saldo Devedor
Amortização
Juros
Prestação
0
10.000,00
-
-
-
1
8.394,75
1.605,25
150,00
1.755,25
2
6.765,42
1.629,33
125,92
1.755,25
3
5.111,65
1.653,77
101,48
1.755,25
4
3.433,07
1.678,58
76,67
1.755,25
5
1.729,32
1,703,75
51,50
1.755,25
6
0,01
1.729,31
25,94
1.755,25

Observação: O resíduo de R$ 0,01 no saldo devedor, após o pagamento da última parcela, decorre do arredondamento do valor das prestações. No mercado, este resíduo é geralmente acrescentado ao valor da última parcela.

Conforme podemos verificar, o SFA caracteriza-se por juros (J) decrescentes e amortizações (A) crescentes no decorrer do contrato.



Tela 64
Módulo I - Sistema Francês de Amortização (SFA) ou Tabela Price
3 - Fórmulas de Cálculo do SFA

Ao invés de construirmos a tabela passo a passo, poderemos utilizar as seguintes equações para a solução de problemas envolvendo a Tabela Price:

Cálculo do valor das prestações



Cálculo do valor da amortização na t-ésima prestação

At = A1(1+i)t-1

Cálculo do saldo devedor na t-ésima prestação


SDt = PMTtxFPV(i,n-t)

Cálculo da parcela de juros na t-ésima prestação

Jt = SDt-1xi

Fórmula do fator de valor presente (FPV(i,n))

ou



Tela 65
Módulo I - Sistema Francês de Amortização (SFA) ou Tabela Price

2) Uma pessoa realiza um financiamento de R$ 12.000,00 à taxa de juros de 2% ao mês, para ser pago em 4 prestações mensais, com dois meses de carência para o primeiro pagamento. Com base nestas informações calcule a) o valor das prestações; b) o saldo devedor após o pagamento da segunda parcela; c) os juros pagos na terceira parcela, e d) o valor da amortização da quarta parcela.

Dado que o financiamento possui carência de dois meses, ou seja, não há pagamento de prestações, os juros devidos para estes períodos são incorporados ao capital e o cálculo das prestações se dá sobre o saldo devedor do período anterior ao pagamento da primeira parcela, no exemplo: R$ 12.484,80.

Visualizando na tabela:

Mês
Saldo Devedor
Amortização
Juros
Prestação
0
12.000,00
-
-
-
1
12.240,00
-
-
-
2
12.484,80
-
-
-
3
       
4
       
5
       
6
       

a) Cálculo da prestação:


Lembre-se! A variável “n” refere-se ao número de parcelas (4) e não ao prazo da operação (6).

A partir do cálculo de FPV(i,n) encontraremos o valor das prestações (PMT), onde:

Importante! Poderíamos encontrar os resultados das questões de ”a a “d” construindo passo a passo a tabela, conforme visto anteriormente, ou efetuar o cálculo dos valores aplicando as fórmulas para cada variável, conforme veremos a seguir.



Tela 66
Módulo I - Sistema Francês de Amortização (SFA) ou Tabela Price

b) Cálculo do saldo devedor após o pagamento da segunda parcela:

SDt = PMTxFPV(i,n-t)

SD2 = 3.278,80 x FPV(2%,2)

SD2 = 3.278,80 x 1,941561

SD2 = 6.365,99

c) Cálculo dos juros pagos na terceira parcela:

Jt = SDt-1xi

J3 = SD2xi

J3 = 6.365,99 x 0,02

J3 = 127,32

d) Cálculo do valor da amortização na quarta parcela:

At = A1(1+i)t-1

A4 = A1(1+i)3

A primeira amortização A1 é igual a prestação menos o juros, ou seja A1 = 3.278,80 – 249,70 = 3.029,10, assim:

A4 = 3.029,10(1+0,02)3

A4 = 3.214,51

Construa a tabela passo a passo para verificar que as respostas estão corretas.



Tela 67
Módulo I - Sistema Francês de Amortização (SFA) ou Tabela Price

4 - Utilizando o Excel

Abrir o excel e seguir o procedimento

Tendo em vista a diversidade de operações que envolvem o SFA, torna-se impossível a construção de uma tabela única no Excel que seja aplicável a todos os contratos.

Desta maneira, iremos demonstrar um exemplo de planilha que pode ser utilizada em operações de empréstimo ou financiamento, sem carência e com até doze parcelas.


1. Abra uma pasta nova que depois poderá ser arquivada com o nome de Sistema Francês de Amortização

PLANILHA DE CÁLCULO DO SFA

2. Na célula B2 escreva: Sistema Francês de Amortização – Tabela Price

3. No intervalo B3:B5, digite os títulos “Valor Emprestado”; “Taxa” e “Número de Parcelas”.

4. No intervalo B6:F6, escreva os nomes das variáveis: “Período”; “Saldo Devedor”; “Amortização”; “Juros” e “Prestação”.

5. No intervalo B7:B19 indique os períodos de “0” a “12”.

6. Formate a célula C3 e o intervalo C7:F19 e como moeda, e a célula C4 como percentual, todos com duas casas decimais.

7. Na célula C7 escreva =C3, para que ela assuma o valor do empréstimo no período “0” e no intervalo D7:F7 preencha com “-“.

8. No intervalo C8:F8, registre as fórmulas de cálculo das variáveis “Saldo Devedor”; “Amortização”; “Juros” e “Prestação” utilizando a função lógica SE, ou então digite:

8.1 Na célula F8: =SE(B8<=$C$5;-PGTO($C$4;$C$5;$C$3;;0);"")

8.2 Na célula E8: =SE(B8<=$C$5;$C$4*C7;"")

8.3 Na célula D8: =SE(B8<=$C$5;F8-E8;"")

8.4 Na célula C8: =SE(B8<=$C$5;C7-D8;"")

9. As fórmulas acima estabelecem as relações lógicas da função. Analisando, por exemplo, a equação da célula 8, teremos:

SE for cumprida a condição lógica B8<=$C$5 (o sinal $ serve para fixar a célula)
ENTÃO calcule -PGTO($C$4;$C$5;$C$3;;0) e apresente o resultado na célula F8
SENÃO registre um rótulo vazio “” na célula F8

10. Caso deseje utilizar a função SE diretamente, coloque o cursor na célula F8 e selecione INSERIR, FUNÇÃO.

11. No campo CATEGORIA escolha: LÓGICA e no campo NOME escolha SE.

12. Tomando como base a equação 8.1, no campo Teste lógico insira B8<=$C$5; no campo Valor_se_verdadeiro, digite: -PGTO($C$4;$C$5;$C$3;;0) e no campo Valor_se_falso digite “”.

13. Ao final da digitação clique OK.

14. Repita os procedimentos de 8 a 11 para intervalo E8:C8, com base nas equações 8.2 a 8.4.

15. Copie o intervalo C8:F8 para o intervalo C9:F19.

Efetue a solução dos exercícios resolvidos no capítulo colocando as variáveis do enunciado nos campos “Valor Emprestado”; “Taxa” e “Número de Parcelas”.

A figura abaixo representa a planilha construída mediante os procedimentos descritos anteriormente:



Tela 68
Módulo I - Sistema Francês de Amortização (SFA) ou Tabela Price

Resumo

Os sistemas de amortização podem ser definidos como a forma pela qual uma determinada operação de empréstimo ou de financiamento será liquidada ao longo da vigência de um contrato.

A liquidação se dá mediante o pagamento de prestações (PMT), compostas por duas parcelas, uma referente aos juros (J) e outra ao valor da amortização (A). Enquanto os juros representam o custo contratual da operação, a amortização representa a parcela de capital que é devolvida a cada prestação paga. Assim, podemos dizer que, para qualquer sistema, a prestação será igual a soma dos juros e da amortização, ou seja:

PMT = J + A (1)

Outro componente dos sistemas de amortização é o saldo devedor (SD) que corresponde, a qualquer momento, ao valor emprestado menos as amortizações realizadas.

Um dos sistemas mais empregados pelo mercado é o chamado “Sistema Francês de Amortização” (SFA), também conhecido pelo nome de “tabela price”, cuja característica principal consiste em possuir prestações constantes, iguais e sucessivas.

Para representarmos uma operação baseada no SFA, devemos construir uma tabela contendo o valor das prestações (PMT), dos juros (J), das amortizações (A) e do saldo devedor (SD) para cada período.

Após o cálculo do valor das prestações pela fórmula do valor presente (PV) de séries uniformes postecipadas, onde:

PV=PMTXFPV(i,n)
(2)

sendo:

(3)

ou
(4)

Calculamos, para cada parcela:

a) os juros – aplicando a taxa do contrato sobre o saldo devedor do período anterior;

b) a amortização – mediante a subtração do valor da prestação pelos juros pago na parcela; e

c) o saldo devedor – subtraindo do saldo devedor do período anterior a parcela de amortização.



Tela 69
Módulo I - Sistema Francês de Amortização (SFA) ou Tabela Price

Outra maneira de calcularmos as variáveis do SFA, para cada parcela “t” do contrato é aplicarmos as seguintes equações:

Cálculo do valor das prestações


Cálculo do valor da amortização na t-ésima prestação

At = A1(1+i)t-1
(6)

Cálculo do saldo devedor na t-ésima prestação

SDt = PMTxFPV(i,n-t)
(7)

Cálculo da parcela de juros na t-ésima prestação

Jt = SDt-1xi
(8)


Unidade 5 Módulo 2
Tela 70
Módulo II - Outros Sistemas de Amortização
1 - Sistema de Amortização Constante - SAC

O Sistema de Amortização Constante – SAC, como o próprio nome indica, caracteriza-se por parcelas de amortização iguais (constantes) para todo o prazo da operação.

Dessa maneira, calcula-se o valor das amortizações (A) dividindo-se o valor do empréstimo ou financiamento (PV) pelo número de prestações do contrato (n), ou seja:

(1)

Calculada as amortizações, utilizamos os conceitos apresentados no módulo anterior para a elaboração do plano de pagamentos, onde:

SDt = SDt-1-A
(2)

Jt = SDt-1xi
(3)

PMT = A+J
(4)

O saldo devedor, equação (2), será o resultado da subtração da parcela de amortização (A) no saldo devedor do período anterior (SDt-1).

A equação (3) revela que os juros para uma determinada parcela (t) será dado pela aplicação da taxa de juros do contrato (i) sobre o saldo devedor da parcela anterior (SDt-1).

Por fim, na equação (4), verificamos que o valor da prestação (PMT) corresponde a parcela referente a amortização (A) mais os juros (J).

Exercício Resolvido



Tela 71
Módulo I - Sistema Francês de Amortização (SFA) ou Tabela Price

1) Determine o plano de pagamento de um empréstimo de 5.000,00, realizado pelo SAC, a uma taxa de juros de 2,5% ao mês, em 4 prestações mensais.

1º Passo: Calcule o valor das amortizações e preencha a tabela:


Mês
Saldo Devedor
Amortização
Juros
Prestação
0
5.000,00
-
-
-
1
....................
1.250,00
   
2
.....................
1.250,00
   
3
......................
1.250,00
   
4
....................
1.250,00
   

2º Passo: Conhecido o valor das amortizações, calcule o saldo devedor para cada período, incluindo os valores na tabela:

SDt = SDt-1-A

SD1 = SD0 – A
Þ SD1 = 5.000 – 1.250 Þ SD1 = 3.750

SD2 = SD1 – A Þ SD2 = 3.750 – 1.250 Þ SD2 = 2.500

SD3 = SD2 – A Þ SD3 = 2.500 – 1.250 Þ SD3 = 1.250

SD4 = SD3 – A Þ SD3 = 1.250 – 1.250 Þ SD4 = 0

Na tabela:

Mês
Saldo Devedor
Amortização
Juros
Prestação
0
5.000,00
-
-
-
1
3.750,00
1.250,00
   
2
2.500,00
1.250,00
   
3
1.250,00
1.250,00
   
4
0,00
1.250,00
   

3º Passo: A partir do valor dos saldos devedores, determine os juros pagos em cada prestação, colocando-os na tabela:

Jt = SDt-1xi

J1 = SD0 x i
Þ J1 = 5.000 x 0,025 Þ J1 = 125,00

J2 = SD1 x i
Þ J2 = 3.750 x 0,025 Þ J2 = 93,75

J3 = SD2 x i Þ J3 = 2.500 x 0,025 Þ J3 = 62,50

J4 = SD3 x i Þ J4 = 1.250 x 0,025 Þ J4 = 31,25

Na tabela:

Mês
Saldo Devedor
Amortização
Juros
Prestação
0
5.000,00
-
-
-
1
3.750,00
1.250,00
 125,00
 
2
2.500,00
1.250,00
 93,75
 
3
1.250,00
1.250,00
 62,50
 
4
0,00
1.250,00
 31,25
 


Tela 72
Módulo I - Sistema Francês de Amortização (SFA) ou Tabela Price

4º Passo: Conhecidos os valores da amortização (A) e dos juros (J), determine os valores referentes às prestações, finalizando a construção da tabela:

PMT = A + J

PMT1 = A + J1 Þ PMT1 = 1.250,00 + 125,00 Þ PMT1 = 1.375,00

PMT2 = A + J2 Þ PMT2 = 1.250,00 + 93,75 Þ PMT2 = 1.343,75

PMT3 = A + J3 Þ PMT3 = 1.250,00 + 62,50 Þ PMT3 = 1.312,50

PMT4 = A + J4 Þ PMT4 = 1.250,00 + 31,25 Þ PMT4 = 1.281,25

Finalizando a tabela:

Mês
Saldo Devedor
Amortização
Juros
Prestação
0
5.000,00
-
-
-
1
3.750,00
1.250,00
 125,00
 1.375,00
2
2.500,00
1.250,00
 93,75
 1.343,75
3
1.250,00
1.250,00
 62,50
 1.312,50
4
0,00
1.250,00
 31,25
 1.281,25


Tela 73
Módulo II - Outros Sistemas de Amortização
2 - Fórmulas de Cálculo do SAC

Os valores das variáveis A, SD, J e PMT, também podem ser encontrados mediante a aplicação das seguintes equações genéricas:

Cálculo das amortizações

(1)

Cálculo do saldo devedor na t-ésima prestação

(2)

Cálculo da parcela de juros na t-ésima prestação

(3)

Cálculo do valor da prestação na t-ésima prestação

(4)

Exercício Resolvido



Tela 74
Módulo I - Sistema Francês de Amortização (SFA) ou Tabela Price

2) Uma pessoa realiza um financiamento de R$ 3.000,00 à taxa de juros de 5% ao mês, para ser pago em 5 prestações mensais, com dois meses de carência para o primeiro pagamento. Com base nestas informações calcule

a) o valor das amortizações;
b) o saldo devedor após o pagamento da segunda parcela;
c) os juros pagos na terceira parcela, e d) o valor da quarta parcela.

Dado que o financiamento possui carência de dois meses, ou seja, não há pagamento de prestações, os juros devidos para estes períodos são incorporados ao capital e o cálculo das prestações se dá sobre o saldo devedor do período anterior ao pagamento da primeira parcela, no exemplo: R$ 3.307,50.

Visualizando na tabela:

Mês
Saldo Devedor
Amortização
Juros
Prestação
0
3.000,00
-
-
-
1
3.150,00
-
-
-
2
3.307,50
-
-
-
3
       
4
       
5
       
6
       
7
       

Utilizaremos as equações de cálculo direto das variáveis, ao invés de construirmos a tabela passo a passo.

a) Cálculo das amortizações:


b ) Cálculo do saldo devedor após o pagamento da segunda parcela:

SD2 = 1.984,50

c) Cálculo dos juros pagos na terceira parcela:

J3 = 99,23

d) Cálculo do valor da quarta parcela:

PMT4 = 727,65


Tela 75
Módulo II - Outros Sistemas de Amortização
3 - Sistema de Amortização Misto (SAM)

Desenvolvido originalmente para as operações de financiamento do Sistema Financeiro de Habitação – SFH, constitui-se da média aritmética entre o Sistema Francês (SFA) e o Sistema de Amortização Constante (SAC).

Para a elaboração do plano de pagamentos, devemos somar os valores obtidos pelo SAF e SAC e dividir o resultado por dois.

Exemplo:
Suponha um empréstimo no valor de R$ 1.500,00 realizado a uma taxa de juros de 3% ao mês, em quatro parcelas.

1 º Passo: Construir a tabela pelo SFA e pelo SAC, onde:

Pelo SFA:

Mês
Saldo Devedor
Amortização
Juros
Prestação
0
1.500,00
-
-
-
1
1.141,46
358,54
45,00
403,54
2
772,16
369,30
34,24
403,54
3
391,78
380,38
23,16
403,54
4
-0,01
391,79
11,75
403,54

Observação! O resíduo de -0,01, decorrente do arredondamento das parcelas, geralmente são abatidos na última prestação.

Pelo SAC:

Mês
Saldo Devedor
Amortização
Juros
Prestação
0
1.500,00
-
-
-
1
1.125,00
375,00
45,00
420,00
2
750,00
375,00
33,75
408,75
3
375,00
375,00
22,50
397,50
4
0,00
375,00
11,25
386,25

2º Passo: Dado que o SAM constitui-se na média aritmética do SAF e SAC, se pegarmos cada uma das células das tabelas dos dois sistemas, somarmos e dividirmos por dois encontraremos a tabela do SAM, onde:

Mês
Saldo Devedor
Amortização
Juros
Prestação
0
1.500,00
-
-
-
1
1.133,23
366,77
45,00
411,77
2
761,08
372,15
34,00
406,15
3
383,39
377,69
22,83
400,52
4
-0,01
383,40
11,50
394,90


Tela 76
Módulo II - Outros Sistemas de Amortização
Sistema Americano de Amortização – SAA

Neste sistema a devolução do capital emprestado é efetuada somente ao final da operação (na última parcela) e de uma só vez.

Como característica básica, o Sistema Americano de Amortização não prevê amortizações intermediárias. Durante o período do empréstimo, apenas os juros são pagos periodicamente.

Exemplo:

Construa o plano de pagamento de um empréstimo no valor de R$ 8.000,00 realizado a uma taxa de juros de 4% ao mês, em quatro parcelas, sabendo que o sistema de amortização utilizado é o SAA.

Mês
Saldo Devedor
Amortização
Juros
Prestação
0
8.000,00
-
-
-
1
8.000,00
-
320,00
320,00
2
8.000,00
-
320,00
320,00
3
8.000,00
-
320,00
320,00
4
0,00
8.000,00
320,00
8.320,00

Conforme podemos verificar na tabela acima, durante a vigência da operação o devedor realiza o pagamento periódico apenas dos juros gerados pelo contrato que, no exemplo, é de 4% sobre os R$ 8.000,00. Na última parcela, além dos juros do período (R$ 320,00) é feita a liquidação do principal, no caso R$ 8.000,00, que, somados, irão resultar numa parcela de R$ 8,320,00.



Tela 77
Módulo II - Outros Sistemas de Amortização

4 - Utilizando o Excel

Abrir o Excel e seguir o procedimento

A exemplo do SFA, no SAC iremos demonstrar um exemplo de planilha que pode ser utilizada em operações de empréstimo ou financiamento, sem carência e com até doze parcelas.

Dada a facilidade de cálculo das operações do SAA, não desenvolveremos planilha para este sistema. Além disso, lembramos que para o SAM deveremos inicialmente construir as tabelas do SFA e do SAC e depois proceder ao cálculo da média aritmética simples para cada variável, a fim de construir a tabela do SAM.

1. Abra uma pasta nova que depois poderá ser arquivada com o nome de Sistema de Amortização Constante

PLANILHA DE CÁLCULO DO SAC

2. Na célula B2 escreva: Sistema de Amortização Constante

3. No intervalo B3:B5, digite os títulos “Valor Emprestado”; “Taxa” e “Número de Parcelas”.

4. No intervalo B6:F6, escreva os nomes das variáveis: “Período”; “Saldo Devedor”; “Amortização”; “Juros” e “Prestação”.

5. No intervalo B7:B19 indique os períodos de “0” a “12”.

6. Formate a célula C3 e o intervalo C7:F19 e como moeda, e a célula C4 como percentual, todos com duas casas decimais.

7. Na célula C7 escreva =C3, para que ela assuma o valor do empréstimo no período “0” e no intervalo D7:F7 preencha com “-“.

8. No intervalo C8:F8, registre as fórmulas de cálculo das variáveis “Saldo Devedor”; “Amortização”; “Juros” e “Prestação” utilizando a função lógica SE, ou então digite:

8.1 Na célula F8: =SE(B8<=$C$5;D8+E8;"")

8.2 Na célula E8: =SE(B8<=$C$5;$C$4*C7;"")

8.3 Na célula D8: =SE(B8<=$C$5;$C$7/$C$5;"")

8.4 Na célula C8: =SE(B8<=$C$5;C7-D8;"")

9. As fórmulas acima estabelecem as relações lógicas da função. Analisando, por exemplo, a equação da célula F8, teremos:

SE for cumprida a condição lógica B8<=$C$5 (o sinal $ serve para fixar a célula)
ENTÃO calcule “D8+E8” e apresente o resultado na célula F8
SENÃO registre um rótulo vazio “” na célula F8

10. Caso deseje utilizar a função SE diretamente, coloque o cursor na célula F8 e selecione INSERIR, FUNÇÃO.

11. No campo CATEGORIA escolha: LÓGICA e no campo NOME escolha SE.

12. Tomando como base a equação 8.1, no campo Teste lógico insira B8<=$C$5; no campo Valor_se_verdadeiro, digite: D8+E8 e no campo Valor_se_falso digite “”.

13. Ao final da digitação clique OK.

14. Repita os procedimentos de 8 a 11 para intervalo E8:C8, com base nas equações 8.2 a 8.4.

15. Copie o intervalo C8:F8 para as linhas de 9 a 19.

Efetue a solução dos exercícios resolvidos no capítulo colocando as variáveis do enunciado nos campos “Valor Emprestado”; “Taxa” e “Número de Parcelas”.

A figura abaixo representa a planilha construída mediante os procedimentos descritos anteriormente:



Tela 78
Módulo II - Outros Sistemas de Amortização

Resumo

Abordamos neste módulo mais três sistemas de amortização empregados em operações de empréstimos e financiamentos realizados no mercado:

O Sistema de Amortização Constante – caracterizado por possuir a parcela referente à amortização constante durante toda a vigência do contrato.

Neste sistema, calculamos primeiramente o valor relativo às amortizações aplicando a equação:

(1)

Onde: “PV” é o valor do empréstimo ou financiamento e “n” o número de parcelas.

As demais variáveis do plano de pagamento: Saldo devedor (SD), Juros (J) e prestação (PMT) podem ser obtidos mediante o uso das equações aprendidas no módulo anterior que tratou do SFA, ou pelo uso das seguintes fórmulas:

Para o cálculo do saldo devedor na t-ésima prestação

(2)

Para o cálculo da parcela de juros na t-ésima prestação:

(3)

Para o cálculo do valor da t-ésima prestação;

(4)

Quanto aos dois últimos sistemas aprendidos: SAM (Sistema de Amortização Misto) e o SAA (Sistema Americano de Amortização), enquanto o primeiro caracteriza-se por ser uma média aritmética dos valores encontrados para o SFA e o SAC, o segundo revela-se pela cobrança apenas dos juros durante todo contrato, sendo o capital pago somente na última parcela.