Unidade 4 Módulo 1
Tela 1
Módulo 01 – Conceito de Custo de Capital
1 - Investimentos

Pense na estrutura gráfica do balanço patrimonial de uma empresa. Atenha-se ao ativo. Sabendo-se que ele representa os investimentos, as aplicações ou uso de recursos, pode-se imaginá-lo dividido em duas partes, a saber:

  • Curto prazo.
  • Longo prazo.

Você sabe que os investimentos alocados no ativo permanente são, por natureza, de maturação em longo prazo. Por exemplo, uma empresa siderúrgica opera num setor que exige investimentos elevados no parque fabril, assim como, uma empresa do setor de celulose. Esta, além do parque fabril, certamente, deverá se preocupar com investimentos significativos em grandes extensões de terras, para o plantio de árvores, com vistas à extração da sua principal matéria-prima.

Acredita-se que os investimentos em ativos fixos são movidos, em sua maior parte, pelas expectativas de comportamento da economia. Tais decisões de investimentos pelas organizações produzem efeito multiplicador significativo em toda a economia. Quando uma empresa resolve ampliar a sua capacidade instalada, na maior parte das vezes, faz com que uma série de outras empresas entre em movimento para atender a sua demanda.



Tela 2
Módulo 01 – Conceito de Custo de Capital

O que leva as organizações a investir em projetos de maturação de médio e longo prazo e, onde, na maioria das vezes, esses investimentos se concentram? Certamente, por trás de qualquer decisão de investimento está a maximização da riqueza do acionista.

Confira alguns exemplos.

Para Gitman (2004), as empresas costumam fazer uma série de investimentos de médio e longo prazo, porém, a mais comum, em empresas industriais, localiza-se em ativos imobilizados, que incluem imóveis (terrenos), instalações e equipamentos. Referidos ativos muitas vezes são denominados ativos rentáveis, porque geralmente fornecem a base para a geração de lucro e valor à empresa.

Os desembolsos realizados, com expectativas de geração de benefícios de médio e longo prazo, são considerados pelo autor, como dispêndio de capital. Por sua vez, os desembolsos de recursos operados pelas organizações, que resultam em benefícios obtidos em períodos inferiores, são considerados como dispêndio corrente.

Acredita-se que a decisão de investimento de longo prazo seja a mais importante que o administrador financeiro tenha que operar.

Imagine um investimento cuja vida útil seja de doze anos. Por doze anos, as decisões na empresa serão afetadas por essa aplicação. Além da projeção de vendas, os cuidados com treinamento de pessoal, aquisição de matéria-prima, assistência técnica, atualização tecnológica, entre outros, certamente irá fazer parte do dia-a-dia da empresa.



Tela 3
Módulo 01 – Conceito de Custo de Capital

Em artigo publicado no jornal Valor Econômico de 23/09/2010, página B14, encontramos uma entrevista com o presidente do Conselho de Administração da Cosan Açúcar e Álcool, Sr Rubens Ometto. A capacidade de produção do grupo Cosan em setembro de 2009 era de moer 63 milhões de toneladas ano de cana de açúcar. Na mesa de planejamento da Cosan estão sendo consideradas três estratégias:

• projetos greenfields (usinas construídas a partir do zero);
brownfields (ampliação) e
• aquisições.

Somente de “greenfields”, a Cosan tem quatro projetos de usinas – duas em Goiás, uma em Naviraí (MS) e uma em Andradina (SP). O plano que está sendo desenvolvido visa superar a marca de 100 milhões de toneladas de capacidade instalada nos próximos anos. “Podemos ir para 100 milhões, 110 milhões de toneladas de moagem. Dinheiro para nós não é problema”, afirmou Ometto, referindo-se à geração de caixa esperada com as operações sucroenergéticas, de logística (Rumo) e de distribuição de combustíveis, que se agigantou com a associação com a Shell. “Essa parceria também reduziu substancialmente nosso endividamento que está zerado”, disse Ometto.
Sobre os projetos greenfields, cada unidade de Goiás terá capacidade para moer oito milhões de toneladas de cana. As outras duas têm potencial para agregar mais dez milhões de toneladas.

No relatório anual da diretoria da Companhia Vale do Rio Doce (CVRD) referente ao exercício social encerrado em 31/12/2003 encontramos a seguinte informação: “Foi anunciado em janeiro programa de investimentos de US$ 1,815 bilhão para 2004, com dispêndios em crescimento – exploração mineral e projetos - de US$ 1,202 bilhão, e stay-in-business capex – manutenção, modernização, proteção ao meio ambiente, tecnologia da informação - de US$ 613 milhões. O montante alocado a projetos novos (greenfield) e à ampliação de capacidade de projetos já existentes (brownfield) é de US$ 1,138 bilhão. As iniciativas mais importantes se dedicam à expansão de capacidade produtiva de minério de ferro, bauxita, alumina e potássio, à conclusão do projeto de cobre do Sossego, ao início do desenvolvimento do projeto 118, à geração de energia elétrica e à aquisição de vagões e locomotivas para o transporte de minério de ferro e de carga geral”.
No relatório anual da diretoria da Companhia Vale do Rio Doce referente ao exercício social encerrado em 31/12/2004 encontramos a seguinte informação: “Para 2005, a Companhia anunciou orçamento de investimentos no valor de US$ 3,3 bilhões. Do total orçado, 22,1% serão alocados à sustentação dos negócios já existentes e 77,9% para investimentos em crescimento orgânico. O valor destinado para crescimento orgânico é composto por US$ 2,221 bilhões a serem investidos em projetos brownfield e greenfield e US$ 375 milhões em pesquisa e desenvolvimento. Esse é o maior capex, tanto em termos nominais quanto em termos reais, da história da CVRD. No período 2003-2005, 74% do valor total dos investimentos da Companhia se destinam à promoção do crescimento orgânico, projetos e pesquisa e desenvolvimento”.

E o que significa crescimento orgânico? Suponha que a capacidade de produção de uma determinada empresa atualmente seja igual a 100 pares de calçados/dia. Essa produção é alcançada pela utilização de dez máquinas. A empresa poderia aumentar a sua capacidade de produção para 150 pares de calçados/dia de duas maneiras:

a) através da compra de três novas máquinas, com isso a empresa ficaria com treze máquinas;
b) através da compra de uma empresa concorrente.

Qual das duas opções caracteriza crescimento orgânico? A primeira, ou seja, crescimento orgânico é o aumento da capacidade de produção numa empresa via investimento direto no aumento da capacidade de produção interna no produto ou serviço.



Tela 4
Módulo 01 – Conceito de Custo de Capital

2 - Projeto: Definição e tipos de decisão

O que é um projeto?

Segundo Damodaran (2004) um projeto é definido de forma ampla para incluir qualquer decisão que vá resultar no uso dos escassos recursos de uma empresa. Assim, tudo, desde decisões sobre aquisições multibilionárias a decisões sobre que sistema de ar-condicionado usar em um prédio, encaixa-se na definição de projeto.


Segundo Lemes Júnior, Rigo e Cherobim (2002), devem ser considerados alguns aspectos:

  • Decisões de substituição: envolvem reposição ou atualização tecnológica ou mesmo, de redução de custos. Normalmente dizem respeito a novas máquinas, equipamentos, computadores, softwares, ou equivalentes, com a função de atualização ou inovação tecnológica.
  • Decisões de expansão: envolvem a compra de novas instalações, máquinas, equipamentos ou equivalentes, com a finalidade de aumentar a produção, expandir vendas, ampliar a participação de mercado, expandir área geográfica.
  • Projetos independentes - são aqueles cujos fluxos de caixa não estão relacionados ou independem um do outro; a aceitação de um deles não exclui a consideração dos demais; não ocorre escassez de recursos e, evidentemente, os projetos devem satisfazer algum critério mínimo estabelecido pela empresa. Exemplo.

Por exemplo, suponha uma empresa capaz de operar três investimentos simultaneamente:

a) a substituição das empilhadeiras que operam no chão de fábrica;
b) a compra de nova frota de veículos para a diretoria;
c) a instalação de novo sistema de esteiras rolantes no recebimento de matérias-primas.

Nesse caso, a aceitação do primeiro projeto não elimina a consideração dos demais, isto é, os três projetos poderiam ser implantados.



Tela 5
Módulo 01 – Conceito de Custo de Capital
  • Projetos mutuamente excludentes - são os que possuem a mesma função e, por isso, competem entre si. Se um projeto for levado adiante, o outro deve ser rejeitado. Por exemplo, imagine uma empresa interessada em operar com uma nova linha de produção, a saber: exportação de calçados femininos para os Estados Unidos. Supondo-se que a empresa possa escolher entre:

    a) colocar a unidade em operação, comprando os equipamentos e treinando os seus funcionários;

    b) pura e simplesmente, adquirindo uma empresa que já esteja operando nesse mercado.

    Assim, aceitar uma opção implicaria em rejeitar a outra.

  • Fundos ilimitados versus racionamento de capital - Segundo Gitman (2004), a disponibilidade de fundos para dispêndios de capital afeta o ambiente decisório da empresa. Se a empresa possuir fundos ilimitados para investimento, é muito simples tomar decisões sobre aplicações de capital. Todos os projetos independentes que fornecem retornos superiores a um nível predeterminado poderiam ser aceitos. A maioria das empresas não se encontra nessa situação; ao contrário, opera sob racionamento de capital. Isso quer dizer que as empresas dispõem de quantia fixa para fins de dispêndio de capital e que inúmeros projetos irão competir por essa quantia limitada. A empresa deve, então, racionar seus fundos, alocando-os aos projetos que irão maximizar o valor das suas ações.
    Segundo Damodaran (2004) o racionamento de capital acontece quando uma empresa é incapaz de investir em projetos que obtenham retornos maiores que as taxas de corte. Empresas podem enfrentar restrições de capital porque não têm capital em mãos ou lhes falta capacidade para levantar o capital necessário para financiar esses projetos.
  • Abordagem de aceitar-rejeitar versus abordagem de classificação - Segundo Lemes Júnior, Rigo e Cherobim (2002), a abordagem de aceitar-rejeitar é uma das formas de classificação usualmente aplicadas, quando os fundos são ilimitados. Consiste em simples aprovação ou rejeição das propostas. Já a abordagem de classificação implica classificar os projetos conforme algum índice, como a taxa interna de retorno, que permite que sejam definidos parâmetros para a escolha do melhor projeto. Segundo Gitman (2004) somente os projetos aceitáveis deveriam ser classificados. A classificação é útil para selecionar o “melhor” de um grupo de projetos mutuamente excludentes e a avaliação de projetos, para levar em conta a existência de racionamento de capital.


Tela 6
Módulo 01 – Conceito de Custo de Capital
3 - Fases do Processo de Orçamento de Capital

Na opinião de Lemes Júnior, Rigo e Cherobim (2002), o processo de orçamento de capital é muito rico e complexo; sua correta utilização depende da visão dos dirigentes da empresa e da forma como esse processo é incentivado e apoiado. Consiste em cinco fases:

 

 

 

 

 



O que faz uma empresa ser competitiva é a qualidade dos seus clientes. Quanto mais exigentes, maiores as chances da empresa no mercado. Normalmente, as propostas de investimento surgem de contatos com os clientes. A capacidade de ouvir o cliente, assim como de aceitar sugestões do próprio quadro de funcionários é um dos fatores determinantes para o desenvolvimento de novos produtos ou aprimoramento dos existentes. Há empresas que estimulam e premiam novas idéias. Exemplo



O Grupo Tramontina, cuja sede localiza-se no Rio Grande do Sul, além do mercado nacional, opera com seus 14 mil itens em mais de 100 países, em todos os continentes. Ali, todos os produtos têm a marca do Grupo, que tem, como um dos seus lemas prediletos, valorizar os seus talentos e suas idéias.



Após a geração de propostas, devem-se definir as alternativas viáveis a serem analisadas segundo as estratégias globais da empresa. Qualquer decisão a ser tomada implica a escolha dentre duas ou mais alternativas viáveis considerando os aspectos econômicos, tecnológicos, ambientais, éticos etc.


A tomada de decisão implica o comprometimento de recursos para o projeto. As decisões de investimento se baseiam em previsões sobre o futuro e, como tais previsões podem não confirmar-se, é fundamental que os analistas considerem as consequências de desvios. Uma forma de reduzir riscos é trabalhar com diferentes cenários, aplicando probabilidades aos fluxos de caixa.



Após sua aprovação, uma das fases críticas de qualquer projeto é a implementação, a qual exige a Gestão de Projetos, que será mais ou menos complexa, dependendo da natureza e do porte do projeto.


Essa fase abrange o período de implantação do projeto físico, de forma a assegurar que as premissas que o recomendaram sejam efetivadas e até extrapoladas.



Tela 7
Módulo 01 – Conceito de Custo de Capital
4 - Interpretando um investimento no imobilizado

Imagine uma empresa que, após uma excelente oportunidade de negócio obtida numa das maiores feiras internacionais, ocorrida na Alemanha, conseguiu desenvolver um projeto que viabiliza uma nova linha de produto, dentro do seu negócio.

O investimento exige a aquisição de uma nova máquina. Pense um pouco, se tal máquina for instalada, a capacidade de produção irá aumentar. Supondo-se que antes a fábrica produzisse 100 unidades, com a nova máquina, a produção poderia alcançar 120 unidades. Logo, de imediato, a receita de vendas iria aumentar.

Toda vez que a receita de vendas é alterada, o capital de giro operacional líquido tende a ser afetado. Por quê? O nível dos estoques tem forte relação de dependência com o faturamento, o que poderia ser estendido às contas a receber, aos fornecedores, assim como, à rubrica “caixa/bancos conta movimento”. Mesmo que a razão de cada uma dessas rubricas se mantenha estável quanto às vendas líquidas, em termos monetários, na maior parte das vezes, ocorre alteração no ativo realizável operacional líquido.

Sabe-se que a diferença entre o ativo circulante e o passivo circulante denomina-se capital circulante líquido (CCL). Em orçamento de capital se faz necessário entender que nem todas as contas do ativo circulante e do passivo circulante são consideradas contas operacionais. Por exemplo, as contas Aplicação Financeira (Ativo) e a conta Empréstimos Bancários (Passivo Exigível) não são contas operacionais. É normal em muitas demonstrações financeiras encontrarmos, por exemplo, Contas a Receber no ativo realizável de longo prazo. Como esta é uma conta operacional - porque está ligada diretamente a atividade fim da empresa - para efeito de cálculo do investimento inicial, em orçamento de capital, deverá fazer parte do cálculo no momento da apuração da variação no ativo realizável operacional líquido.


Diante de empresas onde apenas contas operacionais do ativo circulante (contas a receber, estoque, adiantamento a fornecedores, impostos a recuperar etc.) e do passivo circulante (fornecedores, salários a pagar, encargos sociais a pagar, impostos a recolher, adiantamento de clientes etc.) se fizerem presente, para efeito de orçamento de capital, a diferença entre o AC operacional e o PC operacional será chamada variação no capital de giro operacional líquido.

Logo, o investimento inicial em maquinário poderá trazer em seu bojo o incremento no capital de giro operacional líquido; portanto, o investimento inicial do projeto poderá contemplar o somatório do investimento em ativo fixo mais a variação no capital de giro operacional líquido.



Tela 8
Módulo 01 – Conceito de Custo de Capital
O projeto, assim como exige desembolsos de caixa, deve ser eficiente para operar com futuras gerações de caixa que compensem o investimento, isto é, de preferência, aumente a riqueza do acionista. Como isso acontece?

Entende-se que o reflexo do ativo está no Demonstrativo de Resultado do Exercício (DRE). O equipamento novo, caso seja confirmada a aceitação do seu produto pelos consumidores, deverá gerar receita operacional; mas também gera:

  • custo de produção
  • despesa operacional
  • imposto de renda/contribuição social

Considere-se ainda que exista um lançamento contábil, muito importante, que não irá passar pelo caixa, mas que irá interferir no resultado contábil, pois refere-se a depreciação/amortização/exaustão.



Tela 9
Módulo 01 – Conceito de Custo de Capital
Como se mede a eficiência de um projeto? Entende-se que é por meio do retorno que ele proporciona, via incremento da riqueza para o acionista. Como?

Supondo-se que a empresa inicie o projeto com o desembolso de “$X” e, durante a vida útil do projeto, as entradas de caixa venham a gerar um valor “$Y”. Considerando-se que esse valor, por meio de uma taxa de desconto especificada, levando-se todos os valores a valor presente, tanto da(s) saída(s) quanto da(s) entrada(s) de caixa, promova o incremento de riqueza para a empresa, o valor de “Y” atualizado deveria ser superior ao valor de “X”, também atualizado.

Como visualizar isso? Por meio do fluxo de caixa operacional que você irá apurar através da DRE (Demonstração de Resultado do Exercício). De que forma? Imagine uma DRE para um projeto específico. O fluxo de caixa operacional, em cada ano, pode ser calculado por meio de:

Receita operacional líquida

(-) CPV ou CVM

Resultado Bruto

(-) Despesas operacionais

(-) Depreciação/Amortização/Exaustão

Resultado Operacional (EBIT)

(-) Imposto de Renda/Contribuição Social

Resultado Operacional Líquido (NOPLAT)

(+) Depreciação

Fluxo de caixa operacional

Observação:
EBIT - Earning before interest and taxes
NOPLAT – Net operating less adjusted taxes



Tela 10
Módulo 01 – Conceito de Custo de Capital
O investimento do projeto teve, na aquisição e na instalação do equipamento, determinado valor que exigiu desembolso de caixa.

Você já sabe que o valor desse investimento, de acordo com a legislação do imposto de renda, poderá ser depreciado, de acordo com a natureza do equipamento, por determinado período de tempo. Por exemplo, cinco anos.

Para facilitar, não irá ocorrer depreciação acelerada; portanto, nos próximos cinco anos, aquele valor contabilizado como investimento inicial, referente ao equipamento em si (valor de aquisição mais gasto de instalação) irá experimentar um lançamento equivalente a vinte por cento do valor contábil.

Você já sabe que esse valor, referente à depreciação, é contabilizado como custo/despesa, na DRE, tendo como contrapartida, a crédito, a conta Depreciação Acumulada; na verdade, uma conta redutora de ativo. Logo, o valor da depreciação a ser lançado na DRE, irá aparecer como custo/despesa, nos próximos cinco anos, mas, tal valor não irá passar pelo caixa da empresa, isto é, não sairá do caixa. Portanto, o lucro líquido do exercício não espelha a realidade em termos de geração de caixa. No custo do produto vendido (CPV), assim como, nas despesas operacionais, existe uma parcela que se refere à depreciação, lançada como custo/despesa, mas que não passou pelo caixa.

Você já sabe que, além da depreciação, amortização e exaustão existem outros lançamentos contábeis que, para atender ao regime de competência, são lançados como despesa ou receita. Todavia, somente no futuro deverão passar pelo caixa, como entrada ou como saída. Para efeito deste estudo, o foco será exclusivamente na rubrica Depreciação. Logo, somando-se ao “Resultado Operacional líquido” o valor da despesa de depreciação encontra-se o fluxo de caixa operacional.

Segundo Assaf Neto (2003, p.288), a avaliação de investimentos propõe que os fluxos de caixa a serem considerados no processo contenham, em termos incrementais, exclusivamente valores operacionais. Com isso, devem ser ignorados todos aqueles fluxos financeiros oriundos principalmente das amortizações dos empréstimos e financiamentos contraídos, e respectivos encargos de juros. É necessário que se ressalte que o valor de um investimento não deve estar vinculado à forma como ele é financiado, mas depender exclusivamente do volume e distribuição dos resultados operacionais esperados. É a qualidade dos investimentos, e não a estrutura de financiamento do ativo, que determina a riqueza e, conseqüentemente, a atratividade econômica de um investimento.

Dessa forma, os fluxos de caixa para as decisões de investimentos são, pela teoria da administração financeira, apurados em valores líquidos (após a dedução do Imposto de renda/Contribuição Social) e admitindo-se que o projeto em avaliação seja integralmente financiado por capital próprio (não há uso de capital de terceiros).



Depreciação

É a perda ou redução de valor dos móveis e utensílios, máquinas, equipamentos, veículos, ferramentas e demais ativos imobilizados, pelo desgaste ou pela obsolescência tecnológica.
Lemes Júnior, Rigo e Cherobim (2002, p. 175 e 176)



Amortização

É o ato de abater despesas pré-operacionais realizadas na vida de um projeto. Exemplo: amortização de despesas pré-operacionais de organização de uma determinada empresa ou projeto, amortização de despesas realizadas em imóveis de terceiros para adequação às finalidades do projeto. Lemes Júnior, Rigo e Cherobim (2002,p.175 e 176)



Exaustão

É o ato ou efeito de esgotamento das reservas físicas de uma mina ou jazida. Exemplo: utilização de 20% das reservas de calcário de uma determinada jazida; utilização de 5% das reservas de uma mina de carvão mineral. Lemes Júnior, Rigo e Cherobim (2002, p. 175 e 176)



Tela 11
Módulo 01 – Conceito de Custo de Capital

Exemplo

1) A Empresa JJ está atualmente analisando a compra de uma nova máquina que custa $3.000.000,00 e exige $90.000,00 para instalação. A compra dela irá resultar em um aumento no capital de giro operacional líquido de $300.000,00, para atender à expansão do nível das operações. A duração do projeto, para fins de avaliação econômica, é de cinco anos, prevendo-se ser nulo o valor residual dos bens fixos. A alíquota do Imposto de Renda a ser aplicada sobre os resultados líquidos incrementais é de 25%. A recuperação do investimento em giro irá ocorrer no 5º ano. Deverá ser considerado:

(a) o projeto é financiado integralmente por capital próprio;

(b) o projeto incorpora também recursos de terceiros em sua estrutura de financiamento. O investimento é financiado da seguinte forma: a empresa teria optado por financiar 50% mediante o levantamento de um empréstimo bancário sem carência. Os encargos nominais (juros) da dívida atingem uma taxa de 31% ao ano. O prazo do financiamento é também de cinco anos, e as prestações são calculadas pelo sistema de amortização constante (SAC) e pagas ao final de cada período.

Estão previstos os seguintes resultados operacionais para o investimento ao longo dos cinco anos:

($ 000)

Valores incrementais
  Ano 1 Ano 2 Ano 3 Ano 4 Ano 5
Receitas de vendas 6.000 6.600 7.392 8.870 9.225
Custo de produção (CPV) (3.300) (3.597) (3.991) (4.745) (4.889)
Despesas operacionais (1.500) (1.617) (1.774) (1.865) (1.925)

Calcule o fluxo de caixa operacional do projeto.


Resolução (a)
Resolução (b)



a) o investimento é financiado integralmente por recursos próprios


Inicialmente você deverá calcular o valor do investimento no ativo imobilizado, com isso, você terá condições de calcular o valor da depreciação anual.
Gasto de compra: $3.000.000,00
Gasto de instalação: $90.000,00
Gasto no ativo permanente: $3.090.000,00
O equipamento será depreciado em cinco anos, logo, $3.090.000/5= $618.000,00/ano
Logo a seguir você deverá calcular o valor do investimento inicial:
Valor do investimento no ativo permanente: $3.090.000,00
Variação no capital de giro operacional líquido: $300.000,00
Investimento inicial: $3.390.000,00


Agora você irá operar a projeção de resultados operacionais para o período do investimento:

($ 000)

Ano 1
Ano 2
Ano 3
Ano 4
Ano 5
Receita de vendas
6.000
6.600
7.392
8.870
9.225
CPV
(3.300)
(3.597)
(3.991)
(4.745)
(4.889)
Resultado Bruto
2.700
3.003
3.401
4.125
4.336
Despesas operacionais
(1.500)
(1.617)
(1.774)
(1.865)
(1.925)
Despesas de depreciação
( 618)
( 618)
( 618)
( 618)
( 618)
EBIT
582
768
1.009
1.642
1.793
Provisão para IR (25%)
(145)
(192)
(252)
(411)
(448)
NOPLAT
437
576
757
1.231
1.345

O próximo passo será destinado para o cálculo do fluxo de caixa operacional:

($ 000)

 
Ano 0
Ano 1
Ano 2
Ano 3
Ano 4
Ano 5
Investimento total
(3.390)
-
-
-
-
-
Resultado Operacional líquido
-
437
576
757
1.231
1.345
Depreciação
-
618
618
618
618
618
Recuperação do capital de giro operacional líquido
-
-
-
-
-
300
Fluxo de caixa do projeto
(3.390)
1.055
1.194
1.375
1.849
2.263

Você deverá, agora, elaborar um diagrama para o fluxo de caixa operacional

Diagrama do Fluxo de Caixa (DFC)

O passo seguinte seria o cálculo da taxa interna de retorno (TIR ou IRR). O ideal seria você fazer este cálculo com uma máquina financeira. Que tal a HP 12 C?

Com base no DFC você irá operar a máquina:

Observação: os valores na máquina, neste exemplo, poderiam ser calculados conforme está no DFC, i.e., ao invés de $3.390.000,00, você irá operar com $3.390; ao invés de $1.055.000,00, operar com $1.055, e assim por diante.

Logo, a taxa de retorno do projeto é igual a 30,14424312% ao ano.
Este projeto seria aceito caso o seu custo médio ponderado de capital, CMPC ou WACC, fosse menor do que o retorno oferecido pelo projeto, pois, só neste caso, estaria ocorrendo o incremento da riqueza do acionista.



b) o investimento é financiado da seguinte forma: a empresa teria optado por financiar 50% mediante o levantamento de um empréstimo bancário sem carência. Os encargos nominais (juros) da dívida atingem uma taxa de 31% ao ano. O prazo do financiamento é também de cinco anos, e as prestações são calculadas pelo sistema de amortização constante (SAC) e pagas ao final de cada período.

Resolução:

Operar a projeção de resultados operacionais para o período do investimento:

($ 000)

Ano 1
Ano 2
Ano 3
Ano 4
Ano 5
Receita de vendas
6.000
6.600
7.392
8.870
9.225
CPV
(3.300)
(3.597)
(3.991)
(4.745)
(4.889)
Resultado Bruto
2.700
3.003
3.401
4.125
4.336
Despesas operacionais
(1.500)
(1.617)
(1.774)
(1.865)
(1.925)
Despesas de depreciação
( 618)
( 618)
( 618)
( 618)
( 618)
Resultado Operac. Bruto l
582
768
1.009
1.642
1.793
Provisão para IR (25%)
(145)
(192)
(252)
(411)
(448)
Resultado Operac. Líquido
437
576
757
1.231
1.345
Despesas financeiras
(525)
(420)
(315)
(210)
(105)
Economia de IR s/DF
131
105
79
52
26

Resultado Líquido

43
261
521
1.073
1.266

Com relação à planilha de amortização de financiamento, observa-se:

Não esqueça de que o financiamento corresponde a 50% do investimento inicial, a saber: $3.390.000,00/2 = $1.695.000,00. No Sistema de Amortização Constante (SAC), a fórmula da amortização é:

Amortização = PV/n. Logo, $1.695.000,00/5 = $339.000,00. Quanto aos juros, a fórmula é: Jt = PV/n . (n –t + 1) . i. Na verdade, você já sabe, aplica a taxa nominal de juros sobre o saldo devedor do período anterior, por exemplo, para o Ano 1: $1.695.000,00 x 0,31 = $525.450,00; para o Ano 4: $678.000,00 x 0,31 = $210.180,00. Quanto ao valor da prestação, não esqueça da fórmula: PMT = PV/n . [1 + (n –t + 1) . i]. Quanto ao saldo devedor, não esqueça que ele é decrescente em PA (Progressão Aritmética) pelo valor constante da amortização.

Com relação ao cálculo do fluxo de caixa operacional do projeto, você irá observar que ele não poderá ser diferente daquele desenvolvido quando da hipótese de que o projeto seria financiado por recursos próprios. Por quê? Muito simples, o modelo de avaliação de investimento opera com valores exclusivamente operacionais, portanto, as despesas financeiras, como juros e outros encargos financeiros (não confundir com a amortização) não são despesas operacionais, pois esses valores não provêm de decisões ativas (operacionais), mas do exigível (passivo) da empresa.

($ 000)

 
Ano 0
Ano 1
Ano 2
Ano 3
Ano 4
Ano 5
Resultado operacional bruto
-
582
768
1.009
1.642
1.793
Provisão para IR (25%)
-
(145)
(192)
(252)
(411)
(448)
Resultado Operac. Líquido
-
437
576
757
1.231
1.345
Despesas financeiras
-
(525)
(420)
(315)
(210)
(105)
Economia de IR s/DF
-
131
105
79
52
26
Resultado Líquido
43
261
521
1.073
1.266
 
Investimento total
(3.390)
-
-
-
-
-
Resultado Operacional Líquido
-
437
576
757
1.231
1.345
Depreciação
-
618
618
618
618
618
Recuperação do capital de giro operacional líquido
-
-
-
-
-
300
Fluxo de Caixa do projeto
(3.390)
1.055
1.194
1.375
1.849
2.263

Portanto, o investimento promove os mesmos resultados operacionais, independentemente de ser financiado por capital próprio ou de terceiros.



Tela 12
Módulo 01 – Conceito de Custo de Capital

2) Uma empresa está avaliando a aquisição de um ativo (equipamento) que custa $600 e exige $12 de gastos de instalação. Será necessário um aumento de $17, de forma permanente, no capital de giro operacional líquido. A duração prevista do equipamento, para fins de avaliação econômica, é de oito anos. Determinar o valor do investimento inicial, assim como o valor da depreciação anual.

Solução:
- Cálculo do investimento inicial:

Gasto com a aquisição do ativo imobilizado: $600
Gasto com instalação do equipamento : $ 12
Variação no capital de giro operacional líquido: $ 17
Investimento inicial $629

- Cálculo do custo/despesa de depreciação anual:
Valor do investimento (equipamento)/duração prevista do equipamento
($600 + $12)/8 = $76,5.

3) Admita que uma empresa esteja avaliando uma proposta de investimento visando à expansão de sua atividade. Os principais dados do projeto são apresentados a seguir:

a) investimento total de $1000.000,00, os quais serão consumidos integralmente no início do projeto (momento zero). Desse montante, 85% serão aplicados em ativos fixos e 15% na variação do capital de giro operacional líquido;

b) a duração prevista do projeto, para fins de avaliação econômica, é de quatro anos, prevendo-se ser de $250.000,00, antes dos impostos, o valor de venda do equipamento. A empresa espera recuperar o investimento na variação do capital de giro operacional líquido.

c) a alíquota do imposto de renda/contribuição social tanto para ganhos normais quanto para ganhos de capital será de 33%;

d) estão previstos os seguintes resultados operacionais para o investimento ao longo dos quatro anos:

($ 000)

e) os resultados líquidos incrementais anuais serão integralmente distribuídos aos acionistas. Dessa maneira, não está prevista nenhuma retenção dos lucros com vista ao seu reinvestimento.
Calcule o fluxo de caixa residual, os fluxos de caixa relevantes, assim como a demonstração gráfica do diagrama do fluxo de caixa do projeto.

Solução:
Identificação do investimento:
- investimento em ativo fixo (equipamento): $850.000
- variação no capital de giro operacional líquido: $150.000
Investimento inicial: : $1.000.000
Identificação do valor da depreciação: $850.000/4 = $212.500,00

Fluxo de caixa das operações ($ 000)

Demonstração do cálculo do fluxo de caixa residual:
Recebimento pela venda do equipamento: $ 250.000,00
Imposto de renda s/venda do equipamento*: ($ 82.500,00)
Resultado final pela venda do ativo após IR : $167.500,00
Recuperação da variação no capital de giro operacional líquido: $150.000,00
Fluxo de caixa residual : $317.500,00

*Cuidado: neste exercício o equipamento foi vendido já totalmente depreciado, logo, a alíquota do imposto de renda/contribuição social de 33% incidiu sobre o valor total da venda, i.e., $250.000,00 x 0,33 = $82.500,00.

Fluxos de caixa relevantes ($ 000)


Demonstração do Diagrama do Fluxo de Caixa – DFC



Tela 13
Módulo 01 – Conceito de Custo de Capital
4) A Nixon Communications está tentando estimar o fluxo de caixa operacional do primeiro ano (em t=1) para um projeto proposto. A equipe financeira obteve as seguintes informações:

Vendas projetadas $10 milhões
Custos operacionais (não incluindo depreciação) $ 7 milhões
Depreciação $ 2 milhões
Despesas de juros $ 2 milhões
A empresa tem uma alíquota de 34% de imposto de renda. Qual é o fluxo de caixa operacional para o projeto no primeiro ano (t=1)?

Solução:

Demonstrativo de Resultado do Exercício
 

Ano 1
$

Receitas de vendas

10.000.000

(-) Custos operacionais

7.000.000

(-) Depreciação

2.000.000

EBIT

1.000.000

(-) IR/CS

340.000

NOPLAT

660.000

(-) Despesas financeiras

2.000.000

(+) Economia IR/CS sobre DF

680.000

Resultado Líquido

(660.000)

Fluxo caixa operacional

NOPLAT

$ 660.000

(+) Depreciação

$ 2.000.000

Fluxo de caixa operacional

$ 2.660.000

5) A Johnson Industries está considerando um projeto de expansão. O equipamento necessário poderia ser comprado por $ 9 milhões e o projeto também exigiria um investimento inicial de $3 milhões em capital de giro operacional líquido. A alíquota de imposto de renda da empresa é 34%. Qual é o desembolso inicial para investimento do projeto?

Solução
Demonstração do investimento inicial:

- Gasto com aquisição do equipamento (ativo imobilizado) $ 9 milhões
- Variação no capital de giro operacional líquido: 3 milhões
Investimento inicial do projeto: $12 milhões

6) A Carter Air Lines está no último ano de um projeto. O equipamento custou originalmente $ 20 milhões dos quais 80% já foram depreciados. A Carter pode vender o equipamento usado hoje para outra empresa aérea por $5 milhões e tem uma alíquota de imposto de renda de 34%. Qual é o valor residual líquido do equipamento depois dos impostos?

Solução
Valor de aquisição do equipamento $20.000.000,00 x 0,80 = $16.000.000,00 (valor da depreciação acumulada)
Valor contábil = $20.000.000,00 – $16.000.000,00
Valor contábil = $4.000.000,00
Valor de venda – valor contábil = ganho/perda de capital
$5000.000,00 - $4.000.000,00 = $1.000.000,00 (ganho de capital)
Ganho de capital x alíquota de IR/CS = IR/CS
$1.000.000,00 x 0,34 = $340.000,00
Valor residual líquido = valor de venda do equipamento – IR/CS
Valor residual líquido = $5.000.000,00 - $340.000,00
Valor residual líquido = $4.660.000,00



Tela 14
Módulo 01 – Conceito de Custo de Capital

Para Gitman (1997), todos os benefícios esperados de um projeto proposto devem ser medidos na forma de fluxo de caixa. As entradas de caixa representam dinheiro que pode ser gasto, não simplesmente “lucros contábeis”, que não estão necessariamente à disposição da empresa para pagamento de suas contas.

Por sua vez, a variação no capital de giro operacional líquido é a diferença entre as alterações ocorridas nas contas operacionais do ativo circulante e as alterações ocorridas nas contas operacionais do passivo circulante.

Exemplo “Empresa Muito Feliz”
Exemplo “Empresa Muito Leve”



Tela 15
Módulo 01 – Conceito de Custo de Capital

A Empresa Muito Feliz está considerando a compra de um equipamento para aumentar a sua capacidade instalada. O equipamento custará $85.000 e exigirá $5.000 em gastos de instalação. Ele será depreciado pelo método linear. A vida útil do equipamento é de cinco anos. Não se espera que haja valor residual. O investimento no ativo operacional líquido irá aumentar em $20.000, sendo: aumento no caixa, $3.000; aumento nas contas a receber, $15.000; aumento nos estoques, $12.000; aumento nas duplicatas a pagar, $8.000,00; aumento nas contas a pagar, $2000. Espera-se que os lucros antes da depreciação e do imposto de renda sejam de $40.000 para cada um dos próximos cinco anos. A empresa recolhe imposto de renda através de uma alíquota de 23%.

a) Determine o investimento inicial.
b) Calcule as entradas de caixa operacionais.
c) Demonstre o diagrama do fluxo de caixa do projeto.

Resolução

a) Determinação do investimento inicial
valor de compra do equipamento: $85.000
+ gastos com instalação do equipamento: $ 5.000
+ variação no capital de giro operacional líquido: $20.000

Investimento inicial: $110.000

b) fluxo de caixa operacional
b1) cálculo da despesa de depreciação:
($85.000 + $5.000)/ 5 = $18.000/ano
b2) cálculo do resultado operacional lucro líquido
Lucro antes da depreciação: $40.000
(menos) Despesa de depreciação: ($18.000)
Resultado operacional: $22.000
(menos) IR/CS: $5.060
Resultado operacional líquido: $16.940
b3) cálculo do fluxo de caixa operacional
Resultado operacional líquido: $16.940
(mais) Depreciação: $18.000
Fluxo de Caixa Operacional: $34.940

c) Diagrama do fluxo de caixa do projeto

Observe, caso você esteja interessado em saber qual a taxa interna de retorno desse projeto, reveja conteúdos matemática financeira. Esse projeto opera com a TIR (Taxa Interna de Retorno) ou IRR (Internal Rate Return) de 17,70%a.a.

Operando uma máquina financeira, por exemplo, a HP 12 C, você resolve com muita facilidade:




Tela 16
Módulo 01 – Conceito de Custo de Capital
Suponha que a Empresa Muito Leve, uma indústria de ferramentas, esteja estudando a ampliação da sua capacidade de produção por meio da aquisição de novo equipamento, cujo preço de aquisição será de $100.000,00, com os gastos de instalação alcançando $10.000,00. O faturamento previsto no projeto, para esse equipamento especificamente, é de $300.000,00/ano. A margem bruta está prevista para 40% do faturamento; a margem operacional (antes da provisão para Imposto de Renda) é de 8%. A alíquota do imposto de renda para a empresa é de 25%. A vida útil do equipamento será de 10 anos. Não está previsto valor residual para o final do projeto. Com relação a variação no capital de giro operacional líquido, prevê-se o aumento de $30.000.

a) Determine o investimento inicial
b) Demonstre a DRE para o primeiro exercício social
c) Calcule as entradas de caixa operacionais
d) Demonstre o diagrama do fluxo de caixa do projeto

Resolução

a) Investimento inicial:
valor de compra do equipamento: $100.000,00
(mais) gastos com instalação: $ 10.000,00
(mais) variação no capital de giro operacional líquido: $ 30.000,00

Investimento inicial: $140.000,00

b) Demonstração da DRE

c) Entradas de caixa operacional
c1) cálculo da depreciação
($100.000,00 + $10.000,00)/10 = $11.000,00/ano
c2) cálculo das entradas de caixa operacional
Lucro líquido/Prejuízo líquido: $18.000,00
(mais) despesa de depreciação: $11.000,00
Fluxo de Caixa Operacional: $29.000,00
d) Demonstração do diagrama do fluxo de caixa do projeto




Tela 17
Módulo 01 – Conceito de Custo de Capital

Resumo

A maximização da riqueza do acionista tem muito a ver com o desempenho dos investimentos efetuados no ativo permanente. Os tipos de decisão e projetos são: decisões de substituição, decisões de expansão, projetos independentes, projetos mutuamente excludentes, fundos ilimitados versus racionamento de capital, abordagem de aceitar-rejeitar versus abordagem de classificação.

O processo de orçamento de capital é muito rico e complexo; sua correta utilização depende da visão dos dirigentes da empresa e da forma como esse processo é incentivado e apoiado. Consiste de cinco fases, a saber: geração de proposta, determinação das alternativas viáveis mediante avaliação e análise, tomada de decisão, implementação e acompanhamento.

Todos os benefícios esperados de um projeto proposto devem ser medidos na forma de fluxo de caixa. As entradas de caixa representam dinheiro que pode ser gasto, não simplesmente “lucros contábeis”, que não estão necessariamente à disposição da empresa para pagamento de suas contas.

Os investimentos no ativo imobilizado, geralmente, são acompanhados por alterações no capital circulante líquido; isto é, por mudanças no ativo circulante e no passivo circulante. Predomina o aumento das necessidades de giro nas empresas.



Unidade 4 Módulo 2
Tela 18
MÓDULO 2 – Técnicas da análise de orçamentos de capital

VISÃO GERAL DAS TÉCNICAS DE ORÇAMENTO DE CAPITAL

Existem várias técnicas à disposição das empresas, que podem ser utilizadas quanto à tomada de decisão de novos investimentos e projetos. Existem regras baseadas em lucros contábeis e regras baseadas no fluxo de caixa. No primeiro caso, Damodaran (2004) menciona o retorno sobre o capital investido e o retorno sobre o patrimônio líquido. Na parte que envolve fluxo de caixa, três técnicas se destacam:

a) Período Payback;

b) Valor Presente Líquido – VPL – ou NPV (Net Present Value);

c) Taxa interna de retorno – TIR – ou IRR (Internal Rate of Return).

Nós iremos analisar somente as técnicas relacionadas com o fluxo de caixa.

O PRINCÍPIO DO INVESTIMENTO

Damodaran (2004, p. 31) afirma: “O princípio do investimento coloca simplesmente que as empresas devem investir em ativos somente quando esperam obter um retorno maior do que um retorno mínimo aceitável. Esse retorno mínimo, que denominamos taxa de corte, deve refletir se o dinheiro é obtido de dívida ou patrimônio líquido e que retornos aqueles que investiram o dinheiro poderiam ter obtido em outro lugar, em investimentos similares”.

Você irá observar que nem todos os autores compartilham desse ponto de vista, quando da apresentação dos métodos do VPL e da IRR isso será facilmente percebido.

Quando da análise (escolha) de projetos de investimento, no momento da tomada da decisão, será adotado por nós a posição de Damodaran, ou seja, somente projetos com VPL>$0 estarão em condições de ser escolhidos.

Observe, se você tem por objetivo, por exemplo, concursos públicos, você deve ficar atento aos editais, porque é importante saber o autor que está sendo adotado no edital na parte que trata sobre finanças.



Tela 19
MÓDULO 2 – Técnicas da análise de orçamentos de capital

1 - Período de Payback

Definido, segundo Brigham e Ehrhardt (2006), como o número esperado de anos necessários para recuperar o investimento original de um projeto, o período de payback foi o primeiro método formal utilizado para avaliar projetos de orçamento de capital.

Segundo Ross, Westerfield e Jaffe (2002), o critério do payback é freqüentemente utilizado por empresas grandes e sofisticadas na tomada de decisão de investimentos que envolvem montantes relativamente pequenos.


Segundo Damodaran (2004) apesar de raramente as empresas tomarem decisões sobre investimentos baseados apenas no período de payback, pesquisas indicam que alguns negócios realmente o usam como sua principal regra de decisão. Quando isso acontece, a empresa normalmente estabelece um período máximo de payback para os projetos. Ela aceitaria, então, projetos que reembolsam seu investimento inicial mais cedo do que esse período máximo e rejeitaria projetos que não o fazem.



Tela 20
MÓDULO 2 – Técnicas da análise de orçamentos de capital

Segundo Gitman (2004), quando o período de payback é usado em decisões de aceitar-rejeitar, o critério é o seguinte: se o período de payback for menor que o período de payback máximo admissível, se aceita o projeto; se o período de payback for maior que o período de payback máximo aceitável, rejeita-se o projeto.
Na hipótese de um projeto, durante sua vida útil, não gerar caixa operacional suficiente para cobrir o investimento do projeto, o período de payback será considerado infinito.

Para Lemes Júnior, Rigo e Cherobim (2002), o método do período de payback apresenta as seguintes vantagens e desvantagens:

Vantagens
Desvantagens
1. Fácil de entender
1. Ignora o valor do dinheiro no tempo
2. Leva em conta a incerteza de fluxos de caixa mais distantes. 2. Exige período limite arbitrário.
3. Favorece a liquidez 3. Ignora fluxos de caixa pós payback.
  4. Dificulta a aprovação de projetos de longo prazo.




Tela 21
MÓDULO 2 – Técnicas da análise de orçamentos de capital

Exemplos

1) Suponhamos que na Empresa XYZ um determinado projeto de investimento apresente as seguintes informações:

Ano
Fluxo de caixa estimado
0

($85.000)

1

$18.000

2

$18.000

3

$18.000

4

$18.000

5

$18.000

6

$18.000

7

$18.000

8

$18.000

Apresente o DFC e calcule o período de payback do projeto.

Solução

 


Solução a

a) DFC estimado para o projeto

b) Cálculo do período de payback do projeto
Olhe para o DFC, você percebe que todas as entradas estimadas de caixa são iguais, nesse caso o primeiro passo que você deve fazer é multiplicar o valor de cada entrada pelo número de anos do projeto:
$18.000 x 8 = $144.000.


Nesse caso, como o valor das entradas é maior que o valor do investimento inicial você já pode deduzir que o período de payback será menor que oito anos. Basta que o valor das entradas seja maior que o valor do investimento inicial para concluir que o período de payback será menor que o prazo máximo do projeto. Observe que os nossos projetos de investimento possuem prazo determinado, ou seja, o período de tempo do projeto é finito.


Quando você estiver diante de uma situação semelhante ao do projeto da Empresa XYZ, onde a soma das entradas for maior que o valor do investimento inicial, para encontrar o valor do período de payback basta você dividir o valor do investimento inicial por uma das entradas de caixa estimadas, assim:
Período de Payback = $85.000/$18.000
Período de Payback = 4,722222 anos ou 4,72 anos.

Suponhamos que você esteja diante de um projeto de investimento onde o valor estimado para a primeira entrada de caixa seja maior que o valor do investimento inicial, nesse caso, como calcular o valor do Período de Payback?
Basta você dividir o valor do investimento inicial pelo valor da primeira entrada de caixa estimada.
Suponha o seguinte DFC de um projeto qualquer:

Nesse caso, como a entrada de caixa prevista para o Ano 1 é maior que o valor do investimento inicial, para encontrar o Período de Payback basta:
Período de payback = $1.000/$1.020
Período de payback = 0,98 Ano, ou seja, o projeto se paga antes do primeiro ano. Se você multiplicar o valor encontrado por 12 você irá encontrar o período de tempo em termos de meses:
Período de payback = 0,98 x 12
Período de payback = 11,76 meses, ou seja, 11,76 < 12 meses.





Tela 22
MÓDULO 2 – Técnicas da análise de orçamentos de capital
2) Sua divisão está considerando dois projetos de investimento, cada qual exige o desembolso de caixa estimado (investimento inicial) de $25 milhões. O Fluxo de caixa operacional estimado para os três primeiros, assim como o fluxo de caixa total estimado para o ano 4 são:

Ano
Projeto A
Projeto B
1
5
10
2
10
10
3
15
8
4
20
6

a. Apresente o DFC para cada um dos projetos.

b. Qual o período de payback estimado para cada um dos projetos (A e B)?

Solução



Solução

a) DFC para cada um dos projetos

b) Cálculo do período de payback dos projetos


Projeto A
Antes de irmos para o cálculo, observe o DFC do projeto. Se você somar o valor de cada uma das entradas estimadas de caixa, você irá encontrar um valor estimado igual a $50 milhões. Esse valor é maior que o valor do investimento inicial, isso significa que esse projeto promete se pagar antes de quatro anos. Para encontrar o período de payback, se faz necessário que o somatório das entradas de caixa seja exatamente igual ao valor do investimento inicial, portanto, não podemos somar todos os valores ao mesmo tempo para esse projeto.


Se fixe no DFC, a entrada estimada de caixa para o Ano 1 não é maior nem igual a $25 milhões, portanto, o projeto não irá se pagar antes do primeiro ano, nem no primeiro ano.
Observe que a soma entre o valor de caixa estimado para o primeiro e o segundo ano continua mostrando um somatório menor que $25 milhões, portanto, esse projeto não irá se pagar com dois anos.
Mas veja, se você somar a entrada de caixa estimada para o Ano 3 com as duas entradas anteriores, você irá encontrar um valor maior que $25 milhões, ou seja: $5MM + $10MM + $15MM = $30MM, isso não pode ocorrer porque o somatório das entradas de caixa para esse projeto terá que ser igual a $25 milhões.
Olhando para o DFC você acabou de concluir que o período de payback do projeto A deverá se situar entre o Ano 2 e o Ano 3, isto é, você irá encontrar um período de payback igual a 2,???? Anos.
$5MM + $10MM = $15MM
$25MM - $15MM = $10MM (valor que falta para os $25MM)


Você irá dividir o valor que está faltando pela entrada de caixa estimada que vier após a última entrada que você operou no seu somatório, portanto:
$10MM/$15MM = 0,6666666 Ano
Período de payback do projeto A = 2,6666666Anos ou 2,67 Anos (os dois primeiros anos mais 0,666666 ano).

Projeto B
Novamente, olhe para o DFC, observe que a soma das duas primeiras entradas estimadas de caixa é menor que o valor estimado para o investimento inicial: $10MM + 410MM = $20MM < $25MM, portanto, esse projeto terá um período de payback maior que dois anos.


Observe que o valor de caixa estimado para o Ano 3 ao ser somado com os dois valores já somados anteriormente irá ultrapassar $25MM, ou seja: $10MM + $10MM + $8MM = $28MM > $25MM, isso não pode acontecer, nós temos que alcançar exatamente $25MM.


O DFC do projeto nos faz concluir que o período de payback irá ficar entre o Ano 2 e o Ano 3, portanto, será igual a 2,???? Anos.
Cálculo do período de Payback do projeto:
$10MM + $10MM = $20MM
$25MM - $20MM = $5MM
$5MM/$8MM = 0,625 Ano
Período de payback do projeto B = 2,625 anos ou 2,63 Anos.





Tela 23
MÓDULO 2 – Técnicas da análise de orçamentos de capital

3) Suponhamos que na Empresa JJ um determinado projeto de investimento apresente as seguintes informações:

Ano
Fluxo de caixa estimado
0

($5.450.000)

1

$1.508.000

2

$1.773.100

3

$1.897.910

4

$2.753.941

Apresente o DFC e calcule o período de payback do projeto.

Solução



Solução

a) DFC estimado para o projeto

b) Cálculo do período de payback do projeto

Se você somar todas as entradas de caixa estimadas para esse projeto, você irá encontrar $7.932.951,00, portanto, o valor será maior que o valor estimado para o investimento inicial. Conclusão: esse projeto irá se pagar antes do Ano
4. Se a soma das entradas fosse igual a $5.450.000 o período de payback seria quatro anos. E se a soma ao invés de $7.932.951,00 fosse um valor menor que $5.450.000,00 qual seria o período de payback? Nesse caso, o período de payback seria infinito porque a soma das entradas de caixa seria menor que o valor do investimento inicial.


Voltando ao nosso DFC. Se você somar as entradas de caixa estimadas para os três primeiros anos, você irá encontrar = $5.179.010,00, portanto, você já sabe que o período de payback desse projeto irá ficar entre o Ano 3 e o Ano 4, ou seja, você irá encontrar um valor igual a 3,?????Anos.
$1.508.000 + $1.773.100 + $1.897.910 = $5.179.010
$5.450.000 - $5.179.010 = $270.990
$270.990/$2.753.941 = 0,098 Ano
Período de payback = 3,098 Anos.





Tela 24
MÓDULO 2 – Técnicas da análise de orçamentos de capital

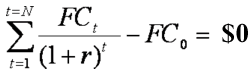
2 - Método do Valor Presente Líquido (VPL ou NPV – Net Present Value)

Segundo Damodaran (2004) regras para tomada de decisão sobre investimentos, baseadas em fluxos de caixa descontados, não apenas substituem o lucro contábil por fluxos de caixa como também consideram explicitamente o valor do dinheiro no tempo. As regras de fluxo de caixa descontados mais amplamente usadas são o valor presente líquido e a taxa interna de retorno.


Segundo Ross, Westerfield e Jaffe (2002) a intuição por trás da análise de fluxos de caixa descontados é a de que um projeto deve gerar uma taxa de retorno superior à que poderia ser obtida nos mercados financeiros. Somente quando isso é verdade é que o VPL de um projeto será positivo. Uma parte importante da análise de estratégia empresarial preocupa-se com a busca de oportunidades de investimento capazes de produzir VPL positivo.



Tela 25
MÓDULO 2 – Técnicas da análise de orçamentos de capital

Segundo Gitman (2004) o valor presente líquido (VPL) é obtido subtraindo-se o investimento inicial de um projeto (FC0) do valor presente de suas entradas de caixa (FCt), descontadas a uma taxa igual ao custo de capital da empresa (r). Essa taxa – frequentemente chamada de taxa de desconto, retorno exigido, custo de capital ou custo de oportunidade – é o retorno mínimo exigido que deve ser obtido em um projeto para que o valor de mercado da empresa fique inalterado.
A equação geral para o cálculo do VPL é a seguinte:




Tela 26
MÓDULO 2 – Técnicas da análise de orçamentos de capital

Segundo Brigham e Ehrhardt (2006) o fundamento lógico do método do VPL é a objetividade. Um projeto de investimento com VPL=$0 significa que os fluxos de caixa do projeto são suficientes somente para pagar o capital investido e para proporcionar a taxa de retorno requerida sobre aquele capital. Se um projeto tiver VPL >$0, isto é, VPL positivo, então ele estará gerando mais caixa do que é necessário para pagar a dívida e para fornecer a taxa de retorno requerida ao(s) proprietário(s), e esse excesso de caixa cabe unicamente ao(s) proprietário(s) da empresa. Portanto, se uma empresa colocar em andamento um projeto com VPL positivo, a posição do(s) proprietário(s) será melhorada.

Segundo Matias (2007) ao se calcular o VPL de um projeto de investimento, pode-se chegar a três situações diferentes. Cada resultado tem um significado em relação à viabilidade do projeto de investimento em análise:

• VPL = $0: significa que o projeto pode ser implementado, pois atende exatamente à expectativa de rentabilidade da organização, representada pela taxa de desconto (taxa de corte);
• VPL > $0: quando o resultado é positivo, significa que o projeto vai além das expectativas; portanto, também pode ser implementado;
• VPL < $0: quando o resultado é negativo, significa que o projeto não atende à expectativa de rentabilidade, por isso não deve ser implementado. O resultado negativo não significa, necessariamente, que o projeto dará prejuízo, significa que ele não atende a taxa de desconto (taxa de corte) estipulada pela empresa.



Tela 27
MÓDULO 2 – Técnicas da análise de orçamentos de capital

Para que o VPL obtido seja realmente verdadeiro, é necessário que os fluxos incrementais líquidos, recebidos ao longo do tempo, sejam reinvestidos à taxa de desconto utilizada na avaliação do projeto de investimento. Caso não sejam reinvestidos com a mesma taxa de desconto (taxa de corte), a análise fica comprometida.

Ross, Westerfield e Jordan (2000, p.216) afirmam: “Como a meta do administrador financeiro é aumentar o valor da ação, nossa discussão nesta seção conduz-nos à regra do valor presente líquido: Um investimento deverá ser aceito se seu valor presente líquido for positivo, e rejeitado se for negativo. Na eventualidade pouco provável de que o valor presente líquido seja exatamente igual a zero, ficaríamos indiferentes entre realizar ou não o investimento.”

Quanto às vantagens e desvantagens do VPL, Lemes Júnior, Rigo e Cherobim (2002) afirmam:

Vantagens
Desvantagens
1. Leva em consideração o valor do dinheiro no tempo
1. Depende da determinação do custo de capital
2. Os VPLs podem ser somados 2. É conceito mais difícil do que uma taxa de retorno
3. Dependem apenas dos fluxos de caixa e do custo de capital  


Tela 28
MÓDULO 2 – Técnicas da análise de orçamentos de capital

Exemplos

1) Sua divisão está considerando dois projetos de investimento, cada um dos quais requer desembolso imediato de $25 milhões. Você estima que os investimentos produzirão os seguintes fluxos de caixa líquidos:

Ano
Projeto A
Projeto B
1

$5.000.000

$20.000.000

2

$10.000.000

$10.000.000

3

$20.000.000

$ 6.000.000

Calcule o valor do VPL de cada um dos projetos pressupondo os seguintes custos de capital: 0%; 5% e 16% ao ano.

Solução

2) A JJ S.A. está avaliando uma máquina de fixação de fragrâncias que exige investimento inicial de $24.000 e deverá gerar FCO anual de $5.000, durante oito anos. Para cada um dos custos de capital indicados calcule o VPL e indique se a máquina deve ser comprada. Taxas de corte: 10%, 12% e 14% ao ano. O cálculo do VPL deverá ser feito de forma manual; pela HP 12C e pelo Excel.

Solução



Solução

1° Passo: apresentar o DFC do projeto de investimento


TAXA DE CORTE DE 10% AO ANO

2° Passo:
a) calcular o VPL de forma manual:
VPL = [(5.000/(1+0,10)1+ (5.000/(1+0,10)2+ (5.000/(1+0,10)3+
+ (5.000/(1+0,10)4+......... + (5.000/(1+0,10)8]- $24.000
VPL = ($4.545,45 + $4.132,23 + $3.756,57 + .......... + $2.332,54) - $24.000
VPL = $2.674,63

b) calcular o VPL via HP 12C
Supondo que você já está com tudo certinho em termos de máquina limpa e com o visor mostrando D.MY C
Você irá alimentar a máquina olhando sempre para o DFC. Observe que o primeiro valor é uma saída de caixa, portanto, é um valor negativo, por esse motivo você irá entrar com CHS. Você está percebendo que todas as entradas de caixa estimadas possuem o mesmo valor, logo, ao invés de ficar lançando cada um dos valores, você irá operar apenas uma vez o valor da entrada estimada, informando a máquina de que se trata de oito valores iguais através da tecla Nj.
Operando a máquina:

24000 CHS g CFo
5000 g CFj
8 g Nj
10 i
f NPV
No visor da máquina você irá encontrar 2.674,630989 (não esqueça, basta você ficar alimentando a máquina com as demais taxas de corte que a HP irá lhe fornecer o valor do VPL para cada taxa de corte).
c) calcular o VPL via Excel
Supondo que você esteja diante da tela, pressione o mouse entre as células A1 e I1. Ir com mouse até Formatar, clicar. Automaticamente irá aparecer Células, clicar sobre Células. Automaticamente irá abrir uma tela com o nome Formatar células. Clicar com o mouse na categoria Moeda. Você irá observar, por exemplo, “Casas decimais”, escolher 2 (isso significa que você está operando com duas casas decimais). Outra opção a seu dispor seria “Símbolo”, como estamos operando em reais manter o que aparece R$. Clicar em OK, com isso entre a célula A1 e a célula I1 os valores serão em reais e com duas casas decimais.
Agora você irá alimentar as células. Na célula A1 colocar -24.000, automaticamente irá aparecer –R$24.000,00. Na célula B1 colocar 5.000; observe que automaticamente irá aparecer R$5.000,00. Você não precisa escrever 5.000 para cada uma das células entre C1 e I1, basta você se fixar naquele sinal de +, em baixo na célula B1, e correr com o mouse até I1, observe que o valor R$5.000,00 aparece em cada uma das células entre C1 e I1. Clicar com o mouse, por exemplo, na célula J1. Levar o mouse até Formatar, clicar. Agora, clicar sobre Células, novamente irá abrir a tela chamada Formatar células. Clicar com o mouse na categoria Porcentagem; optar por duas casas decimais. Clicar em OK. Escrever, na célula J1, 10, automaticamente irá aparecer 10%. Clicar com o mouse sobre a célula K1, escrever VPL. Clicar com o mouse sobre a célula L1. Novamente Ir com mouse até Formatar, clicar. Automaticamente irá aparecer Células, clicar sobre Células. Automaticamente irá abrir uma tela com o nome Formatar células. Clicar com o mouse na categoria Moeda, optar por duas casas decimais, clicar em OK.
Observe no canto à esquerda na parte de cima, você está percebendo fx clicar com o mouse sobre a linha (observe que na tela fica piscando |). Automaticamente aperte a tecla = (observe, continua piscando |). Agora, clicar com o mouse sobre a célula A1. Você percebe que aparece A1. Você irá, na seqüência escrever +VPL($J$1;B1:I1)enter. Observe, automaticamente irá aparecer na célula L1 o valor R$2.674,63.

TAXA DE CORTE DE 12% AO ANO
a) calcular o VPL de forma manual:
VPL = [(5.000/(1+0,12)1+ (5.000/(1+0,12)2+ (5.000/(1+0,12)3+
+ (5.000/(1+0,12)4+......... + (5.000/(1+0,12)8]- $24.000
VPL = ($4.464,29 + $3.985,97 + $3.558,90 + ..........+$2.019,42) - $24.000
VPL = $838,20
b) calcular o VPL via HP 12C
24000 CHS g CFo
5000 g CFj
8 g Nj
12 i
f NPV
No visor da máquina você irá encontrar 838,1988342
c) calcular o VPL via Excel
Vamos alimentar a célula J2 com o valor 12%. Vamos operar com a célula L2 para apurar o valor do VPL.
Operando a partir de fx
=A1+VPL($J$2;B1:I1)enter. Observe, automaticamente irá aparecer na célula L2 o valor R$838,20.

TAXA DE CORTE DE 14% AO ANO
a) calcular o VPL de forma manual:
VPL = [(5.000/(1+0,14)1+ (5.000/(1+0,14)2+ (5.000/(1+0,14)3+
+ (5.000/(1+0,14)4+......... + (5.000/(1+0,14)8]- $24.000
VPL = ($4.464,29 + $3.847,34 + $3.374,86 + ..........+$1.752,80) - $24.000
VPL = -$805,68
b) calcular o VPL via HP 12C
24000 CHS g CFo
5000 g CFj
8 g Nj
14 i
f NPV
No visor da máquina você irá encontrar -805.6805304
c) calcular o VPL via Excel
Vamos alimentar a célula J3 com o valor 12%. Vamos operar com a célula L3 para apurar o valor do VPL.
Operando a partir de fx
=A1+VPL($J$3;B1:I1)enter. Observe, automaticamente irá aparecer na célula L2 o valor -R$805,68.




Solução

VPL do projeto A
1° Passo: apresentar o DFC do projeto

2° Passo: Calcular o valor do VPL para cada taxa de corte.
Taxa de corte = 0% ao ano
VPLA = ($5.000.000 + $10.000.000 + $20.000.000) - $25.000.000
VPLA = $10.000.000
Observe que diante de uma taxa de corte igual a 0% basta somar as entradas estimadas de caixa e subtrair do valor encontrado o valor do investimento inicial.
Taxa de corte = 5% ao ano
VPLA = [($5MM/(1 + 0,05)1 + ($10MM/(1 + 0,05)2 +($20MM/(1 + 0,05)3] - $25MM
VPLA = ($4.761.904,76 + $9.070.294,79 + $17.276.751,97) - $25.000.000
VPLA = $31.108.951,52 - $25.000.000
VPLA = $6.108.951,52


Como interpretar o valor calculado igual a $4.761.904,76? Esse valor significa que será indiferente, para uma taxa de corte de 5% ao ano, esperar um ano para embolsar $5.000.000 ou embolsar $4.761.904,76 hoje.


Como interpretar o valor calculado igual a $9.070.294,79? Esse valor significa que será indiferente, para uma taxa de corte de 5% ao ano, esperar dois anos para embolsar $10.000.000 ou embolsar $9.070.294,79 hoje.


Como interpretar o valor calculado igual a $17.276.751,97? Esse valor significa que será indiferente, para uma taxa de corte de 5% ao ano, esperar três anos para embolsar $20.000.000 ou embolsar $17.276.751,97 hoje.
Taxa de corte = 16% ao ano
VPLA = [($5MM/(1 + 0,16)1 + ($10MM/(1 + 0,16)2 +($20MM/(1 + 0,16)3] - $25MM
VPLA = ($4.310.344,83 + $7.431.629,01 + $12.813.153,47) - $25.000.000
VPLA = $24.555.127,31 - $25.000.000
VPLA = -$444.872,69


Observe que tanto para uma taxa de corte de 0% quanto para uma taxa de corte de 5% ao ano encontramos valores positivos, isto é, VPL >$0. Para essas duas taxas de corte estamos diante da maximização da riqueza para o(s) proprietário(s) da empresa, ou seja, caso todos os valores projetados venham a ocorrer, a preços de hoje, a riqueza do(s) proprietário(s) da empresa seria aumentada em $10.000.000, caso a taxa de corte fosse 0% ao ano; e em $6.108.951,52, caso a taxa de corte fosse igual a 5% ao ano. Agora, diante de uma taxa de corte de 16% ao ano observamos que foi encontrado um valor negativo, isto é, ficamos diante de um VPL <$0. Isso significa que, caso todos aqueles valores estimados no DFC venham de fato a ocorrer colocar o projeto em andamento irá provocar destruição de riqueza para o(s) proprietário(s) da empresa no valor de -$444.872,69.


Observe, se a taxa de corte de 16% ao ano provocou VPL <$0 isso significa que essa taxa de corte é maior que a taxa de retorno do projeto (TIR). Portanto, você poderá interpretar a destruição da riqueza como conseqüência de uma falha da administração da empresa por aceitar que um projeto seja posto em andamento tendo a sua TIR menor que o seu custo de capital. O mercado, mesmo não sendo perfeito, irá perceber em algum momento esse fato, com isso os preços dos papéis da empresa irão cair e, com eles, o valor da empresa.

VPL do projeto B
1° Passo: apresentar o DFC do projeto

2° Passo: Calcular o valor do VPL para cada taxa de corte com o emprego da máquina financeira HP12C. Você irá observar que pela HP 12C o cálculo é muito simples e prático, além, evidentemente, da economia de tempo.
Supondo que no visor da máquina esteja: D.MY C
Caso isso não se verifique e você esteja interessado em organizar o visor opere:
g D.MY (observe que D.MY é a tecla onde se localiza o número 4).
Para a colocação do C no visor você irá operar assim:
STO EEX
Agora pressione a tecla f e a tecla onde se encontra o número 9.
A sua máquina irá apresentar no visor:
0,000000000
D.MY C
Estamos prontos para o cálculo do VPL. Vamos começar para 0%, logo a seguir para 5% e, finalmente, para 16% ao ano. Você irá alimentar o fluxo de caixa na HP 12C somente uma vez, observe:
25000000 CHS g CFo
20000000 g CFj
10000000 g CFj
6000000 g CFj
0 i
f NPV
No visor da máquina você encontrou 11.000.000,00
Automaticamente você irá alimentar a máquina com a segunda taxa de corte:
5 i
f NPV
No visor da máquina você encontrou 8.300.939,423
Automaticamente você irá alimentar a máquina com a terceira taxa de corte:
16 i
f NPV
No visor da máquina você encontrou 3.516.954,365


Você acabou de observar que pela HP 12C o valor do VPL desse projeto de investimento foi encontrado sem muita demora. Os três valores encontrados mostraram VPL >$0, ou seja, para as três situações encontramos maximização da riqueza do(s) proprietário(s) da empresa. Outro detalhe, você já percebeu que quanto maior a taxa de corte menor o valor VPL do projeto. Partindo da hipótese de que não iremos encontrar taxa de corte menor que 0%, porque não tem muito sentido uma taxa de corte negativa, quando o DFC do projeto for convencional, o maior valor para o VPL de um projeto de investimento irá ocorrer quando a taxa de corte for igual a 0%.



Tela 29
MÓDULO 2 – Técnicas da análise de orçamentos de capital

3 - Taxa Interna de Retorno – TIR ou IRR

A TIR ou IRR é a taxa de desconto que zera um diagrama de fluxo de caixa (DFC) de um projeto de investimento. Ao encontrar a IRR do projeto o VPL desse projeto será igual a $0.

Equação para o cálculo da taxa interna de retorno:

Onde:
FC0 = valor do fluxo de caixa no momento zero (investimento inicial).
FCt = fluxo de caixa incremental estimado em cada período de tempo.
r = taxa de desconto que iguala as entradas com as saídas estimadas de caixa, ou seja, representa a taxa interna de retorno.




Tela 30
MÓDULO 2 – Técnicas da análise de orçamentos de capital

Exemplo

1) Uma empresa está avaliando o seguinte projeto de investimento:

Ano 0
Ano 1
Ano 2
Ano 3
Ano 4
($ 52.000)
$ 36.000
$ 30.000
$ 24.000
$ 24.000

Calcule o taxa interna de retorno desse projeto.

Solução



Solução

DFC do projeto

Aplicando-se a equação da IRR observa-se:
    $52.000 = 36.000/(1+i)1+ 30.000/(1+i)2+ 24.000/(1+i)3 + 24.000/(1+i)4
Você deveria atribuir taxas para “i”, até zerar o fluxo de caixa. Isso, pode demorar um pouco.

a)que tal iniciar com taxa, i, de 40%? (Você poderia iniciar com a taxa que bem entender)
$52.000 = 36.000/(1+0,40)1+ 30.000/(1+0,40)2+ 24.000/(1+0,40)3+24.000/(1+0,40)4
Somatório das entradas de caixa descontadas para data focal zero = $ 56.014,160766
Logo, $56.014,160766 – 52.000,00 = 4.014,16076.

b) que tal uma taxa, i, igual a 45%?
$52.000=36000/(1+0,45)1 + 30.000/(1+0,45)2 + 24.000/(1+0,45)3 + +24.000/(1+0,45)4 .
Somatório das entradas de caixa descontadas para data focal zero = $52.397,9578131
Logo,$ 52.397,9578131 –$ 52.000,00 = $397,9578131. Observe: está bem próximo de zero.

c) que tal uma taxa, i, igual a 46% ?
$52.000=36.000/(1+0,46)1+30.000/(1+0,46)2+24.000/(1+0,46)3+24.000/(1+0,46)4.

Somatório das entradas de caixa descontadas para a data focal zero = $51.725,23186.
Logo, $51.725,23186 - $52.000,00 = - $274,76814.





Tela 31
MÓDULO 2 – Técnicas da análise de orçamentos de capital
Observe, você acaba de encontrar dois valores próximos de zero, um positivo e outro negativo. Se você fizer esforço, irá lembrar-se da matemática financeira; onde, possivelmente, já praticou esse tipo de cálculo.

De posse desses resultados, opera-se:

∆ % = 1% x [ $397,9578131/($52.397,9578131 – 51.725,23186)]
% = 0,005915601 x 100 % = 0,5915601%

Somando-se: 45% + 0,5915601% = 45,591560% a.a.
Observação: Você opera a diferença entre as taxas, as duas últimas, um resultado positivo e outro negativo; para ser mais exato, VPL > 0 e VPL < 0. Multiplique essa diferença de taxas (no caso, 46% - 45% = 1%) pelo último VPL positivo, dividido pela diferença entre os dois últimos somatórios de entradas de caixa. Ao resultado encontrado, você soma a última taxa em que o VPL foi positivo.

Com o emprego de uma máquina financeira, por exemplo, HP 12 C, encontra-se:

52.000
CHS
g
CF0
36.000
g
CFj
30.000
g
CFj
24.000
g
CFj
2
g
Nj
f
IRR
=
45,5887141% a.a.

Observe: o cálculo feito por interpolação é praticamente igual ao realizado pela máquina financeira.

  • Se um projeto apresentar fluxo de caixa não convencional, poderá apresentar mais de uma TIR.


Tela 32
MÓDULO 2 – Técnicas da análise de orçamentos de capital

Diagrama do fluxo de caixa não-convencional

Brigham, Gapenski e Ehrhardt (2001) afirmam ser esse tipo de fluxo de caixa como de caixa incomum, em que os projetos, com tais características, podem apresentar dificuldades singulares ao serem avaliados pelo método IRR. O problema mais comum é a existência de múltiplas IRRs. Como a equação da TIR é polinomial de grau “n”, ela possui “n” raízes diferentes ou soluções. Todas, exceto uma das raízes, são números imaginários quando os investimentos têm fluxos de caixa normais (diagrama de fluxo de caixa convencional); portanto, no caso normal aparece somente um valor para a IRR. Entretanto, a possibilidade de múltiplas raízes reais, ou múltiplas IRRs, surge quando um projeto tem fluxos incomuns (ocorrem fluxos líquidos de caixa negativos durante algum ano, após o projeto ter sido posto em operação).

Exemplo

1) Supondo-se que o projeto tenha o seguinte fluxo de caixa. Qual é sua TIR?

0
1
2
($60)
+$155
-$100

Solução

a) através de uma máquina financeira, por exemplo, com HP 12 C:

60
CHS
G
CF0
155
g
CFj
100
CHS
g
CFj
f
IRR
=
Error 3

Para continuar-se o cálculo, deve introduzir-se no visor uma estimativa e pressionar RCL g PSE .

No caso, arbitra-se, por exemplo, com a taxa de 10%; logo:
      10 RCL g PSE = 25% a.a.

Caso você operasse com taxa arbitrada de 30%, encontraria:
      30 RCL g PSE = 33,33% a.a.



Tela 33
MÓDULO 2 – Técnicas da análise de orçamentos de capital
b) através da equação

Você teria que atribuir valores a IRR até encontrar dois valores que, de preferência, estivessem o mais próximo de zero, um com VPL positivo e outro com VPL negativo. Nesse exercício específico, você iria encontrar dois valores para a TIR, a saber, 25% a.a. e 33,33% a.a.

Portanto, a IRR do investimento é tanto 25% quanto 33,33%.

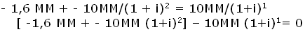
2) Suponha que uma empresa esteja considerando o desembolso de $1,6 milhões para o desenvolvimento de uma mina de superfície (Projeto M). A mina produzirá uma entrada operacional de caixa de $10 milhões de dólares, no final do Ano 1. Então, ao final do ano 2, $10 milhões devem ser gastos para restaurar a região à condição original. Portanto, os fluxos líquidos de caixa esperados do projeto são os seguintes (em milhões de dólares):

Fluxo líquidos de caixa esperados
Ano 0
Final do ano 1
Final do ano 2
-$1,6
+$10
-$10

Substituindo-se esses valores na equação da IRR, observa-se:

Através da interpolação, encontra-se dois valores para a IRR, a saber, 25% e 400%; isto é, quando você operar com as duas taxas de desconto, o valor do VPL será igual a zero.

Caso você utilize uma máquina financeira, HP 12 C, o caminho seria:

1,6
CHS
g
CF0
10
g
CFj
10
CHS
g
CFj
f
IRR
Error 3
enter ( no visor irá aparecer - 10,00)
  RCL g PSE= 25% a.a.

Como existem duas IRRs para o exercício, você pode continuar com a sua HP 12 C

1,6 CHS g CF0
10   g CFj
10 CHS g CFj
f IRR = Error 3
enter ( no visor irá aparecer - 10,00)
150 RCL g PSE = 400% a.a


Tela 34
MÓDULO 2 – Técnicas da análise de orçamentos de capital
Os exemplos apresentados ilustram o problema de múltiplas IRRs, que pode surgir quando o critério IRR é utilizado em projetos com que tem fluxos de caixa incomum. A utilização do método IRR em tais projetos pode produzir outros problemas, como a falta da IRR ou uma IRR que leva a decisão errônea de aceitação/rejeição. Em todos esses casos, o critério NPV poderia facilmente ser aplicado e o método NPV leva as decisões conceitualmente corretas de orçamento de capital.

Com relação às vantagens e desvantagens da TIR, Lemes Júnior, Rigo e Cherobim (2002) afirmam:

Vantagens
Desvantagens
1. Relacionada de perto ao VPL, geralmente levando a decisões idênticas
1. Pode apresentar respostas múltiplas, se os fluxos de caixa forem não convencionais
2. Fácil de entender e transmitir
2. Pode conduzir a decisões incorretas em comparações de investimentos mutuamente excludentes.


Tela 35
MÓDULO 2 – Técnicas da análise de orçamentos de capital
4 - Comparação dos métodos VPL e IRR

Diante de projetos independentes, os métodos do VPL e da IRR não irão divergir; agora, diante de projetos mutuamente excludentes, será possível a existência de divergência entre os dois métodos. Quando a divergência ocorrer, o administrador terá que decidir entre a escolha de um projeto com menor retorno e maior VPL ou escolher um projeto com maior retorno e menor VPL. Como em finanças corporativas o objetivo de uma empresa é maximização da riqueza do(s) proprietário(s) da empresa, veremos que o método do VPL será preferível ao método da IRR. Os exemplos a seguir são destinados a um melhor entendimento dos dois métodos sofisticados envolvendo o fluxo de caixa descontado.

Segundo Brigham, Gapenski e Ehrhardt (2001) em muitos aspectos, o método do VPL é melhor do que o método do IRR que, entretanto, é familiar a muitos executivos de empresas; ele está amplamente divulgado na indústria e possui algumas virtudes.

1) Suponha a análise de um único projeto de investimento com os seguintes valores estimados:

Ano
Investimento
Fluxo de Caixa
Inicial
Ano 1
Ano 2
Ano 3
Ano 4
$
$
$
$
$
0
100
20
30
40
70

Vamos calcular para cada uma das seguintes taxas de corte anuais o valor do VPL: 0%, 10%, 15% e 19%, e, logo a seguir, operar a TIR. Isso feito, colocar todas essas informações num gráfico cartesiano. Não esquecer que o processo deve iniciar sempre com o DFC estimado para o projeto de investimento.

Solução



Solução

DFC estimado para o projeto de investimento:

Estimação do VPL para taxa de corte = 0% ao ano
VPL = ($20 + $30 + $40 + $70) - $100
VPL = $60 (VPL > $0; maximização da riqueza).

Estimação do VPL para taxa de corte = 10% ao ano
VPL = [($20/1,101) + ($30/1,102) + ($40/1,103) + ($70/1,104)] - $100
VPL = ($18,18 + $24,79 + $30,05 + $47,81) - $100
VPL = $20,84 (VPL > $0; maximização da riqueza).

Estimação do VPL para taxa de corte = 15% ao ano
VPL = [($20/1,151) + ($30/1,152) + ($40/1,153) + ($70/1,154)] - $100
VPL = ($17,39 + $22,68 + $26,30 + $40,02) - $100
VPL = $6,40 (VPL > $0; maximização da riqueza).

Estimação do VPL para taxa de corte = 19% ao ano
VPL = [($20/1,191) + ($30/1,192) + ($40/1,193) + ($70/1,194)] - $100
VPL = ($16,81 + $21,18 + $23,74 + $34,91) - $100
VPL = -$3,36 (VPL < $0; destruição da riqueza).

Estimação da IRR do projeto de investimento
[$20/(1+r)1 + $30/(1+r)2+ $40/(1+r)3+ $70/(1+r)4]- $100 = $0
Utilizando a HP 12C encontramos:
100 CHS g CFo
20 g CFj
30 g CFj
40 g CFj
70 g CFj
f IRR
No visor encontramos 17,55502679
Portanto, a IRR estimada para o projeto = 17,56% ao ano.

Observe que no gráfico cartesiano quando a taxa de desconto é igual a 0% o valor do VPL é igual a $60. Quando a taxa de desconto é igual a 10% o valor do VPL é $20,84. Quando a taxa de desconto é igual 17,56% (TIR) o VPL é igual a $0. Quando a taxa de desconto é igual a 19% o VPL é igual a -$3,36. Ou seja, para cada taxa de desconto (taxa de corte) temos um VPL, como cada encontro entre a taxa de desconto e o VPL corresponde a um ponto, podemos concluir que uma quantidade enorme desses pontos irá formar uma curva, essa curva se chama perfil de VPL. Portanto, podemos concluir que perfil de valor presente líquido (VPL) é uma representação gráfica da relação entre o VPL de um projeto de investimento e suas diversas taxas de descontos.
Segundo Brigham e Ehrhardt (2006) nesse exemplo estamos diante de um projeto independente, então os métodos do VPL e da IRR sempre levarão à mesma decisão de aceitar-rejeitar. Observe que enquanto a taxa de desconto (taxa de corte) for menor que 17,56% (TIR) o VPL do projeto será positivo (VPL >$0), tanto o método do VPL quanto o método da IRR irão recomendar o projeto, porque existe a maximização da riqueza do(s) proprietário(s) da empresa. A partir do instante em que a taxa de corte for = 17,56% (TIR) o projeto deverá ser descartado porque não será caracterizada a maximização da riqueza.




Tela 36
MÓDULO 2 – Técnicas da análise de orçamentos de capital

2) Projetos mutuamente excludentes. Suponhamos que os projetos A e B, de igual risco, são alternativas de expansão da capacidade produtiva da Empresa JJ S.A. A seguir os fluxos de caixa estimados dos projetos.

Ano
Investimento A
Investimento B
$
$
0
-100
-100
1
50
20
2
40
40
3
40
50
4
30
60

Nesse exemplo teremos um cálculo novo, a intersecção de Fisher (ponto de equilíbrio). Iremos operar também o valor do VPL para as seguintes taxas de desconto anuais: 0%, 5%, 10%, 15%, 25%. Com base nessas informações, pede-se:

(1) DFC estimado para cada projeto. (2) Estimar a IRR e justificar a escolha do projeto excludente. (3) Estimar o VPL e justificar a escolha do projeto excludente para cada taxa de corte. (4) Estimar a taxa de desconto para o ponto de Fisher (ponto de equilíbrio) e o VPL dos projetos. (5) Apresentar o gráfico cartesiano envolvendo os dois projetos excludentes. (6) Fazer o resumo de todas as decisões com base nos métodos do VPL e da IRR. (7) Tomar a decisão de investimento supondo uma taxa de desconto (taxa de corte) de 5% ao ano. (8) Suponhamos que os projetos não fossem mutuamente excludentes, mas independentes, como seria a decisão para cada taxa de desconto?

Solução

3) Projetos mutuamente excludentes. Suponhamos que os projetos A e B, de igual risco, são alternativas de expansão da capacidade produtiva da Empresa JJ S.A. A empresa tem capacidade para levantar o capital necessário para investir em projetos futuros. A seguir os fluxos de caixa estimados dos projetos.

Ano
Investimento A
Investimento B
$
$
0
-130
-100
1
25
54
2
35
40
3
45
30
4
50
10
5
55
5

Nesse exemplo iremos operar os três métodos estudados. Para o cálculo do VPL vamos operar mais as seguintes taxas anuais de desconto: 0%, 11,5%, 15,25%, 17% e 20%. Com base nessas informações, pede-se:

(1) DFC estimado para cada projeto. (2) Estimar o período de payback de cada projeto excludente e fazer a escolha do projeto excludente com a devida justificativa. (3) Estimar a IRR e justificar a escolha do projeto excludente. (4) Estimar a taxa de desconto para o ponto de Fisher (ponto de equilíbrio) e o VPL dos projetos. (5) Estimar o VPL e justificar a escolha do projeto excludente para cada taxa de desconto do nosso exemplo. (6) Apresentar o gráfico cartesiano envolvendo os dois projetos excludentes. (7) Fazer o resumo de todas as decisões com base nos métodos do VPL e da IRR. (8) Tomar a decisão de investimento supondo uma taxa de desconto (taxa de corte) de 11,5% ao ano. (9) Suponhamos que os projetos não fossem mutuamente excludentes, mas independentes, como seria a decisão para cada taxa de desconto?

Solução

-->


Solução 2

(1) DFC estimado para cada projeto excludente
DFC estimado para o projeto excludente A


DFC estimado para o projeto excludente B

(2) Operar o método da IRR
Estimar a IRR do projeto excludente A
[($50/(1+r)1 + ($40/(1+r)2 +($40/(1+r)3 +($30/(1+r)4] - $100 = $0
Utilizando a maquina financeira HP 12C:

100 CHS g CFo
50 g CFj
40 g CFj
40 g CFj
30 g CFj
f IRR
No visor da máquina encontramos 24,00351904
Logo, a IRR do projeto excludente A = 24% ao ano.

Estimar a IRR do projeto excludente B
[($20/(1+r)1 + ($40/(1+r)2 +($50/(1+r)3 +($60/(1+r)4] - $100 = $0
Utilizando a maquina financeira HP 12C:

100 CHS g CFo
20 g CFj
40 g CFj
50 g CFj
60 g CFj
f IRR
No visor da máquina encontramos 21,02875145
Logo, a IRR estimada do projeto excludente B = 21% ao ano.
Duas são as condições para a escolha de projetos mutuamente excludentes com base no método da IRR:
a) o projeto terá que apresentar VPL >$0
b) será escolhido o projeto que apresentar a maior IRR.

Com base no método da IRR será escolhido o projeto excludente A porque apresenta a maior IRR estimada (24%>21%). O projeto será escolhido enquanto o seu VPL for positivo (VPL >0%), portanto, para esse nosso exemplo, para o método da IRR, teremos o seguinte intervalo para a taxa de desconto: [0%=Taxa de desconto <24%).

(3) Operar o método do VPL para as taxas de corte solicitadas
Projeto excludente A
Taxa de desconto = 0%
VPLA = ($50 + $40 + $40 + $ 30) - $100
VPLA = $60
Taxa de desconto = 5% ao ano
VPLA = [($50/1,051) + ($40/1,052) + ($40/1,053) + ($30/1,054)] - $100
VPLA = $43,13
Taxa de desconto = 10% ao ano
VPLA = [($50/1,101) + ($40/1,102) + ($40/1,103) + ($30/1,104)] - $100
VPLA = $29,06
Taxa de desconto = 15% ao ano
VPLA = [($50/1,151) + ($40/1,152) + ($40/1,153) + ($30/1,154)] - $100
VPLA = $17,18
Taxa de desconto = 25% ao ano
VPLA = [($50/1,251) + ($40/1,252) + ($40/1,253) + ($30/1,254)] - $100
VPLA = -$1,63
Projeto excludente B
Taxa de desconto = 0%
VPLB = ($20 + $40 + $50 + $ 60) - $100
VPLB = $70
Taxa de desconto = 5% ao ano
VPLB = [($20/1,051) + ($40/1,052) + ($50/1,053) + ($60/1,054)] - $100
VPLB = $47,88
Taxa de desconto = 10% ao ano
VPLB = [($20/1,101) + ($40/1,102) + ($50/1,103) + ($60/1,104)] - $100
VPLB = $29,79
Taxa de desconto = 15% ao ano
VPLB = [($20/1,151) + ($40/1,152) + ($50/1,153) + ($60/1,154)] - $100
VPLB = $14,82
Taxa de desconto = 25% ao ano
VPLB = [($20/1,251) + ($40/1,252) + ($50/1,253) + ($60/1,254)] - $100
VPLB = -$8,22
Duas são as condições para a escolha de projetos mutuamente excludentes com base no método do VPL:
a) o projeto terá que apresentar VPL >$0
b) será escolhido o projeto que apresentar o maior VPL.
Taxa de corte = 0%
Os dois projetos apresentam VPL positivo, portanto os dois atendem a primeira condição, como estamos diante de projetos excludentes apenas um poderá ser escolhido, nesse caso, será o projeto excludente B porque apresenta o maior VPL estimado.
Taxa de corte = 5%
Os dois projetos apresentam VPL >$0, portanto os dois atendem a primeira condição.
O projeto B será escolhido porque apresenta o > VPL.
Taxa de corte = 10%
Os dois projetos apresentam VPL >$0, portanto os dois atendem a primeira condição.
O projeto B será escolhido porque apresenta o > VPL.
Taxa de corte = 15%
Os dois projetos apresentam VPL >$0, portanto os dois atendem a primeira condição.
O projeto A será escolhido porque apresenta o > VPL.
Taxa de corte = 25%
Os dois projetos apresentam VPL <$0, portanto, a essa taxa de corte, os dois são destruidores de riqueza; os dois não atendem a primeira condição, com isso, a essa taxa de corte os dois serão rejeitados.

(4) Intersecção de Fisher ou ponto de Fisher ou de equilíbrio.
Quando os perfis de VPL de dois projetos se cruzam, teremos um ponto. Esse ponto será formado por uma taxa de desconto e seu respectivo VPL. Ocorre que esse VPL terá o mesmo valor para os dois projetos. Como o valor do VPL será igual para os dois projetos excludentes, para o Método do VPL será indiferente na escolha dos projetos. É importante informar que nem sempre os perfis de VPL irão se cruzar.
Como calcular o ponto de Fisher? Para tanto iremos calcular a diferença entre os valores dos projetos, tanto faz no nosso exemplo operar “A-B” quanto “B-A”, se os perfis se cruzarem iremos encontrar uma taxa de desconto que irá permitir VPL igual para os dois projetos.
Vamos operar a diferença entre os projetos A- B
Ano 0: -$100 – ?$100 = $0
Ano 1: $50 - $ 20 = $30
Ano 2: $40 - $40 = $0
Ano 3: $40 - $50 = -$10
Ano 4: $30 - $60 = -$30
Vamos colocar esses valores estimados num DFC

O cálculo da taxa de desconto estimada tomando por base o DFC da diferença entre os dois projetos será operado da mesma forma que o cálculo da TIR.
$30/(1+r)1 – ($10/(1+r)3 + (30/(1+r)4) = $0
Através da HP 12C iremos encontrar:
0 g CFo
30 g CFj
0 g CFj
10 CHS g CFj
30 CHS g CFj
f IRR
No visor da máquina aparece 11,07039468
Ou seja, a taxa desconto no ponto de Fisher está estimada para 11,1% ao ano.
Se aplicarmos essa taxa de desconto em cada um dos projetos, iremos encontrar o mesmo VPL para os dois projetos. Vamos para os cálculos, nesse caso teremos que utilizar todas as casas decimais.
VPLA = ($50/1,11070394681 + $40/1,11070394682 + $40/1,11070394683 + $30/1,11070394684 ) - $100
VPLA = $26,34
VPLB = ($20/1,11070394681 + $40/1,11070394682 + $50/1,11070394683 + $60/1,11070394684 ) - $100
VPLB = $26,34

(5) Representação gráfica para os dois projetos excludentes

O conteúdo desta página requer uma versão mais recente do Adobe Flash Player.

Obter Adobe Flash player

Observe que os perfis de VPL são curvos. O ponto de Fisher (ponto de equilíbrio) mostra que existe uma divergência entre os métodos do VPL e da IRR. Para o seguinte intervalo: [0% = taxa de desconto<11,07039468%) o método do VPL recomenda o projeto excludente B, porque o projeto opera com VPL >$0 e o maior VPL; enquanto o método da IRR indica o projeto excludente A (VPL >$0 e maior IRR). Para o seguinte intervalo: (11,07039468% < taxa de desconto < 24,00351904%) os dois métodos não irão divergir, os dois irão indicar o projeto excludente A (VPL>$0 e > VPL). A partir do momento em que a taxa de desconto por =24,00351904% ao ano, nenhum dos dois projetos serão escolhidos porque não irá ocorrer mais a maximização da riqueza dos acionistas da JJ S.A.

(6) Resumo para projetos mutuamente excludentes

0%
5%
10%
11,1%
15%
21%
24%
25%
VPL
B
B
B
A ou B
A
A
Nihil
Nihil
IRR
A
A
A
A
A
A
Nihil
Nihil

(7) Supondo que a taxa de desconto (taxa de corte) seja igual a 5% ao ano, qual projeto excludente será escolhido?
Com base no método do VPL será escolhido o projeto excludente B porque a essa taxa de corte apresenta: VPL >$0 e maior VPL ($47,88 >$43,13); enquanto que o método da IRR irá indicar o projeto excludente A porque apresenta (VPL >$0 e maior IRR). Em finanças corporativas o objetivo de uma empresa é a maximização da riqueza do(s) proprietário (s) da empresa, nesse exemplo para uma taxa de desconto de 5% ao ano o projeto que agrega maior riqueza para os acionistas da empresa JJ S.A. é o projeto excludente B, porque apresenta o maior VPL. Portanto, será escolhido o projeto excludente B.

(8) Supondo que os projetos fossem independentes, para cada taxa de corte do exemplo, como seria a escolha com base nos métodos do VPL e da IRR?
Resumo para projetos independentes

0%
5%
10%
11,1%
15%
21%
24%
25%
VPL
A e B
A e B
A e B
A e B
A e B
A
Nihil
Nihil
IRR
A e B
A e B
A e B
A e B
A e B
A
Nihil
Nihil

Diante de projetos independentes, caso não exista qualquer tipo de restrição imposto pela empresa (no nosso exemplo isso não ocorre), basta que o VPL do projeto seja positivo para que o mesmo venha a ser escolhido tanto pelo método do VPL quanto do IRR. Portanto, diante de projetos independentes os métodos do VPL e da IRR não irão divergir.



Solução 3

(1) DFC estimado para cada projeto excludente

DFC estimado para o projeto excludente A

DFC estimado para o projeto excludente B

(2) Operar o método do período de payback

Payback do projeto A:
olhar para o DFC convencional, se você somar todas as entradas estimadas de caixa irá encontrar $210, portanto, $210 >$130, o período de payback estimado será menor que cinco anos. Caso o valor da soma fosse $130, o período de payback seria cinco anos; caso o valor fosse menor que $130, o período de payback estimado seria infinito, automaticamente a IRR seria negativa. Nesse exemplo a IRR será maior que 0% ao ano porque $210 >$130.
$25 + $35 +$ 45 = $105
$130 - $105 = $25
$25/$50 = 0,5 Ano
Período de payback estimado = 3,5 Anos.

Payback do projeto B:
olhar para o DFC, você já percebeu que não poderá somar as três primeiras entradas estimadas de caixa porque o valor encontrado será maior que o investimento inicial. Ao somar as duas primeiras entradas você percebe que o valor encontrado será menor que $100, logo, o payback estimado para esse projeto irá ficar entre o Ano 2 e o Ano 3.
$54 + $40 = $94
$100 - $94 = $6
$6/$30 = 0,20 Ano
Período de payback estimado = 2,2 Anos.

Com base no método do período de payback será escolhido o projeto excludente B porque se paga em menos tempo (2,2 anos <3,5 anos).

(3) Estimar a IRR do projeto excludente A
[$25/(1+r)1 + $35/(1+r)2 +$45/(1+r)3 + $50/(1+r)4 + $55/(1+r)5] - $130 = $0
Utilizando a maquina financeira HP 12C:
130 CHS g Cfo
25 g CFj
35 g CFj
45 g CFj
50 g CFj
55 g CFj
f IRR
No visor da máquina encontramos 16,055770
Logo, a IRR do projeto excludente A = 16,1% ao ano.
Estimar a IRR do projeto excludente B
[$54/(1+r)1 + $40/(1+r)2 +$30/(1+r)3 +$10/(1+r)4 + $5/(1 + r)5] - $100 = $0
Utilizando a maquina financeira HP 12C:
100 CHS g Cfo
54 g CFj
40 g CFj
30 g CFj
10 g CFj
5 g CFj
f IRR
No visor da máquina encontramos 18,057600

Logo, a IRR do projeto excludente B =18,1% ao ano.
Duas são as condições para a escolha de projetos mutuamente excludentes com base no método da IRR:
a) o projeto terá que apresentar VPL >$0
b) será escolhido o projeto que apresentar a maior IRR.

Com base no método da IRR será escolhido o projeto excludente B porque apresenta a maior IRR estimada (18,1%>16,1%). O projeto será escolhido enquanto o seu VPL for positivo (VPL >0%), portanto, para esse nosso exemplo, para o método da IRR, teremos o seguinte intervalo para a taxa de desconto: [0%=Taxa de desconto <18,1%).

(4) Estimar o ponto de Fisher
Vamos operar a diferença entre os projetos B - A
Ano 0: -$100 – ?$130 = $30
Ano 1: $54 - $25 = $29
Ano 2: $40 - $35 = $ 5
Ano 3: $30 - $45 = -$15
Ano 4: $10 - $50 = -$40
Ano 5: $ 5 - $55 = -$50
Vamos colocar esses valores estimados num DFC

O cálculo da taxa de desconto estimada tomando por base o DFC da diferença entre os dois projetos será operado da mesma forma que o cálculo da TIR.
[$30 + $29/(1+r)1+ $5/(1+r)2] – [$15/(1+r)3 + $40/(1+r)4 + $50(1+r)5] = $0
Através da HP 12C iremos encontrar:
30 g CFo
29 g CFj
5 g CFj
15 CHS g CFj
40 CHS g CFj
50 CHS g CFj
f IRR
No visor da máquina aparece 14,253622
Ou seja, a taxa desconto no ponto de Fisher está estimada para 14,25% ao ano.
Se aplicarmos essa taxa de desconto em cada um dos projetos, iremos encontrar o mesmo VPL para os dois projetos. Vamos para os cálculos, nesse caso teremos que utilizar todas as casas decimais.
VPLA = [$25/1,142536221 + $35/1,142536222 + $45/1,142536223 + $50/1,142536224 +$55/1+1,142536225] - $130
VPLA = $6,46
VPLB = [$54/1,142536221 + $40/1,142536222 + $30/1,142536223 + $10/1,142536224 +$5/1,142536225] - $100
VPLB = $6,46
Observe que com base no método do VPL será indiferente a escolha do projeto excludente no ponto de Fisher, porque a essa taxa de desconto (14,253622% ano) os dois projetos apresentam VPL >$0 e o mesmo valor para o VPL ($6,46). Por esse motivo o método do VPL poderá escolher o projeto excludente A ou projeto excludente B. Observe que não se trata de A e B, mas sim, A ou B.

(5) Estimar o valor do VPL para algumas taxas de desconto
Projeto excludente A
Taxa de desconto = 0%
VPLA = ($25 + $35 + $45 + $ 50 + $55) - $130
VPLA = $80
Taxa de desconto = 11,5% ao ano
VPLA = [$25/1,1151 + $35/1,1152 + $45/1,1153 + $50/1,1154 + $55/1,1155] - $130
VPLA = $17,30
Taxa de desconto = 15,25% ao ano
VPLA = [$25/1,15251 + $35/1,15252 + $45/1,15253 + $50/1,15254 + $55/1,15255] - $130
VPLA = $2,83
Taxa de desconto = 16,055770% ao ano
VPLA = [$25/1,160557701 + $35/1,160557702 + $45/1,160557703 + $50/1,160557704 + $55/1,160557705] - $130
VPLA = $0
Taxa de desconto = 17% ao ano
VPLA = [$25/1,171 + $35/1,172 + $45/1,173 + $50/1,174 + $55/1,175] - $130
VPLA = -$3,20
Taxa de desconto = 18,05760% ao ano
VPLA = [$25/1,18057601 + $35/1,18057602 + $45/1,18057603 + $50/1,18057604 + $55/1,18057605] - $130
VPLA = -$6,64
Taxa de desconto = 20% ao ano
VPLA = [$25/1,201 + $35/1,202 + $45/1,203 + $50/1,204 + $55/1,205] - $130
VPLA = -$12,60

Projeto excludente B
Taxa de desconto = 0%
VPLB = ($54 + $40 + $30 + $ 10 + $5) - $100
VPLB = $39
Taxa de desconto = 11,5% ao ano
VPLB = [$54/1,1151 + $40/1,1152 + $30/1,1153 + $10/1,1154 + $5/1,1155] - $100
VPLB = $11,62
Taxa de desconto = 15,25% ao ano
VPLB = [$54/1,15251 + $40/1,15252 + $30/1,15253 + $10/1,15254 + $5/1,15255] - $100
VPLB = $4,69
Taxa de desconto = 16,055770% ao ano
VPLB = [$54/1,160557701 + $40/1,160557702 + $30/1,160557703 + $10/1,160557704 + $5/1,160557705] - $100
VPLB = $3,31
Taxa de desconto = 17% ao ano
VPLB = [$54/1,171 + $40/1,172 + $30/1,173 + $10/1,174 + $5/1,175] - $100
VPLB = $1,72
Taxa de desconto = 18,05760% ao ano
VPLB = [$54/1,18057601 + $40/1,18057602 + $30/1,18057603 + $10/1,18057604 + $5/1,18057605] - $100
VPLB = $0
Taxa de desconto = 20% ao ano
VPLB = [$54/1,201 + $40/1,202 + $30/1,203+ $10/1,204 + $5/1,205] - $100
VPLB = -$3,03
Taxa de corte = 0%
Os dois projetos apresentam VPL positivo, portanto os dois atendem a primeira condição, como estamos diante de projetos excludentes apenas um poderá ser escolhido, nesse caso, será o projeto excludente A porque apresenta o maior VPL estimado.
Taxa de corte = 11,5%
Os dois projetos apresentam VPL >$0, portanto os dois atendem a primeira condição.
O projeto A será escolhido porque apresenta o > VPL.
Taxa de corte = 14,253622%
Os dois projetos apresentam VPL >$0, portanto os dois atendem a primeira condição. Por estarmos no ponto de Fisher, será indiferente escolher A ou B.
Taxa de corte = 15,25%
Os dois projetos apresentam VPL >$0, portanto os dois atendem a primeira condição.
O projeto A será escolhido porque apresenta o > VPL.
Taxa de corte = 16,055770%
Essa taxa de desconto é igual a IRR do projeto excludente A, portanto, o VPLA =$0, enquanto que para o projeto excludente B o VPL >$0, portanto, o projeto agrega riqueza aos acionistas da empresa, ele será o projeto escolhido.
Taxa de corte = 17%
Para essa taxa de corte o projeto excludente A é destruidor de riqueza porque seu VPL estimado é negativo (VPL <$0), enquanto o projeto excludente B ainda apresente VPL >$0, porque 17% é uma taxa de desconto menor que a TIR do projeto. O projeto B será o projeto escolhido porque maximiza a riqueza dos acionistas da empresa.
Taxa de corte = 18,05760%
Observe que o projeto excludente A para essa taxa de desconto é um destruidor de riqueza porque opera com VPL <$0. Por sua vez, essa taxa de desconto é igual à TIR do projeto excludente B, nesse caso, o VPLB =$0. Com isso nenhum dos projetos aumenta a riqueza dos acionistas da empresa, logo, nenhum deles será escolhido.
Taxa de corte = 20%
Os dois projetos apresentam VPL <$0, portanto, a essa taxa de corte, os dois são destruidores de riqueza; os dois não atendem a primeira condição, com isso, a essa taxa de corte os dois serão rejeitados.

Você deve estar questionando um fato nesse exemplo: o investimento inicial não apresenta o mesmo valor para os dois projetos, portanto, é justo fazer a análise diante dessa situação?
Damodaran (2004, p.265) afirma: “O valor presente líquido de um projeto é definido em dólares e não leva em consideração a escala do projeto. Desse modo, um valor presente líquido de US$50 milhões sobre um investimento de US$100 milhões poderia ser comparado a um valor presente líquido de US$75 milhões sobre um investimento de US$1 bilhão. A taxa interna de retorno, em contrapartida, é uma taxa de retorno percentual, que é definida segundo a escala do projeto. Quando estamos escolhendo entre projetos mutuamente excludentes, com investimentos muito distintos, a diferença na forma como as duas abordagens mensuram retornos pode levar a resultados bastante variados”.

(6) Representação gráfica para os dois projetos excludentes


(7) Resumo para projetos mutuamente excludentes

0%
11,5%
14,25%
15,25%
16,1%
17%
18,1%
20%
VPL
A
A
A ou B
B
B
B
Nihil
Nihil
IRR
B
B
B
B
B
B
Nihil
Nihil

(8) Supondo que a taxa de desconto (taxa de corte) seja igual a 11,5% ao ano, qual projeto excludente será escolhido?
Com base no método do VPL será escolhido o projeto excludente A porque a essa taxa de corte apresenta: VPL >$0 e maior VPL ($17,30 >$11,62); enquanto que o método da IRR irá indicar o projeto excludente B porque apresenta (VPL >$0 e maior IRR). Em finanças corporativas o objetivo de uma empresa é a maximização da riqueza do(s) proprietário (s) da empresa, nesse exemplo para uma taxa de desconto de 11,5% ao ano o projeto que agrega maior riqueza para os acionistas da empresa JJ S.A. é o projeto excludente A, porque apresenta o maior VPL. Portanto, será escolhido o projeto excludente A.

(9) Supondo que os projetos fossem independentes, para cada taxa de corte do exemplo, como seria a escolha com base nos métodos do VPL e da IRR?
Resumo para projetos independentes

0%
11,5%
14,25%
15,25%
16,1%
17%
18,1%
20%
VPL
A e B
A e B
A e B
A e B
B
B
Nihil
Nihil
IRR
A e B
A e B
A e B
A e B
B
B
Nihil
Nihil

Diante de projetos independentes, caso não exista qualquer tipo de restrição imposto pela empresa (no nosso exemplo isso não ocorre), basta que o VPL do projeto seja positivo para que o mesmo venha a ser escolhido tanto pelo método do VPL quanto do IRR. Portanto, diante de projetos independentes os métodos do VPL e da IRR não irão divergir.



Tela 37
MÓDULO 2 – Técnicas da análise de orçamentos de capital
4 - Comparação dos métodos VPL e IRR 

Diante de projetos independentes os métodos do VPL e da IRR não irão divergir; agora, diante de projetos mutuamente excludentes será possível a existência de divergência entre os dois métodos. Quando a divergência ocorrer o administrador terá que decidir entre a escolha de um projeto com menor retorno e maior VPL ou escolher um projeto com maior retorno e menor VPL. Como em finanças corporativas o objetivo de uma empresa é maximização da riqueza do(s) proprietário(s) da empresa, veremos que o método do VPL será preferível ao método da IRR. Os exemplos a seguir são destinados a um melhor entendimento dos dois métodos sofisticados envolvendo o fluxo de caixa descontado.

Segundo Brigham, Gapenski e Ehrhardt (2001) em muitos aspectos, o método do VPL é melhor do que o método do IRR que, entretanto, é familiar a muitos executivos de empresas; ele está amplamente entrincheirado na indústria e possui algumas virtudes.

1) Suponha a análise de um único projeto de investimento com os seguintes valores estimados:

Ano
Investimento
Fluxo de Caixa
Inicial
Ano 1
Ano 2
Ano 3
Ano 4
$
$
$
$
$
0
100
20
30
40
70

Vamos calcular para cada uma das seguintes taxas de corte anuais o valor do VPL: 0%, 10%, 15% e 19%, e, logo a seguir, operar a TIR. Isso feito, colocar todas essas informações num gráfico cartesiano. Não esquecer que o processo deve iniciar sempre com o DFC estimado para o projeto de investimento.

Solução

__________________ Guardar ____________

Suponha a existência de duas alternativas de investimento, mutuamente excludentes.

Investimento
Ano 0
Ano 1
Ano 2
Ano 3
IRR
A
($250)
$180
$120
$50
23,81% a.a.
B
($350)
$ 90
$220
$230
21,72% a.a


Solução

DFC estimado para o projeto de investimento:

Estimação do VPL para taxa de corte = 0% ao ano
VPL = ($20 + $30 + $40 + $70) - $100
VPL = $60 (VPL > $0; maximização da riqueza).

Estimação do VPL para taxa de corte = 10% ao ano
VPL = [($20/1,101) + ($30/1,102) + ($40/1,103) + ($70/1,104)] - $100
VPL = ($18,18 + $24,79 + $30,05 + $47,81) - $100
VPL = $20,84 (VPL > $0; maximização da riqueza).

Estimação do VPL para taxa de corte = 15% ao ano
VPL = [($20/1,151) + ($30/1,152) + ($40/1,153) + ($70/1,154)] - $100
VPL = ($17,39 + $22,68 + $26,30 + $40,02) - $100
VPL = $6,40 (VPL > $0; maximização da riqueza).

Estimação do VPL para taxa de corte = 19% ao ano
VPL = [($20/1,191) + ($30/1,192) + ($40/1,193) + ($70/1,194)] - $100
VPL = ($16,81 + $21,18 + $23,74 + $34,91) - $100
VPL = -$3,36 (VPL < $0; destruição da riqueza).

Estimação da IRR do projeto de investimento
[$20/(1+r)1 + $30/(1+r)2+ $40/(1+r)3+ $70/(1+r)4]- $100 = $0
Utilizando a HP 12C encontramos:
100 CHS g CFo
20 g CFj
30 g CFj
40 g CFj
70 g CFj
f IRR
No visor encontramos 17,55502679
Portanto, a IRR estimada para o projeto = 17,56% ao ano.

Observe que no gráfico cartesiano quando a taxa de desconto é igual a 0% o valor do VPL é igual a $60. Quando a taxa de desconto é igual a 10% o valor do VPL é $20,84. Quando a taxa de desconto é igual 17,56% (TIR) o VPL é igual a $0. Quando a taxa de desconto é igual a 19% o VPL é igual a -$3,36. Ou seja, para cada taxa de desconto (taxa de corte) temos um VPL, como cada encontro entre a taxa de desconto e o VPL corresponde a um ponto, podemos concluir que uma quantidade enorme desses pontos irá formar uma curva, essa curva se chama perfil de VPL. No exemplo não temos uma curva, ocorre que para facilitar o entendimento operamos com uma reta. Portanto, podemos concluir que perfil de valor presente líquido (VPL) é uma representação gráfica da relação entre o VPL de um projeto de investimento e suas diversas taxas de descontos.
Segundo Brigham e Ehrhardt (2006) nesse exemplo estamos diante de um projeto independente, então os métodos do VPL e da IRR sempre levarão à mesma decisão de aceitar-rejeitar. Observe que enquanto a taxa de desconto (taxa de corte) for menor que 17,56% (TIR) o VPL do projeto será positivo (VPL >$0), tanto o método do VPL quanto o método da IRR irão recomendar o projeto, porque existe a maximização da riqueza do(s) proprietário(s) da empresa. A partir do instante em que a taxa de corte for = 17,56% (TIR) o projeto deverá ser descartado porque não será caracterizada a maximização da riqueza.




Tela 38
MÓDULO 2 – Técnicas da análise de orçamentos de capital
Resumo

A classificação de projetos pode ser feita de várias formas, no entanto, três se destacam: o método do payback, o método do valor presente líquido (VPL ou NPV) e o método do IRR.

O método do payback foi o primeiro método formal utilizado, é freqüentemente empregado por empresas de grande porte, para tomada de decisões pelos escalões menores, como forma de treinamento para futuras decisões, em nível de diretoria. É definido como o número esperado de anos necessários para recuperar o investimento original de um projeto. Uma das suas desvantagens está no fato de ignorar o valor do dinheiro no tempo.

O método do VPL se baseia em técnicas de fluxo de caixa descontado. Quando o VPL é usado para tomar decisões do tipo “aceitar-rejeitar”, adota-se o seguinte critério: se o VPL for maior que zero, se aceita o projeto; se o VPL for menor do que zero, rejeita-se o projeto.

A lógica do VPL é direta. Um VPL de zero significa que os fluxos de caixa do projeto são suficientes somente para pagar o capital investido e para proporcionar a taxa de retorno requerida sobre esse capital.

Por sua vez, a taxa interna de retorno (TIR ou IRR) é a taxa de desconto que iguala o valor presente das entradas de caixa ao investimento inicial referente a um projeto. Resulta, desse modo, em VPL = $0.

Matematicamente, os métodos NPV e IRR sempre levarão às mesmas decisões de aceitar/rejeitar para projetos independentes pois, para que o VPL seja positivo, o IRR deve exceder o custo de capital , ka. Entretanto, o NPV e o IRR podem levar a classificações conflitantes para projetos mutuamente excludentes.

O gráfico que relaciona o VPL de um projeto à taxa de desconto é definido como o perfil do valor presente líquido de um projeto.

Em muitos aspectos, o método do VPL é melhor do que o método do IRR. Entretanto, o método do IRR é familiar a muitos executivos de empresas; ele está amplamente divulgado na indústria e possui algumas virtudes.



Unidade 4 Módulo 3
Tela 39
Módulo 03 – Decisões de investimento em condições de risco

1 - Abordagens para lidar com o risco

Pense um pouco, será que as projeções de entrada de caixa operacional ocorrem sem qualquer tipo de problema?

As entradas de caixa operacionais, em sua maior parte, estão sujeitas a muitas turbulências. Política de juro real elevada; carga tributária alta, com baixo retorno para a sociedade; taxas de desemprego elevadas; políticas comerciais protecionistas, etc; são fatores que tendem a prejudicar as referidas entradas de caixa dos projetos de investimento das empresas.

Gitman (1997) vê o risco de um projeto de orçamento de capital convencional refletido pela variabilidade de suas entradas de caixa. As entradas, naturalmente, são conseqüências de variáveis que possuem riscos: vendas, despesas e impostos. Tem-se, portanto, como exemplo, o nível das vendas, o custo das matérias-primas, os salários, as tarifas públicas e as alíquotas de impostos.



Tela 40
Módulo 03 – Decisões de investimento em condições de risco
2 - Análise de sensibilidade

É a abordagem comportamental que utiliza inúmeros valores possíveis para uma determinada variável, a fim de avaliar o seu impacto no retorno da empresa. Em orçamento de capital, uma das abordagens de sensibilidade mais comum é estimar os VPLs associados a estimativas de entradas de caixa pessimista, mais prováveis e otimistas. Subtraindo-se o resultado pessimista de VPL do resultado otimista, a amplitude provável de resultado pode ser determinada. Quanto maior a amplitude ou a faixa, maior é a variabilidade, ou o risco, do projeto.

Assaf Neto (2003, p. 334) afirma que: “a análise de sensibilidade é uma metodologia de avaliação do risco, que revela em quanto o resultado econômico (NPV) de um investimento se modificará diante de alterações em variáveis estimadas dos fluxos de caixa.”



Tela 41
Módulo 03 – Decisões de investimento em condições de risco
Exemplo

A Empresa Alfa opera com o custo de capital, k, igual a 19,5% a.a. e, está considerando investir em um de dois projetos mutuamente excludentes, A e B. Cada projeto exige investimento inicial de $30.000 e promete entradas de caixa operacionais anuais iguais, durante 10 anos de vida. O Projeto A, refere-se a um equipamento para utilizar exclusivamente matéria-prima nacional. O Projeto B, refere-se a um equipamento que empregará apenas matéria-prima importada. O diretor financeiro de Alfa opera com a seguinte análise de sensibilidade para os dois projetos:

Análise de sensibilidade para os projetos “A” e “B” de Alfa

Você deve estar curioso com os números do quadro.

Observe:

a) segundo Gitman (2004) a condição para aprovação de um projeto, com base no método do VPL, é a seguinte: VPL >0. O exercício informa: investimento inicial, período de maturação e custo de capital. Ele não informa o valor das entradas de caixa operacional. Como chegar nele? Você se lembra da Matemática Financeira, do fator de valor presente; que tal operá-lo agora!

b)

PV = PMT x FPV (i, n)
$ 30.000 = PMT x 1 – (1+0,195)-10/0,195
PMT = 30.000/4,26465742
PMT = $7.034,562696

Logo, para VPL > 0 será necessário que as entradas de caixa operacionais sejam maiores do que $7.034,562696.

Observe que a amplitude do Projeto A é menor que a do Projeto B, isto é, $2.400 < $12.100, o que caracteriza o Projeto A menos arriscado do que o Projeto B. Mas existe um problema, os valores presentes líquidos, como surgiram aqueles valores?



Tela 42
Módulo 03 – Decisões de investimento em condições de risco
Observe: se você operar o valor presente líquido de cada uma das entradas previstas, irá encontrar:

Projeto A
Pessimista: VPL = -$30.000 + {$ 7.100 x [1- (1 + 0,195)-10]/0,195}
VPL = $279

Projeto B
Pessimista: VPL = - $30.000 + {$0 x [1- (1+0,195)-10]/0,195
VPL = -$30.000

Projeto A e Projeto B
Mais provável:VPL=-$30.000+ {$8.500 x[1- (1+0,195)-10]/0,195}
VPL = $6.250

Projeto A
Otimista: VPL = -$30.000 + {$9.500 x [1 – (1+0,195)-10]/0,195
VPL = $ 10.514

Projeto B
Otimista: VPL = -$30.000 + {$12.100 x [1- (1+0,195)-10]/0,195}
VPL = $21.602

Amplitude:
Projeto A : $10.514 - $279 = $10.235
Projeto B : $21.602 - ($30.000) = $51.602

Comparando as amplitudes de VPLs ($10.235 para o Projeto A e $51.602 para o Projeto B), verifica-se que o Projeto A é menos arriscado que o Projeto B.


Tela 43
Módulo 03 – Decisões de investimento em condições de risco
3 - Equivalentes à certeza (ECs)

Uma das abordagens mais direta e teoricamente preferível para o ajuste do risco é o uso dos equivalentes à certeza. Eles representam a porcentagem de uma entrada de caixa estimada, que os investidores ficariam satisfeitos em receber com certeza, substituindo entradas de caixa possíveis, a cada ano.

Gitman (2004) apresenta a equação básica para o VPL, quando os equivalentes à certeza são usados para ajuste ao risco:

onde:
t = fator de equivalente à certeza no ano t (0 ≤
t 1)
FCt = entrada de caixa relevante no ano t
RF = taxa de retorno livre de risco

II = Investimento inicial

A equação mostra que o projeto é ajustado ao risco; converte, em primeiro lugar, as entradas de caixa esperadas em montantes certos, t x FCt, e, então, desconta as entradas de caixa pela taxa livre de risco, RF. A taxa livre de risco, RF, é a taxa de retorno que se ganharia em investimento virtualmente sem risco, tal como um título do governo. Ela é empregada para descontar entradas de caixa certas e não deve ser confundida com a taxa de desconto ajustada ao risco. Se fosse usada uma taxa ajustada ao risco, o risco estaria, na verdade, sendo contado em dobro.



Tela 44
Módulo 03 – Decisões de investimento em condições de risco
Exemplo

A Empresa Complicada montou um quadro, mostrado abaixo, que apresenta as entradas de caixa esperadas e os fatores de equivalentes à certeza, correspondentes a essas entradas de caixa. Esses dados são para uma nova máquina com cinco anos de vida, que exige um investimento inicial de $95.000. A empresa tem um custo de capital de 15% e uma taxa de desconto livre de risco de 10%.

a. Qual é o valor presente líquido (sem ajuste ao risco)?

b. Qual é o valor presente líquido ajustado pelos fatores de equivalência à certeza?

c. A empresa deveria aceitar o projeto? Explique.

d. Os administradores têm dúvidas a respeito das estimativas dos fatores de equivalentes à certeza para o quinto ano. Existem evidências de que ele poderá não ser mais baixo do que o quarto ano. Qual o impacto que teria na decisão que você recomendou em c? Explique.

Solução



Solução

a) VPL = - $95.000 + 35.000 x [1- (1+ 0,l5)-5]/0,15
VPL = $22.325,43

b)VPL= - $95.000+[(35.000 x 1,0)/(1+0,10)1+(35.000x0,8)/(1+0,10)2 + +(35.000 x0,6)/(1 + 0,10)3+(35.000 x 0,6)/(1 + 0,10)4+(35.000 x 0,2)/(1+0,10)5]
VPL = - $95.000 + 89.426,02
VPL = - $5.573,98

c) Não, a empresa não deveria aceitar o projeto. A após o ajuste ao risco, a abordagem do equivalente à certeza apresenta VPL negativo.

d) O impacto seria o seguinte:
VPL= - $95.000+[(35.000x1,0)/(1,0+0,l0)1+(35.000x0,8)/(1,0+0,10)2 + (35.000 x 0,6)/(1,0 + 0,10)3 + (35.000 x 0,6)/(1,0 + 0,10)4 + (35.000 x 0,6)/(1,0 +0,10)5]
VPL = $3.118,92

Logo, o projeto seria aceito, porque apresenta VPL > 0. A riqueza do acionista seria incrementada em $3.118,92. Segundo Gitman (1997), a utilidade da abordagem do equivalente à certeza para o ajuste ao risco deveria ficar bem clara; a única dificuldade reside na necessidade de se efetuarem estimativas subjetivas dos fatores de equivalentes à certeza.



Tela 45
Módulo 03 – Decisões de investimento em condições de risco
4- Taxas de desconto ajustadas por risco (TADRs)

Segundo Gitman (2004), a taxa de desconto ajustada por risco (TADR) é a taxa de retorno que deve ser obtida em um projeto para recompensar os proprietários da empresa adequadamente – ou seja , para manter ou aumentar o preço da ação. Quanto mais elevado o risco de um projeto, maior a TADR e, portanto, menor o valor presente líquido de uma série de entradas de caixa.

Na prática, as empresas criam uma série de classes de risco, atribuindo uma TADR a cada uma. Cada projeto é colocado subjetivamente na classe apropriada de risco e a TADR correspondente é usada para avaliá-lo. Isso às vezes é feito em divisão por divisão; nesse caso cada divisão possui um conjunto de classes de risco e TADRs associadas.

A tabela a seguir poderá sintetizar um melhor entendimento da classe de risco e TADRs.


Tela 46
Módulo 03 – Decisões de investimento em condições de risco
Classes de risco e TADRs de uma empresa que opera em mais de um setor
Classe de risco
Descrição
Taxas de desconto ajustada por risco, TADR
I
Risco abaixo da média: projetos com baixo risco. Geralmente envolvem substituições rotineiras, sem a modificação das atividades já existentes.
10%
II
Risco médio: projetos semelhantes àqueles atualmente em execução. Costuma envolver a substituição ou a reforma de atividades existentes.
15,5%
III
Risco acima da média: projetos com risco acima do normal, mas não excessivo. É comum implicarem expansão de atividades já existentes ou semelhantes.
18,5%
IV
Risco máximo: projetos com risco muito alto. Em geral envolvem expansão em atividades novas ou pouco conhecidas.
24%


Tela 47
Módulo 03 – Decisões de investimento em condições de risco

Exemplo:

A Empresa JJ está analisando dois projetos mutuamente exclusivos, A e B. A tabela a seguir mostra a relação entre um índice de risco e o retorno exigido (TADR) aplicável à empresa.

Índice de risco
Retorno exigido (TADR)
0
8,5%
0,2
9,5%
0,6
12,5%
1,0
14,25%
1,4
17,5%
1,8
21,5%
2,0
22,5%

Os dados dos projetos são os seguintes:

  Projeto A Projeto B
Investimento inicial (FC0) $16.000 $22.000
Duração do projeto 4 anos 4 anos
Entrada anual de caixa (FCt) $ 8.000 $12.000
Índice de risco 0,6 2,0

Pede-se: (1) Ignorando quaisquer diferenças em termos de risco e supondo que o custo de capital da empresa seja de 12%, calcule o VPL de cada projeto. (2) Use o VPL para avaliar os projetos, empregando taxas de desconto por risco (TADRs) para levar em conta o risco. (3) Compare e explique os resultados obtidos nos itens (1) e (2).

Solução



Solução

(1)
VPLA = [$8.000/(1+0,12)1 + $8.000/(1+0,12)2 + $8.000/(1+0,12)3 + $8.000/(1+0,12)4] - $16.000
VPLA = $8.298,79
VPLB = [$12.000/(1+0,12)1 + $12.000/(1+0,12)2 + $12.000/(1+0,12)3 + $12.000/(1+0,12)4] - $22.000
VPLB = $14.448,19
O projeto preferido seria o B, pois possui: VPL positivo e, o maior VPL.
(2)
VPLA = [$8.000/(1+0,125)1 + $8.000/(1+0,125)2 + $8.000/(1+0,125)3 + $8.000/(1+0,125)4] - $16.000
VPLA = $8.045,11
VPLB = [$12.000/(1+0,225)1 + $12.000/(1+0,225)2 + $12.000/(1+0,225)3 + $12.000/(1+0,225)4] - $22.000
VPLB = $7.649,37

O projeto preferido seria o A, pois possui: VPL positivo e, o maior VPL.
(3)
Quando as diferenças de risco foram ignoradas no item (1), o Projeto B era preferível ao Projeto A, entretanto, a ser levado em conta na análise que o Projeto B é mais arriscado e sendo usadas taxas de desconto ajustadas por risco no item (2), vê-se que o melhor projeto é o Projeto A. Claramente, é o projeto que deve ser implantado.



Tela 48
Módulo 03 – Decisões de investimento em condições de risco
A SML

Quando estudamos o CAPM no Módulo 3 da Unidade II, o risco total de um ativo foi assim definido:


Risco total = Risco não diversificável + Risco diversificável

No caso de ativos negociados em um mercado eficiente, o risco diversificável , que resulta de eventos não controláveis ou aleatórios, pode ser eliminado com a montagem de carteiras diversificadas. O risco relevante é, portanto, o risco não diversificável, e é por ele que os donos de ativos são remunerados. Esse tipo de risco comumente é medido pelo beta, um índice do grau de variação do retorno de um ativo em resposta a uma variação do retorno de mercado.

A equação do CAPM: kj = RF + [ßj x (kM - RF)] mostra que o retorno exigido de um ativo pode ser determinado inserindo-se valores de RF, ßj e kM no CAPM. Qualquer título que deva render mais do que seu retorno exigido seria aceitável para fins de aplicação, e os títulos com expectativas de taxa de retorno inferior seriam rejeitados.
Se supusermos, por um momento, que os ativos reais das empresas (computadores, máquinas, veículos etc.) são negociados em mercados eficientes, o CAPM pode ser redefinido como é feito na seguinte equação:


kprojetoj = RF + [ßprojetoj x (kM - RF)]

A linha de mercado de títulos (SML) – a representação gráfica do CAPM- é apresentada na Figura a seguir. Qualquer projeto com IRR acima da SML seria aceitável, porque sua IRR seria superior ao retorno exigido, kprojeto; qualquer projeto com IRR inferior a kprojeto seria rejeitado. Em termos de VPL, qualquer projeto acima da SML teria VPL positivo e qualquer projeto abaixo da SML teria VPL negativo.




Tela 49
Módulo 03 – Decisões de investimento em condições de risco
Exemplo:

1) A Empresa JJ está analisando dois investimentos mutuamente excludentes. O prêmio pelo risco de mercado é de 6% e a taxa de retorno livre de risco é de 10%. Os fluxos de caixa associados aos dois projetos são os seguintes:


Projeto X
Projeto Y
Investimento inicial
$70.000
$60.000
Ano(t)
Entradas de caixa (FCt)
1
$25.000
$23.000
2
$25.000
$23.000
3
$25.000
$23.000
4
$25.000
$23.000

Suponha que o beta do Projeto X seja igual a 1,5 e o beta do Projeto Y seja igual a 1,15, utilizando-se o retorno exigido, com base no CAPM, como taxa de corte, o que você observa?

Solução

Podemos observar que, utilizando-se o CAPM como taxa de corte, o projeto mutuamente excludente X seria rejeitado porque apresenta uma taxa interna de retorno menor que o retorno mínimo exigido, isto é, 15,97% < 19%, portanto, este projeto sendo colocado em andamento iria destruir riqueza do acionista já que iria operar com um VPL= -$4.035,36. Por sua vez, o projeto mutuamente excludente Y, apresenta uma IRR maior do que o retorno mínimo exigido, isto é, 19,60% >16,9%, logo, colocando-se ele em andamento, a riqueza do acionista seria incrementada, em termos econômicos, em $3.218,92.



Solução

IRRprojetoX [$25.000/(1+i)1 + $25.000/(1+i)2 + $25.000/(1+i)3 + $25.000/(1+i)4] - $70.000 = $0
IRRprojetoX =15,9674464% ao ano
kprojetoX = RF + [ßprojetoX (kM - RF)]
kprojetoX = 10 + (1,5 x 6)
kprojetoX = 19%
VPLprojetoX = [$25.000/(1+0,19)1 + $25.000/(1+0,19)2 + $25.000/(1+0,19)3 + $25.000/(1+0,19)4] - $70.000
VPLprojetoX = -$4.035,36

IRRprojetoY [$23.000/(1+i)1 + $23.000/(1+i)2 + $23.000/(1+i)3 + $23.000/(1+i)4] - $60.000 = $0
IRRprojetoY =19,59574750% ao ano
kprojetoY = RF + [ßprojetoY x (kM - RF)]
kprojetoY = 10 + (1,15 x 6)
kprojetoY =16,9%
VPLprojetoY = [$23.000/(1+0,169)1 + $23.000/(1+0,169)2 + $23.000/(1+0,169)3 + $23.000/(1+0,169)4] - $60.000
VPLprojetoY = $3.218,92

<<fechar



Tela 50
Módulo 03 – Decisões de investimento em condições de risco

2) A Empresa NN está analisando dois investimentos mutuamente excludentes. O prêmio pelo risco de mercado é de 4,5% e a taxa de retorno livre de risco é de 9,25%. Os fluxos de caixa associados aos dois projetos são os seguintes:

  Projeto A Projeto B
Investimento inicial $50.000 $40.000
Ano(t) Entradas de caixa (FCt)
1 $15.000 $13.000
2 $17.000 $13.000
3 $18.000 $13.000
4 $19.000 $13.000

Suponha que o beta do Projeto A seja igual a 1,0 e o beta do Projeto B seja igual a 1,10, utilizando-se o retorno exigido, com base no CAPM, como taxa de corte, o que você observa?

Solução

Utilizando-se o retorno exigido, com base no CAPM, como fator de corte, observa-se que os dois projetos excludentes seriam rejeitados, pois, ambos apresentam IRR menor do que o retorno mínimo exigido, logo, ambos iriam provocar destruição de riqueza para o acionista.

Na verdade, nestes dois exemplos, utilizamos o CAPM como uma taxa de desconto ajustada por risco (TADR).



Solução

IRRprojetoA [$15.000/(1+i)1 + $17.000/(1+i)2 + $18.000/(1+i)3 + $19.000/(1+i)4] - $50.000 = $0
IRRprojetoA =13,66015094% ao ano
kprojetoA = RF + [ßprojetoA x (kM - RF)]
kprojetoA = 9,25 + (1,0x 4,5)
kprojetoA = 13,75%
VPLprojetoA = [$15.000/(1+0,1375)1 + $17.000/(1+0,1375)2 + $18.000/(1+0,1375)3 + $19.000/(1+0,1375)4] - $50.000
VPLprojetoA = -$96,16

IRRprojetoB [$13.000/(1+i)1 + $13.000/(1+i)2 + $13.000/(1+i)3 + $13.000/(1+i)4] - $40.000 = $0
IRRprojetoB =11,38792781% ao ano
kprojetoB = RF + [ßprojetoB x (kM - RF)]
kprojetoB = 9,25 + (1,10 x 4,5)
kprojetoB =14,20%
VPLprojetoB = [$13.000/(1+0,142)1 + $13.000/(1+0,142)2 + $13.000/(1+0,142)3 + $13.000/(1+0,142)4] - $40.000
VPLprojetoB = -$2.276,52

<<fechar



Tela 51
Módulo 03 – Decisões de investimento em condições de risco
A SML E O WACC

Segundo Ross, Westerfield e Jordan (2000), o uso do custo médio ponderado de capital (WACC) como taxa de desconto para fluxos de caixa futuros, só é apropriado quando o investimento proposto é semelhante às atividades já existentes na empresa. Imagine, por exemplo, uma empresa que possui duas divisões: uma empresa telefônica regulamentada pelo governo e uma unidade de fabricação de produtos eletrônicos. A primeira delas (a telefônica) tem risco relativamente baixo, e a segunda um risco relativamente alto.

Nesse caso, o custo de capital total da empresa, na realidade, é uma combinação de dois custos de capitais, um de cada divisão. Se as duas divisões estiverem competindo por recursos e a empresa utilizar um WACC único como taxa de corte, qual será a divisão que ganhará mais fundos para investimento?

A resposta é que a divisão mais arriscada tenderia a alcançar retornos mais elevados (ignorando-se o fato de que possui risco mais elevado), e portanto tenderia a ser a “vencedora”. As operações menos charmosas poderiam ter um potencial maior de rentabilidade, que acabaria por ser ignorado.

Exemplo



Exemplo

IRRprojetoA [$15.000/(1+i)1 + $17.000/(1+i)2 + $18.000/(1+i)3 + $19.000/(1+i)4] - $50.000 = $0
IRRprojetoA =13,66015094% ao ano
kprojetoA = RF + [ßprojetoA x (kM - RF)]
kprojetoA = 9,25 + (1,0x 4,5)
kprojetoA = 13,75%
VPLprojetoA = [$15.000/(1+0,1375)1 + $17.000/(1+0,1375)2 + $18.000/(1+0,1375)3 + $19.000/(1+0,1375)4] - $50.000
VPLprojetoA = -$96,16

IRRprojetoB [$13.000/(1+i)1 + $13.000/(1+i)2 + $13.000/(1+i)3 + $13.000/(1+i)4] - $40.000 = $0
IRRprojetoB =19,59574750% ao ano
kprojetoB = RF + [ßprojetoB x (kM - RF)]
kprojetoB = 9,25 + (1,10 x 4,5)
kprojetoB =14,20%
VPLprojetoB = [$13.000/(1+0,142)1 + $13.000/(1+0,142)2 + $13.000/(1+0,142)3 + $13.000/(1+0,142)4] - $40.000
VPLprojetoB = -$2.276,52

<<fechar



Tela 52
Módulo 03 – Decisões de investimento em condições de risco
Suponha que a Empresa Alfa possua um custo de capital de 13,5%. Imagine que a taxa livre de risco é de 7,5% e que o prêmio pelo risco de mercado é de 6,0%. Alfa, para simplificar, é financiada exclusivamente por capital próprio, sendo o seu beta igual a 1,0. Com base no CAPM calcule o retorno exigido para Alfa, bem como faça a demonstração gráfica da SML e do custo médio ponderado de capital (WACC).
kAlfa = 7,5 + (1,0 x 6,0)
kAlfa = 13,5%

Representação Gráfica:




Tela 53
Módulo 03 – Decisões de investimento em condições de risco
Vamos supor que Alfa utilize o WACC para avaliar todos os seus investimentos. Isso significa que qualquer investimento com retorno superior a 13,5% será aceito, e qualquer investimento com retorno menor do que 13,5% será rejeitado.

Nosso estudo sobre risco e retorno, no entanto, diz que um investimento desejável é aquele que se situa acima da SML. Logo, a utilização do WACC para todos os tipos de projetos pode resultar na aceitação incorreta de projetos relativamente arriscados e na rejeição incorreta de projetos relativamente seguros.

Voltando a Empresa Alfa, vamos supor que exista um Projeto A na empresa cujo beta seja igual a 0,75, sendo o retorno esperado do projeto igual a 13%. Com base no CAPM o retorno exigido para o projeto seria:

kprojetoA = 7,5 + (0,75 x 6,0)
kprojetoA = 12,0%



Tela 54
Módulo 03 – Decisões de investimento em condições de risco
Portanto, com base no CAPM o Projeto A seria aceitável porque o retorno esperado do projeto é de 13%, isto é, maior que o retorno exigido. No entanto, se utilizarmos o WACC como taxa de corte, esse projeto seria rejeitado, porque tem um retorno inferior a 13,5%. Esse exemplo mostra que uma empresa que utiliza o WACC como taxa de corte tenderá a rejeitar projetos lucrativos cujo risco seja inferior ao da empresa em geral.

No outro extremo, considere que a Empresa Alfa tenha um outro projeto, o Projeto B, com as seguintes características: ?projetoB = 1,3 com retorno esperado de 15%. Com base no CAPM, o retorno exigido para este projeto seria de:

kprojetoB = 7,5 + (1,3 x 6,0)
kprojetoB = 15,3%

Portanto, com base no CAPM, esse investimento não é bom, porque, dado o risco sistemático, seu retorno é inadequado, isto é, 15% < 15,3%. No entanto, se utilizarmos o WACC para avaliá-lo, ele parecerá atraente, porque, 15% > 13,5%. Portanto, o segundo erro a ser cometido se utilizarmos o WACC como taxa de corte é o de que tenderemos a fazer projetos não lucrativos com risco maior do que o da empresa. Conseqüentemente, com o passar do tempo, empresas que utilizam o WACC para avaliar todos os seus projetos tenderão a aceitar projetos não rentáveis e como a se tornar cada vez mais arriscadas.


Tela 55
Módulo 03 – Decisões de investimento em condições de risco

Comparação de projetos com durações diferentes

Segundo Gitman (2004), o administrador financeiro, com freqüência, é obrigado a escolher o melhor de um grupo de projetos com durações diferentes. Se os projetos forem independentes, sua duração não será um fator importante. Entretanto, quando os projetos são mutuamente excludentes, o impacto de durações diferentes deve ser considerado, pois, os projetos não geram benefícios por períodos comparáveis. Embora existam diversas abordagens para lidar com diferenças de duração, segundo o autor, a técnica mais eficiente é a abordagem do valor presente líquido anualizado (VPLA).
Equação:

VPLAi = VPLi/FPVk,ni

Onde:
VPLAi = valor presente líquido anualizado do projeto i
VPLi= valor presente líquido do projeto i
FPV = Fator de valor presente do projeto i
k = custo de capital do projeto
ni = período de duração do projeto i

Selecionar o projeto com maior VPLA.

Exemplo



Tela 56
Módulo 03 – Decisões de investimento em condições de risco

A Empresa Gama S/A, uma empresa do setor metalúrgico, está avaliando dois projetos mutuamente excludentes, X e Y. Os fluxos de caixa relevantes de cada projeto são fornecidos na tabela a seguir. O custo de capital aplicável à avaliação desses projetos, que possuem o mesmo risco, é de 16%.

Projeto X
Projeto Y
Investimento inicial
$97.000
$125.000
Ano
Entradas anuais de caixa
1
$35.000
$68.000
2
$60.000
$50.000
3
$50.000
$30.000
4
-
$20.000
5
-
$20.000

(1) Calcule o valor presente líquido de cada alternativa e classifique-as de acordo com seu VPL. (2) Calcule o valor presente líquido anualizado (VPLA) de cada alternativa e classifique-as com base nesse critério. (3) Por que é melhor usar o VPLA do que o VPL quando ordenamos projetos com durações diferentes?



Tela 57
Módulo 03 – Decisões de investimento em condições de risco
Solução

(1)
VPLX = [$35.000/(1+0,16)1 + $60.000/(1+0,16)2 + $50.000/(1+0,16)3] - $97.000
VPLX = $9.795,07
VPLY= [$68.000/(1+0,16)1+ $50.000/(1+0,16)2 + $30.000/(1+0,16)3 +$20.000/(1+0,16)4 + $20.000/(1+0,16)5 +] - $125.000
VPLy =$10.566,65
Com base no VPL o projeto exclusivo Y apresenta o maior VPL, logo, ele seria o escolhido .

(2)
VPLAX = $9.795,07/[1 – (1 + 0,16)-3]/0,16
VPLAX = $9.795,07/2,246
VPLAX = $4.361,12
VPLAY= $10.566,65/[1 – (1 +0,16)-5]/0,16
VPLAX =$10.566,65/3,27
VPLAX =$3.231,39

Com base no VPLA percebemos que o projeto excludente X seria preferido em relação ao projeto excludente Y, porque X gera o maior
Valor presente líquido anualizado.

(3) Porque o VPLA converte o valor presente líquido de projetos com durações diferentes em um montante anual equivalente.


Tela 58
Módulo 03 – Decisões de investimento em condições de risco
5 - Árvores de decisão

Imagine uma empresa que opera exclusivamente no mercado nacional. Ela fabrica um produto que poderia ser comercializado, também, no resto do mundo. Há forte motivação na empresa quanto ao resto do mundo. O mercado interno encontra-se em recessão. A entrada no comércio exterior seria através de um contrato de três anos, com a maior rede varejista dos EUA. A capacidade instalada atual da empresa atenderia, tranqüilamente, o mercado interno e o contrato com a empresa norte-americana.

Atualmente, no mercado interno, a empresa opera na posição de desafiante, ocupando a segunda posição. Aliás, a empresa líder é subsidiária de uma grande organização holandesa. Logo, dentro da empresa, existe grande preocupação, a saber: caso a economia interna se estabilize nos próximos 18 meses, como será possível manter a segunda posição no mercado interno e, ao mesmo tempo, atender o contrato com os americanos?

Segundo Assaf Neto (2003, p. 343 a 347), caso a contração no mercado interno seja revertida, a empresa deveria avaliar três decisões:

(a) restringir a oferta de seus produtos no mercado interno, de maneira que possa cumprir o contrato de exportação;
(b) terceirizar algumas fases de seu processo de fabricação, de forma que eleve as unidades elaboradas e atenda a demanda de seus produtos;
(c) promover novos investimentos em equipamentos e máquinas, visando à elevação de sua capacidade produtiva.



Tela 59
Módulo 03 – Decisões de investimento em condições de risco
Observe que, na hipótese de a economia nacional encontrar o caminho da estabilização e ocorrer um ciclo de crescimento sustentável, a empresa, como desafiante, terá que enfrentar o dissabor de perder participação no mercado, assim como, o seu objetivo de tornar-se líder de mercado.

Entende-se que a pior das situações seria a empresa subestimar os seus concorrentes no mercado interno. Sucede que a retomada da posição de mercado, poderia levar vários anos em ambiente de competitividade, exigindo redução da margem de lucro dos produtos comercializados.

A decisão de terceirização acarreta elevação nos custos, devendo a empresa também sacrificar sua margem de lucro no mercado interno, para manter seus preços de venda nos níveis atuais.

A terceira opção admite que os novos maquinários entrariam em funcionamento quase imediatamente, não estando previsto qualquer período de maturação.

O caso introduz para um problema de decisão seqüencial, em que uma liberação, no presente, envolve a tomada de outras decisões, ao longo do tempo.

A solução do caso é desenvolvida de maneira mais lógica, por meio de árvores de decisão.



Tela 60
Módulo 03 – Decisões de investimento em condições de risco
Essencialmente, árvores de decisão são diagramas que permitem representar e avaliar problemas que envolvem decisões seqüenciais, colocando em destaque os riscos e os resultados financeiros identificados nos diversos cursos de ação.

Por convenção o diagrama será constituído por dois tipos de nós:

  • círculos, em que são identificados os estados de natureza;
  • quadrados, que destacam as decisões possíveis de ser tomadas.

Para cada situação da empresa, há as seguintes possíveis decisões:

D1 = não aceitar o contrato de exportação

D2 = aceitar o contrato de exportação

D3 = reduzir a oferta de produtos no mercado interno

D4 = terceirizar parte da produção

D5 = implementar novos investimentos para elevar a produção

Os eventos possíveis, sobre os quais a empresa demonstra incerteza na decisão são os seguintes:

E1 = não ocorre a recuperação do mercado interno

E2 = ocorre a recuperação do mercado interno, exigindo maior capacidade de oferta de produtos da empresa

E3 = perda de participação de vendas, no mercado interno, é considerada rapidamente recuperável, não impondo reduções relevantes nos resultados financeiros

E4 = perda de participação de vendas, no mercado interno, exige esforço de vários anos e sacrifício da margem de lucro



Tela 61
Módulo 03 – Decisões de investimento em condições de risco


Fonte: Assaf Neto, Alexandre. Finanças Corporativas e Valor. São Paulo, Atlas, 2003, p.345.

1: D1 = Não aceitar o contrato de exportação
    D2 = Aceitar o contrato de exportação

2: E1 = Mercado interno não cresce
    E2 = Mercado interno cresce

3: E1 = Mercado não cresce
    E2 = Mercado cresce

4: D3 = Reduzir vendas no mercado interno
    D4 = Terceirizar
    D5 = Novos investimentos

5: E3 = Recuperação da economia interna
    E4 = Recuperação da economia interna demorada

No ponto de decisão 1, deve a empresa decidir se aceita ou não o contrato de exportação por três anos. Ao não aceitar, existe a incerteza de a demanda interna continuar em contração, ou de vir a ocorrer uma expansão no mercado interno. Tal é identificado no ponto de incerteza 2.

Ao aceitar o contrato de exportação, a empresa defronta-se com as possíveis situações de incerteza, definidas em 3: a possibilidade de manter-se a recessão interna - sem preocupação da empresa com relação ao atendimento da demanda por seus produtos, sendo atual capacidade de produção suficiente para abastecer seus consumidores internos e externos – a possível recuperação das vendas no mercado interno.



Tela 62
Módulo 03 – Decisões de investimento em condições de risco

Nessa situação, deve a empresa decidir como elevará sua produção para atender à demanda crescente por seus produtos, conforme orientado pelo ponto de decisão 4.

No quarto estágio, são relacionadas três alternativas de decisão:

  • reduzir as vendas para o mercado interno e atender plenamente os compromissos de exportação;
  • terceirizar algumas fases de produção e agilizar a quantidade fabricada;
  • promover novos investimentos para incrementar a capacidade física de produção.

A árvore de decisão demonstra, ainda, que a decisão de restringir as vendas aos consumidores internos envolve a perda de participação de mercado, cuja recuperação constitui outra variável de incerteza, conforme ilustrada no ponto 5.

Dessa maneira, por meio do diagrama de árvore de decisão, destacam-se definições seqüenciais que devem ser tomadas pelas empresas, além das incertezas a que essas decisões conduzem. A estrutura do problema surge de forma lógica, permitindo melhor entendimento e avaliação da decisão.



Tela 63
Módulo 03 – Decisões de investimento em condições de risco
6 - Identificação de valores na árvore de decisão

Estabelecida a estrutura seqüencial do problema, por meio da árvore de decisão, o próximo passo é o de atribuir as probabilidades aos estados de natureza e identificar os resultados financeiros de várias decisões possíveis.

Hipoteticamente, a empresa opera com: a probabilidade de crescimento das vendas no mercado interno, de 50%; e a probabilidade de manutenção da atual situação, ou recessão de 50%. Logo há probabilidade de ocorrência de E1, de 50% e a de E2, 50%. Na avaliação da empresa, ainda, há somente 40% de probabilidade de a perda de participação de mercado ser recuperável rapidamente, sem custos adicionais relevantes (E3). A recuperação mais lenta e onerosa à empresa (E4) tem 60% de chance de ocorrer, segundo projeção da área mercadológica.

Assim, a empresa definiu os seguintes fluxos operacionais de caixa:

  • Mercado interno atual, recessivo: $100/ano
  • Mercado interno caso, a economia volte a crescer: $160/ano
  • Se a empresa assinar o contrato de exportação, porém, o mercado interno continuar em contração: $140/ano
  • Caso haja recuperação na economia interna, os dois mercados fornecem: $200/ano

A empresa prevê o custo adicional de $50/ano se a recuperação for lenta e dispendiosa em sua participação nas vendas de mercado. A redução dos fluxos de caixa decorrentes do aumento de custos, pela contratação adicional de serviços de terceiros - conforme estabelecido na alternativa D4 - é estimada em $35/ano. Em outros termos, o custo equivalente anual da decisão de efetuar novos investimentos produtivos está dimensionado em $25/ano.



Tela 64
Módulo 03 – Decisões de investimento em condições de risco

7 - Atribuição de valores à árvore de decisão

Fonte: Assaf Neto, Alexandre. Finanças Corporativas e Valor. São Paulo, Atlas, 2003, p.346.



Tela 65
Módulo 03 – Decisões de investimento em condições de risco
8 - Solução do problema de decisão seqüencial

Após a apresentação gráfica do problema, por meio da estrutura de uma árvore de decisão, e calculados os resultados operacionais de caixa e incertezas, resta finalmente identificar a melhor estratégia de decisória. Em outras palavras, deve ser selecionada a decisão que promove o maior valor esperado:

a) decisão de não aceitar o contrato de exportação traz o valor esperado: (0,50 x $100) + (0,50 x $ 160) = $130/ano.

Esse cálculo é direto. Existem somente duas possibilidades (E1 e E2). A opção de vender ao exterior, no entanto, embute outras seqüências de decisão e incertezas. A solução numérica, nesse caso, processa-se de trás para frente:Ponto 5
Valor esperado = (0,40 x 0) + (0,60 x -$50)
Valor esperado = -$30/ano.Ponto 4
Aqui, seleciona-se o melhor fluxo de caixa resultante da decisão tomada. Investimento na fábrica produz o menor custo adicional, comparativamente a outras alternativas de incrementar a produção; o resultado esperado nesse ponto é de -$25/ano.Ponto 3
Valor esperado = (0,50) x ($200 - $25) + (0,50 x $140)
Valor esperado = $157,5/ano.Com isso, a solução de eleger a melhor estratégia de decisão é percorrer o caminho que apresenta o maior valor esperado. Diante da avaliação efetuada, deve a empresa aceitar o contrato de exportação ($157,5 > $130) de seus produtos e decidir, diante de uma situação de recuperação do mercado interno, pela implementação de novos fabris, conforme sugeridos.

Considerou o valor encontrado no Ponto 5, e não o investimento no ativo imobilizado, seria encontrado o seguinte valor esperado:

Valor esperado = (0,50) x ($200 - $30) + (0,50 x $140)
Valor esperado = $155/ano

Aí, também, o contrato de exportação seria preferido, pois, $155 > $130.

Por sua vez, caso a empresa resolvesse operar com a opção de terceirizar, o valor esperado seria:

Valor esperado = (0,50) x ($200 - $35) + (0,50 x $140)
Valor esperado = $152,50/ano

No caso, também, o contrato de exportação seria preferido, pois, $152,50 > $130.



Tela 66
Módulo 03 – Decisões de investimento em condições de risco

9 - Solução por árvore de decisão


Fonte: Assaf Neto, Alexandre. Finanças Corporativas e Valor. São Paulo, Atlas, 2003, p.347.



Tela 67
Módulo 03 – Decisões de investimento em condições de risco

Resumo

É fácil imaginar que tudo o que está contido num projeto de investimento, irá ocorrer 100%; seria o Nirvana para as organizações. Porém, no mundo real, a situação é diferente. Nem sempre os valores projetados nos fluxos de caixa operacionais ocorrem como previsto; aliás, na maioria das vezes, não acontece mesmo.

O risco de um projeto de orçamento de capital convencional é refletido pela variabilidade de suas entradas de caixa. As entradas, naturalmente, são conseqüências de variáveis que possuem riscos, tais como vendas, despesas e impostos.

Os administradores financeiros lidam com o risco, em suas decisões de investimento, utilizando, por exemplo, a análise de sensibilidade, metodologia de avaliação do risco, que revela em quanto o resultado econômico (VPL) de um investimento se modificará, diante de alterações, em variáveis estimadas dos fluxos de caixa.

Outras abordagens para lidar com o risco são utilizadas pelos administradores financeiros. 

O uso dos equivalentes à certeza: eles representam a porcentagem de uma entrada de caixa estimada, que os investidores ficariam satisfeitos em receber com certeza, em vez de entradas de caixa possíveis, a cada ano.

A taxa de desconto ajustada por risco (TADR):  é a taxa de retorno que deve ser obtida em um projeto para recompensar os proprietários da empresa adequadamente – ou seja , para manter ou aumentar o preço da ação. Quanto mais elevado o risco de um projeto, maior a TADR e, portanto, menor o valor presente líquido de uma série de entradas de caixa.

O Modelo de Precificação de Ativos de Capital (CAPM): através da  linha de mercado de títulos (SML) – que é a representação gráfica do CAPM -, qualquer projeto com  IRR acima da SML seria aceitável, porque sua IRR seria superior ao retorno exigido, kprojeto; qualquer projeto com IRR inferior a kprojeto seria rejeitado. Em termos de VPL, qualquer projeto acima da SML teria VPL positivo e qualquer projeto abaixo da SML teria VPL negativo.

O custo médio ponderado de capital (WACC) como taxa de desconto para fluxos de caixa futuros, só é apropriado quando o investimento proposto é semelhante às atividades já existentes na empresa.

Diante de projetos mutuamente excludentes com durações diferentes, a técnica mais eficiente é a abordagem do valor presente líquido anualizado (VPLA).

Outra maneira de se operar decisões de investimento em condições de risco é por meio de árvores de decisão, ou diagramas que permitem representar e avaliar problemas que envolvem decisões seqüenciais. Os diagramas colocam em destaque os riscos e os resultados financeiros identificados nos diversos cursos de ação. Constituem-se de dois tipos de nós: círculos em que são identificados os estados de natureza e quadrados, que destacam as decisões possíveis de ser tomadas.