Unidade 4 Módulo 1
Tela 1
MÓDULO I – Teoria das vantegens comparativas

1 - Política de capitalização

As cooperativas, freqüentemente, financiam seus investimentos mediante utilização de capital de associados ou dos resultados operacionais retidos.

  • Em geral, o custo do capital retido é subestimado o que causa:
    escolha de investimentos com baixas taxas de retorno;
  • sub-utilização de crédito;
  • desmotivação dos associados correntes e desestímulo a adesão de novos associados;
  • tomada de decisões que nem sempre beneficiam os associados.

A condução inadequada das políticas referentes ao capital social dos associados tende a gerar vícios que se perpetuam dentro das instituições resultando nas ineficiências retro mencionadas.

Cooperativas apresentam peculiaridades que não estão presentes em empresas comerciais. Embora cooperativas surjam em circunstâncias e culturas diversas, três princípios básicos geralmente distinguem as cooperativas das empresas comerciais.

• controle democrático (voto pessoal);
• retorno pro rata;
• juro limitado.



Tela 2
MÓDULO I – Teoria das vantegens comparativas
Primeiramente, os associados são os que financiam e utilizam suas cooperativas. As cooperativas são controladas pelos associados que são os donos da cooperativa e, finalmente, os benefícios gerados pela cooperativa são distribuídos para os associados de acordo com a utilização da organização.

A falta de estímulo dos associados ao investir capital em suas cooperativas deve-se ao fato da não existência de mercados secundários para o capital da cooperativa, pois tais ações não são negociadas em pregões.

Desta maneira, os associados da cooperativa não podem realizar o futuro lucro potencial por meio da venda de suas ações. As ações da cooperativa garantem aos seus associados à reivindicação residual dos resultados desde que o associado utilize a cooperativa.

Além do mais, o não pagamento de dividendos sobre o montante do capital social também contribui para desestimular os associados a investirem em suas cooperativas.



Tela 3
MÓDULO I – Teoria das vantegens comparativas
2 - Distribuição de sobras

Os associados também exercem pressão pela imediata distribuição dos resultados do exercício fiscal, não estando dispostos a permitir que fundos e reservas indivisíveis da cooperativa cresçam com a alocação das receitas geradas à custa do crescimento de seu capital social.

Como conseqüência, os benefícios dos associados estão vinculados ao uso corrente da cooperativa e existe grande incentivo para investimentos de curto prazo que podem beneficiar os associados presentes, enquanto a organização como um todo, poderia beneficiar-se mais com projetos de longo prazo.

Os fluxos de caixa presentes são preferidos aos resultados futuros da cooperativa. Programas de restituição do capital social tendem a atenuar este problema. Estes programas mantêm o direito de propriedade nas mãos dos associados que estão de fato operando com a cooperativa.

A combinação de ações não negociadas e a pressão imediata pela distribuição dos resultados sugerem que as cooperativas tendem a confiar mais em financiamento externo.

No entanto, quando a legislação permite, e a pressão dos associados não é tão grande (associados são mais pacientes), os recursos internos existentes nos fundos e reservas são freqüentemente mais utilizados pelos gerentes. Este é o caso típico de cooperativas com associados desinformados e mal representados nos órgãos de administração da cooperativa.

O capital social não é apenas uma fonte de recursos operacionais, mas também é uma medida de interesse dos associados por suas cooperativas. Os associados comparam a taxa de retorno marginal de investimentos adicionais na cooperativa com outras fontes alternativas de investimentos.



Tela 4
MÓDULO I – Teoria das vantegens comparativas

Um programa de devolução de capital deve antever situações como aposentadoria ou saída voluntária do associado dos quadros da sociedade.

A falta de um programa de restituição do capital social é considerada sério obstáculo para o desempenho da cooperativa, gerando ineficiências organizacionais.

Se as cooperativas falham em restituir o capital dos associados que estão excessivamente investidos, então os associados novos ficarão hesitantes para suprir capital adicional.

Os planos de restituição do capital social asseguram o retorno dos recursos investidos pelos associados que investiram na cooperativa e forneceram capital de acordo com o seu uso em anos anteriores.

À medida que o capital social é restituído de forma mais freqüente, ele exerce pressão nos fluxos de caixa e na estrutura de capital da cooperativa. A menos que novo capital entre com a vinda de novos associados, a estrutura de capital da cooperativa tende a mudar.



Tela 5
MÓDULO I – Teoria das vantegens comparativas
O problema da alocação dos resultados é também comumente encontrado em cooperativas. Esse problema existe devido aos existentes conflitos de incentivo entre os gerentes de cooperativas e seus respectivos associados, e os princípios cooperativos de controle democrático, retorno limitado de capital, distribuição dos benefícios de acordo com a utilização da cooperativa e operação a custo.

O uso indiscriminado da alocação do resultado do exercício para fundos e reservas indivisíveis é criticado porque esta forma de alocação infringe o princípio cooperativo de operar a custo.

Os recursos que acumulam nas reservas e fundos indivisíveis não são retornados aos associados. Além do mais, o direito de propriedade é diluído e ninguém sabe quem na verdade é dono dos fundos e reservas indivisíveis até que a cooperativa liquide e todos os credores preferenciais aos associados sejam pagos.

O sentido de propriedade é perdido e associados sentem-se menos compelidos a controlar os gerentes nas cooperativas que utilizam extensivamente o uso de fundos e reservas indivisíveis porque a reivindicação direta sobre os investimentos da cooperativa é pequena.

Incorporação de resultados ao capital - O custo zero atribuído aos fundos e reservas indivisíveis leva gerentes a subestimarem o verdadeiro custo de capital para a cooperativa levando ao excesso de investimentos de capital nas cooperativas, problema este comumente mencionado na literatura.

Como o custo médio do capital é subestimado, gerentes de cooperativas tendem a aprovar projetos com taxas de retorno inferior ao custo médio de capital verdadeiro da cooperativa. Com a facilidade de utilizar os fundos e reservas indivisíveis, gerentes e diretores tentam evitar empréstimos levando várias cooperativas a sub-utilização do débito de longo prazo.



Tela 6
MÓDULO I – Teoria das vantegens comparativas

3 - Formação de fundos indivisíveis

A pequena participação do passivo de longo prazo sobre o passivo total da maioria das cooperativas brasileiras evidencia, em parte, este problema. O amplo uso dos fundos e reservas indivisíveis sempre foi um fator comum nas cooperativas brasileiras.

Os principais fundos e reservas são descritos a seguir:

  • FATES (Fundo Técnico de Assistência Social e Educacional) Este fundo é obrigatório pela legislação cooperativa. É constituído para prover assistência técnica e social aos associados e suas famílias. Pelo menos 5% do resultado do exercício deve ser alocado a este fundo.

Os recursos do FATES destinam-se a financiar ações de formação e aprimoramento profissional dos associados e seus dependentes.
  • Reserva Legal – Também obrigatória por lei, é constituída para reduzir o impacto nas contas da cooperativa quando ocorrer períodos econômicos desfavoráveis. É uma reserva de regularização ou estabilização que permanece à disposição da cooperativa. É a primeira conta do patrimônio líquido que é debitada quando o resultado do exercício do ano fiscal é negativo. A legislação cooperativa exige que no mínimo 10% do resultado do exercício do ano fiscal sejam transferidos para esta conta.
  • Fundos de Desenvolvimento e Estatutários – São fundos determinados pelos estatutos da cooperativa com propósitos de investimentos específicos no futuro.
  • Reservas de Capital – A principal finalidade desta conta é reajustar o capital social dos associados
  • Reservas de Equalização – Esta reserva é utilizada para ajustar os balanços.
  • Reservas de Reavaliação – Reserva comumente usada quando os ativos são reavaliados.


    Quando deixa a cooperativa, o associado não tem direito aos fundos indivisíveis.


Tela 7
MÓDULO I – Teoria das vantegens comparativas

4 - Políticas de restituição de capital

Quando o associado se aposenta ou quer deixar a cooperativa, o valor que este vem a receber mediante a restituição do capital é bem menor do que o valor que ele ou ela contribuíram na verdade.

As cooperativas não pagam dividendos sobre o capital social. A legislação cooperativa não possui mecanismos explícitos de proteção do capital social.

Este é um grande fator de desmotivação tanto dos associados mais velhos como dos futuros associados que almejam filiar-se à cooperativa, pois estes sabem que parte do capital investido em sua cooperativa jamais retornará de forma integral no momento de seu desligamento da cooperativa.



Tela 8
MÓDULO I – Teoria das vantegens comparativas

A retenção de capital, que é o percentual retido pela cooperativa durante o momento de entrega da produção do associado, é na verdade percebido pelos associados como um desconto do preço pago por seus produtos entregue à cooperativa.

A Assembléia Geral decide, comumente, se a conta reserva de capital será totalmente incorporada ou não à conta capital social para o próximo exercício fiscal.

Geralmente, a maioria das cooperativas incorpora apenas um percentual da conta reservas de capital (50% a 80%) na conta capital social durante o exercício do ano fiscal.

O restante dos recursos ora permanecem na conta reserva de capital ou são distribuídos para outras reservas e fundos indivisíveis que pertencem à cooperativa e não aos associados.



Tela 9
MÓDULO I – Teoria das vantegens comparativas

Este procedimento, quando repetido sistematicamente, subestima gradualmente o verdadeiro valor do capital dos associados e com freqüência é utilizado nas cooperativas brasileiras.

Quando a cooperativa gera resultados positivos, pelo menos 15% destes recursos são alocados para a FATES e para a reserva legal. O FATES e a reserva legal são indivisíveis, isto é, não pertencem diretamente aos associados.

Quando o associado se desliga da cooperativa, os recursos alocados nestes fundos e reservas não são restituídos. Os restantes 85% do resultado do exercício fiscal (ou menos, se o percentual alocado ao FATES e a reserva legal for maior do que o mínimo exigido) é alocado de acordo com as decisões da Assembléia Geral Ordinária de cada cooperativa.



Tela 10
MÓDULO I – Teoria das vantegens comparativas

Geralmente a Assembléia decide por “capitalizar” a cooperativa, o que significa que grande parcela dos resultados do exercício vão para fundos e reservas indivisíveis e apenas uma pequena parcela (quando de fato existe) vai para a conta capital social. Embora sejam os associados que votam pela “capitalização” dos recursos gerados, pode-se questionar a forma como as Assembléias Gerais Ordinárias são conduzidas.

Como o custo destes recursos é geralmente subestimado por gerentes e diretores (geralmente atribuem custo zero ao capital retido em fundos indivisíveis), o custo médio do capital da cooperativa também é subestimado.

Isto leva aos problemas relatados na literatura, como o excesso de investimentos de capital, o pouco uso de débito e excesso de poderes aos gerentes e diretores que tomam as decisões da cooperativa.



Tela 11
MÓDULO I – Teoria das vantegens comparativas

Como conseqüência, tanto o monitoramento do setor bancário como o monitoramento do corpo de associados sobre as operações da cooperativa é reduzido, o que pode levar a falta de disciplina financeira dos gerentes.

Como a legislação cooperativa obriga um percentual mínimo alocado dos resultados ao FATES e a conta reserva legal, várias cooperativas acabam aumentando este percentual de forma que menos recursos fiquem disponíveis para serem alocados para a conta capital social.

A fácil disponibilidade de utilização dos recursos internos acaba levando aos problemas discutidos na literatura e presenciados por várias cooperativas em outros países.

Embora muitas cooperativas já ajustem de forma integral o capital social, a grande maioria aloca apenas uma pequena fração dos resultados a conta capital social.

Quanto maior é o compromisso da cooperativa com o associado (medido por meio do capital social), melhor são as cooperativas vistas pelos bancos como clientes potenciais. O montante do capital social é um excelente indicativo de que as cooperativas têm sido gerenciadas realmente para o benefício de seus associados.



Tela 12
MÓDULO I – Teoria das vantegens comparativas

As cooperativas não possuem programas sistemáticos de restituição do capital de seus associados. O capital é geralmente resgatado (redistribuído, retornado ou aposentado) quando os associados aposentam, morrem, mudam ou abandonam suas operações com a cooperativa.

Os estatutos das cooperativas especificam as condições em termos em que o capital social dos associados deve ser restituído.

Uma vez que os associados podem deixar a cooperativa a qualquer momento, algumas medidas de proteção existem para salvaguardar a cooperativa em casos de grande retirada do capital social.

Neste caso, a restituição do capital pode ocorrer de uma vez ou em cotas distribuídas durante um certo número de anos. Para grandes somas, as cooperativas podem levar de três a cinco anos para retornar o capital social de certos associados.



Tela 13
MÓDULO I – Teoria das vantegens comparativas

A maior parte da restituição do capital dos associados ocorre quando os associados deixam as suas cooperativas. Os programas de restituição do capital social são necessários para reduzir o excesso de investimento na cooperativa dos associados mais velhos.

Associados com excesso de capital na cooperativa são aqueles que investiram de acordo com a utilização dos serviços das cooperativas no passado.


Eles, geralmente, possuem mais capital acumulado do que os sócios mais novos. Se o capital dos associados mais velhos não for restituído, haverá um desequilíbrio no capital social, pois os associados mais velhos acabam possuindo proporcionalmente mais capital do que a proporção de seu uso da cooperativa, acabando por financiar o investimento dos novos associados na cooperativa.

Como os princípios cooperativos definem que os benefícios gerados sejam distribuídos de acordo com o uso da cooperativa, não faz sentido observar associados mais velhos que pouco usam a cooperativa com grande montante de recursos na conta capital social.

Quando isto acontece as cooperativas não são financiadas de acordo com uso e novos associados, que estão provavelmente pouco investidos, estão usando as instalações da cooperativa que associados antigos ajudaram a construir.



Tela 14
MÓDULO I – Teoria das vantegens comparativas

O uso de planos sistemáticos de restituição do capital tende a corrigir estas distorções na conta capital social de modo que esta conta venha a ser mais representativa dos associados que utilizam a cooperativa no presente.

Várias cooperativas sofrem pressões de membros mais velhos para resgatar o seu capital social. Estes associados são provavelmente os que fundaram a cooperativa e forneceram grande parte do capital para a construção do ativo existente.

No entanto, são várias as cooperativas que possuem falta de caixa para atender a todos os pedidos. Isto evidencia mais uma vez a preferência dos gerentes e diretores pelo uso de recursos internos ao invés de optarem por débito.

A falta de planos sistemáticos de restituição do capital social facilita o uso indiscriminado de recursos que deveriam ser na verdade alocados aos associados.



Tela 15
MÓDULO I – Teoria das vantegens comparativas

Resumo

Este módulo abordou os aspectos referentes à estrutura do capital das cooperativas brasileiras, particularmente quanto à não atualização integral do capital dos associados; indiscriminada alocação de resultados em fundos e reservas indivisíveis, que não pertencem diretamente aos associados, e falta de programas sistemáticos de restituição do capital aos associados.

Estes fatores geram ineficiências conhecidas por ocorrer em cooperativas agrícolas. Tais ineficiências tendem a perpetuar-se na organização aumentando sua vulnerabilidade em períodos de crise. O amplo uso de reservas e fundos não obrigatórios por lei tem sido empregado por cooperativas para gerar fundos internos.

O valor alocado a estes fundos e reservas é proveniente de um percentual sobre o resultado da cooperativa estipulado e aprovado pela assembléia geral ou definido pelo estatuto da cooperativa.

Freqüentemente, grande parte do resultado da cooperativa é alocada para estas contas gerando diluição do capital social.

O grande montante de fundos e reservas indivisíveis leva gerentes e diretores de cooperativas a subestimar o real custo de capital, levando a aprovação de projetos com taxas de retorno inferiores ao custo de capital da cooperativa e ao excesso de investimentos.

A facilidade de utilizar os recursos internos associado à diluição do capital dos associados confere aos gerentes grande poder sobre as decisões da cooperativa que nem sempre vem ao encontro aos interesses dos associados.

O uso de recursos internos reduz não só o monitoramento da cooperativa pelas instituições bancárias como também reduz o interesse dos associados pelas decisões da cooperativa e conseqüentemente o monitoramento dos gerentes.

A falta de programas sistemáticos de restituição do capital social acaba deixando associados mais velhos com excesso de capital na cooperativa. O desequilíbrio da proporção do capital dos associados com a proporção da utilização corrente dos serviços da cooperativa pode ser amenizado com programas de restituição do capital social dos associados mais velhos.

O compromisso de restituir o capital social obriga gerentes a alocar provisões para tais recursos, ao invés de considerá-los indefinidamente disponíveis. Programas sistemáticos de restituição do capital também exercem uma maior disciplina financeira dos gerentes e diretores da cooperativa.

A legislação cooperativa deve ser aperfeiçoada para endereçar aspectos referentes ao capital social, uso de fundos e reservas e programas de restituição do capital social. Programas de restituição do capital dos associados devem ser mais transparentes e sistemáticos.



Unidade 4 Módulo 2
Tela 16
MÓDULO I – Teoria das vantegens comparativas

1 - Objetivos de finanças corporativas

A administração financeira ocupa-se do gerenciamento de fundos, procurando selecionar as aplicações mais rentáveis para determinado nível de risco admitido pelos investidores.

Constituem exemplos de aplicações ou ativos os seguintes empreendimentos:
  • construção de armazém;
  • aquisição de uma frota de tratores e colheitadeiras;
  • implantação de uma unidade de industrialização de leite;
  • construção de uma sede própria para instalação e funcionamento da direção da cooperativa;
  • aquisição de ações de uma sociedade de capital.
Os profissionais de finanças trabalham com o processo, as instituições, os mercados e os instrumentos envolvidos na transferência de recursos financeiros entre os agentes econômicos.


Tela 17
MÓDULO I – Teoria das vantegens comparativas

2 - Função de utilidade da organização

O objetivo de uma organização cooperativa é maximizar a riqueza dos proprietários da empresa (cooperados). Por conseguinte, o objetivo de todos os gerentes e empregados da cooperativa, também, deveria ser o mesmo. Nem sempre o interesse dos aludidos agentes converge para a mesma direção.

A riqueza dos proprietários de sociedades cooperativas é mensurada pelo valor de suas quotas-partes e pelos serviços prestados à unidade de produção associada.

Quando se considera cada alternativa de decisão financeira, em termos de seu impacto no valor das quotas-partes da cooperativa, administradores financeiros devem aceitar somente aquelas que aumentem o valor esperado da empresa.

Nesse sentido, é comum a utilização do valor econômico adicionado como medida para avaliar se um determinado investimento proposto ou existente contribui positivamente para a riqueza dos proprietários.

O valor econômico adicionado é calculado mediante a subtração do custo dos recursos utilizados para financiar um investimento de seus resultados operacionais após tributação.

Para alcançar a finalidade de adicionar valor ao negócio, o gerente financeiro deveria escolher alternativas de investimentos capazes de gerar retorno econômico positivo, considerado o custo de oportunidade de capital.

Embora a maximização da riqueza dos cooperados constitua o objetivo principal, a cooperativa poderá ter outros objetivos subordinados que atendam às expectativas de empregados, clientes, fornecedores e credores.

A literatura trata genericamente esses grupos por stakeholders.

A atitude de buscar múltiplos objetivos não prejudica o propósito de maximização da riqueza do acionista. Referida conduta é considerada parte da ”responsabilidade social” da empresa.

Espera-se que a empresa forneça benefícios em longo prazo para os cooperados por intermédio de relações amistosas com os stakeholders, ou seja, o propósito não é satisfazer o bem-estar do stakeholder, mas preservá-lo.



Custo de oportunidade – Conceito de custo utilizado por Marshall, segundo o qual os custos não devem ser considerados como absolutos, mas iguais a uma segunda melhor oportunidade de benefícios não aproveitada.

Assim, para cada alternativa considerada, o gerente financeiro selecionaria a que propiciasse o maior resultado esperado observando o tempo dos retornos esperados, os fluxos de caixa disponíveis e os riscos envolvidos.



Tela 18
MÓDULO I – Teoria das vantegens comparativas

3 - Problema de agência

Em princípio, a maioria dos administradores financeiros concordaria com o objetivo de maximização da riqueza dos proprietários (cooperados). Na prática, no entanto, os administradores estão, também, preocupados com sua riqueza pessoal, estabilidade no emprego, prestígio social e outros benefícios derivados.

Essas preocupações podem tornar os administradores relutantes ou sem ânimo de correr riscos maiores do que um risco moderado, se eles percebem que isso pode resultar na perda de sua ocupação e causar prejuízo aos seus interesses imediatos.

O resultado dessa conduta é um rendimento abaixo de seu potencial máximo, assim como uma perda potencial de riqueza para os proprietários da cooperativa.

A partir desse conflito, entre proprietários e interesses pessoais, surge o que foi chamado de problema de agência, isto é, a probabilidade de que administradores possam colocar interesses pessoais à frente dos objetivos da sociedade cooperativa.

Os chamados custos de agência são dispêndios realizados para monitoração do comportamento da administração, controle de atitudes desonestas e avaliação de desempenho.



Tela 19
MÓDULO I – Teoria das vantegens comparativas

4 - Decisões financeiras em condições de risco

Para maximizar a riqueza do cooperado, o administrador financeiro da cooperativa deve avaliar os dois determinantes-chave de sucesso: risco e retorno.

Cada decisão financeira apresenta certas características de risco e retorno, e a combinação dessas características tem um impacto sobre o valor da empresa. O risco pode ser visto com relação a um único ativo ou com relação a um portfólio (um conjunto de ativos).


Não se esqueça: RISCO e RETORNO são fatores determinantes de sucesso

Em sentido mais restrito, risco é a probabilidade de perda financeira.

Ativos com chances maiores de perda são vistos como mais arriscados do que aqueles com chances menores de perdas.

Formalmente, risco é uma medida de incerteza quanto ao retorno associado a um dado ativo. Quanto mais (menos) provável for o retorno de um ativo, menor (maior) será a variabilidade do mesmo e, por conseguinte, menor (maior) será o risco.

Em suma, risco é variância do retorno.



Portfólio – Conjunto de empréstimos e ativos financeiros (títulos, ações, debêntures etc.) pertencentes a uma empresa, classificados por prazo de maturação, devedor, taxas de juros, de remuneração esperada etc. Embora o termo esteja associado a haveres financeiros, os haveres reais também podem ser incluídos nessa categoria.



Tela 20
MÓDULO I – Teoria das vantegens comparativas

Retorno é o total de ganhos ou de perdas ocorridos em um dado período. Ele é comumente mensurado como a variação do valor do ativo durante certo lapso temporal, expresso como uma percentagem do valor de investimento de início do período.
A expressão para calcular a taxa de retorno obtida de qualquer ativo no período t é definida como:
    

(2)

Kt = taxa de retorno durante o período t real, esperada ou exigida;
Pt = preço (valor) do ativo no período t;
Pt-1 = preço (valor) do ativo no período t-1;
Ct = rendas geradas pelo ativo no período t.


Portanto, o retorno, kt,, reflete o efeito combinado das variações em valor, Pt - Pt-1 , assim como o fluxo de caixa,ct , realizado durante o período t.

Aversão ao risco denota a atitude na qual se exige um aumento no retorno por um aumento no risco. Geralmente, administradores financeiros procuram evitar o risco. Em geral, a maioria deles tem aversão ao risco.

Acredita-se que essa atitude seja consistente com a dos proprietários para os quais a empresa está sendo gerenciada. Administradores tendem a ser conservadores em vez de agressivos ao aceitarem riscos.

O risco de um ativo único é mensurado – avaliado – da mesma forma que o risco de um portfólio de ativos, apesar de certos benefícios serem acumulados por portadores de portfólio.

O indicador estatístico mais comum do risco de um ativo é o desvio padrão. Este indicador mensura a dispersão do retorno ao redor de seu valor esperado.

 
(2)
 

k = desvio padrão dos retornos;
Pri = probabilidade de ocorrência do i-ésimo resultado;
Ki = retorno esperado do i-ésimo resultado;
n = número de resultados esperados.



Tela 21
MÓDULO I – Teoria das vantegens comparativas

O coeficiente de variação é uma medida da dispersão relativa, também, bastante utilizada para comparar o risco de ativos com retornos distintos esperados.

(3)

CV = coeficiente de variação;
k = desvio padrão dos retornos;
K = retorno esperado.

A grande utilidade do coeficiente de variação revela-se útil ao se comparar o risco de ativos que têm retornos diferentes.

O risco de qualquer investimento proposto em um único ativo não deve ser visto independentemente de outros ativos.

Novos investimentos devem ser considerados sob a luz de seu impacto sobre o risco e retorno do portfólio de ativos.

O propósito do administrador financeiro é criar um portfólio eficiente, o qual maximize o retorno para um dado nível de risco, ou minimize o risco para um dado nível de retorno.



Tela 22
MÓDULO I – Teoria das vantegens comparativas

O conceito estatístico de correlação está subjacente ao processo de diversificação utilizado para estruturar um portfólio eficiente.

Como se sabe, correlação é uma medida estatística da relação, se existir, entre as séries de números representando dados de qualquer tipo, de retornos a escores de testes.

Se duas séries movem-se na mesma direção, elas são correlacionadas positivamente.

Se as séries movem-se em direções opostas, elas são correlacionadas negativamente.

Séries não correlacionadas não possuem nenhuma relação entre si.

O conceito de correlação é essencial para se desenvolver um portfólio eficiente. Para reduzir o risco global, é melhor combinar ou adicionar ao portfólio ativos que tenham uma correlação negativa (ou fraca correlação positiva).

Atenção: Simulador de correlação (arquivo Excel).



Correlação é o grau em que duas variáveis estão relacionadas linearmente, seja por meio de causalidade direta, indireta ou por probabilidade estatística.



Tela 23
MÓDULO I – Teoria das vantegens comparativas

A combinação de ativos correlacionados negativamente reduz a variância global dos retornos. Mesmo se os ativos não são negativamente correlacionados, quanto menor a correlação positiva entre eles, menor o risco resultante.

Alguns ativos são não correlacionados, isto é, não há interação entre os seus retornos. Combinar ativos não correlacionados pode não ser tão efetivo como combinar os ativos negativamente correlacionados. Contudo, são mais eficientes que combinar ativos altamente correlacionados.

O coeficiente de correlação para ativos não correlacionados é próximo de zero e age como o ponto médio entre uma correlação positiva perfeita com uma negativa perfeita.

A criação de um portfólio por meio da combinação de dois ativos com retornos, com correlação positiva perfeita, não consegue reduzir o risco global do portfólio abaixo do risco do ativo com menor risco. Por outro lado, um portfólio combinando dois ativos com correlação positiva, mas inferior a um, reduz o risco total para nível abaixo do ativo de menor risco.

Risco diversificável é a porção do risco que é atribuível a causas específicas da empresa (aleatórias), podendo ser eliminado por meio da diversificação da carteira.

Há, contudo, uma parcela relevante do risco de um ativo atribuível a fatores de mercado que afetam todas as empresas indistintamente. Este tipo de risco não pode ser eliminado por intermédio da diversificação de carteira.

O risco total é a combinação do risco diversificável e do risco não diversificável.



Tela 24
MÓDULO I – Teoria das vantegens comparativas

5 - Modelo de precificação de ativos de capital

O modelo de precificação de ativos de capital – CAPM – associa o risco não diversificável e o retorno para todos os ativos. Usando o coeficiente beta, b, para medir o risco não diversificável.

O modelo CAPM é dado pela equação:

(4)

Kj = retorno exigido sobre o j-ésimo ativo;
RF = taxa de retorno livre de risco, (remuneração de títulos públicos federais);
bj = coeficiente de beta ou índice de risco não diversificável para o j-ésimo ativo;
Km = retorno de mercado; retorno sobre o portfólio de ativos de mercado.

Exemplo:

A Cooperativa Agropecuária Mista de Uberaba Limitada, beneficiadora de leite, deseja mensurar o retorno que deverá ser exigido de um novo posto de coleta de matéria-prima (ativo), a fim de deliberar sobre pleito apresentado por parcela de seus associados, que há muito reclama dos elevados custos de transporte. Sabe-se que esse ativo tem um índice de risco não diversificável (beta) de 1,75. A taxa de retorno livre de risco encontrada no mercado é de 6% e o retorno sobre a carteira de ativos de mercado é de 9%. Nesse contexto, de acordo com o Modelo de Precificação de Ativos de Capital (CAPM) , qual o retorno mínimo que deverá ser exigido sobre o referido ativo para que o investimento seja realizado?

Resolução:

Substituindo os parâmetros na Equação 4 ,obtém-se:

Kj=6%+ [1,75. (9%-6%)]

Kj=6%+ [1,75. (3%)]

Kj=6%+5,25%

Kj=11,25%

O prêmio de risco de mercado 3% (9%-6%), quando ajustado pelo índice de risco não diversificável do ativo (beta) de 1,75,resulta em um prêmio de risco de 5,25% (1,75 x 3%), que, somado à taxa livre de risco de 6%, gera um retorno exigido de 11,25%.

Em resumo:

  • O prêmio de risco de mercado exigido é 3%;
  • O prêmio de risco exigido sobre o ativo para realização do investimento é 5,25%. Observe-se que este componente é proporcional ao risco do ativo e ao prêmio de risco de mercado;
  • O retorno mínimo exigido sobre o ativo para que o investimento seja realizado é 11,25%. Note-se que esta medida resulta da soma de dois componentes: taxa livre de risco + prêmio de risco.

Portanto, coeteris paribus, quanto maior for o fator beta, maior será o retorno exigido sobre o ativo.



Tela 25
MÓDULO I – Teoria das vantegens comparativas

O retorno exigido sobre um ativo, Kj, é uma função cada vez maior de beta, bj, que mensura o risco não diversificável. Em outras palavras, quanto maior o risco, maior o retorno exigido e quanto menor o risco, menor o retorno exigido.

O modelo pode ser dividido em duas partes: taxa livre de risco e prêmio de risco.


Exemplo de taxa livra de risco: aplicação em caderneta de poupança no valor de até R$20 mil

Esses são, respectivamente, os dois elementos em qualquer um dos lados do sinal de adição da equação precedente.

A porção (Km– Rf) do prêmio de risco é chamada de prêmio pelo risco de mercado, pois ela representa o prêmio que o cooperado tem de receber por suportar o montante médio de risco associado à manutenção do portfólio de ativos.




Tela 26
MÓDULO I – Teoria das vantegens comparativas

Resumo

O objetivo de uma organização cooperativa é maximizar a riqueza dos proprietários da empresa (cooperados). Contudo, pode haver conflito de interesse entre cooperados, administradores e cooperativa, o que pode gerar aversão a riscos e conseqüente queda na rentabilidade dos empreendimentos explorados.

Para maximizar a riqueza do cooperado, os dirigentes da cooperativa devem avaliar os dois determinantes-chave de sucesso: risco e retorno.

Formalmente, risco é uma medida de incerteza quanto ao retorno associado a um dado ativo.

A combinação de ativos correlacionados negativamente ou com que apresente baixa correlação positiva pode reduzir a variância global dos retornos.



Unidade 4 Módulo 3
Tela 27
MÓDULO I – Teoria das vantegens comparativas
1 - Novos desafios para o cooperativismo

O processo de abertura e desregulação da economia brasileira coloca novos desafios ao cooperativismo, exigindo a adoção de modelos de gestão mais ágeis, assim como a estruturação de organizações integradas aos novos processos produtivos.

Nesse sentido, o cooperativismo brasileiro passa por um momento de inflexão que envolve a reestruturação dos processos de:

  • gestão da empresa cooperativa sob a vertente da eficiência empresarial em um ambiente econômico internacional aberto e competitivo, objetivando o fortalecimento do empreendimento cooperativo, aliado à necessária eficiência social deste empreendimento, em virtude de suas obrigações com o cooperado;
  • autogestão do sistema cooperativista, objetivando o acompanhamento e o monitoramento da eficácia econômica e social das sociedades cooperativas, de modo que os objetivos sociais do movimento sejam preservados;


  • obtenção de fontes alternativas de financiamento e capitalização das sociedades cooperativas, tanto por intermédio de novos Bancos Cooperativos, como da abertura de seu capital à participação do capital de risco de terceiros, respeitados os princípios doutrinários da cooperação, ou ainda por meio do estabelecimento de alianças estratégicas entre empresas cooperativas e não-cooperativas.

Todas as ações acima listadas devem ser conduzidas à luz dos princípios doutrinários do cooperativismo, para que não se perca de vista o foco central do empreendimento que é o cooperado.



Desregulação da economia? Tendência resultante de idéias liberais que implica redução da participação direta e indireta Estado na Economia. Baseia-se na tese de que as empresas, os preços e a alocação de recursos são controlados mais eficazmente pelas forças do mercado do que por regulamentos governamentais.



Autogestão é a modalidade de administração que consiste em atribuir as decisões aos trabalhadores.



Alianças estratégicas - Acordo entre organizações distintas para o exercício de atividades de interesse comum.



Tela 28
MÓDULO I – Teoria das vantegens comparativas
2 - Fragilidades estruturais do cooperativismo

Como se sabe, o sistema cooperativista, devido a sua linha doutrinária, possui menor flexibilidade administrativa, o que, em geral, prejudica a performance econômico-social do empreendimento cooperativo.

A cooperativa somente terá sucesso social, cumprindo a sua responsabilidade social com o associado, se for, necessariamente, um empreendimento econômico de sucesso, de forma a permitir o crescimento conjunto e igualitário de seus cooperados.

Dessa forma, a gestão da empresa cooperativa deverá ser ao mesmo tempo uma atividade voltada, diretamente, para os desejos dos consumidores de serviços e produtos no mercado e, por outro lado, sensível às necessidades de crescimento e consolidação das diversas empresas associadas ao empreendimento cooperativista.

Portanto, cada associado é uma unidade de produção que deverá crescer forte em conjunto com o seu empreendimento cooperativo.

  • Em linhas gerais, os principais pontos de estrangulamento do cooperativismo podem ser resumidos nos seguintes:
  • falta de profissionalização da gestão;
  • incipiente organização administrativa;
  • dificuldade de capitalização da empresa;
  • falta de integração entre cooperativas;
  • inadequada educação cooperativista dos associados, dirigentes e empregados.


Tela 29
MÓDULO I – Teoria das vantegens comparativas

3 - Novas diretrizes para a gestão cooperativa

A organização cooperativa mostra-se superior às demais sociedades econômicas quando os associados que nela atuam agem cooperativamente sem a necessidade de monitoramento, sem oportunismos e buscando alcançar os interesses coletivos.

Entretanto, quando o comportamento foge desse padrão, surgem custos de agência que são, em tudo, idênticos àqueles encontrados nas empresas não-cooperativas.

Com vistas a preservar, doutrinariamente, o empreendimento cooperativo e possibilitar maior eficiência econômico-social, aproveitando-se das vantagens da “arquitetura” desta empresa, deve-se implementar as seguintes medidas:

  • profissionalização do quadro dirigente do empreendimento cooperativo, atentando também para a capacitação cooperativista de profissionais contratados e que não conhecem as especificidades deste tipo particular de organização;
  • ampliação das responsabilidades do conselho fiscal, de modo que este auxilie no processo da autogestão do sistema, podendo inclusive prever uma composição diferente do conselho, com a participação de uma auditoria especializada para o empreendimento cooperativo;
  • desenvolvimento de sistema de informação e de participação do associado na cooperativa, de forma a integrar o corpo social nas decisões mais importantes da cooperativa;


Auditoria é o processo de verificação e avaliação da situação econômica, administrativa e financeira da gestão das cooperativas e dos sócios, que zela pela credibilidade perante o quadro social e o mercado.



Tela 30
MÓDULO I – Teoria das vantegens comparativas
  • acompanhamento da performance das empresas cooperativas que auxilie todo o sistema cooperativista no esforço de coordenação das ações empresariais;
  • promoção de incentivos a inovações na gestão com a participação de capital externo por meio de alianças estratégicas, mantidos os princípios doutrinários da cooperação;
  • abertura de capital das cooperativas, que poderia representar uma nova fonte de recursos para o seu crescimento e capitalização;
  • implantação de sistema de auditoria independente para efetuar o monitoramento dos elementos contábeis e fiscais;
  • institucionalização de entidade especializada em treinamento e capacitação, de modo a permitir melhoria na formação dos profissionais ligados à gestão do empreendimento cooperativo.

Todas as medidas acima aduzidas possibilitam o surgimento de um novo padrão de crescimento, de capitalização e um importante aumento de confiabilidade perante o sistema financeiro, devido à melhoria do monitoramento e da auditoria.

Em suma, são condições necessárias para a institucionalização de uma nova geração de empreendimentos cooperativos que sejam eficientes econômica e socialmente.



Auditoria especializada é o mesmo que auditoria independente, ou seja empresa de auditoria externa que realiza exame analítico minucioso da contabilidade de uma empresa ou instituição.



Tela 31
MÓDULO I – Teoria das vantegens comparativas
4 - Programas de capacitação gerencial

Os programas de capacitação voltados para empresas cooperativas devem considerar duas vertentes distintas e complementares:

• capacitação cooperativista (doutrinária);
• capacitação profissional.

Ademais, os programas de capacitação devem envolver a unidade produtora cooperada, a empresa cooperativa e as organizações que dão suporte ao funcionamento do sistema cooperativista.

a) Capacitação cooperativista – Em virtude da grande abrangência do sistema cooperativista brasileiro, em termos de regiões e de ramos, as necessidades de treinamento assumem características muito heterogêneas.

Há casos de cooperativas bem estruturadas em que seus membros possuem alto grau de identificação e unidade. Nelas, os princípios doutrinários da participação democrática e empreendedora estão fortemente consolidados.

Contudo, não é incomum a existência de cooperativas cujos membros apresentam considerável despreparo para o exercício da cooperação. Essas organizações possuem baixa coesão e identificação entre seus membros e estão muito mais expostas a ações oportunistas, como, por exemplo, na utilização dos serviços de compra e venda na cooperativa apenas quando convém, numa visão estritamente de curto prazo.

A cooperativa, neste último caso, é apenas mais uma alternativa de mercado e o cooperado pouco percebe a empresa como sua, da qual além de cliente ou fornecedor é também co-proprietário.

Essa percepção leva à sua própria alienação e à ausência da participação na vida da cooperativa, aspecto básico no modelo de autogestão.



Tela 32
MÓDULO I – Teoria das vantegens comparativas
A educação cooperativista poderá reduzir a freqüência das ações oportunistas, mas não se pode esperar que elas sejam eliminadas.

O grande desafio para as cooperativas é a harmonização da organização democrática com as exigências técnicas e econômicas da dimensão empresa.

Para que a democracia cooperativa seja efetiva, é preciso evitar que o poder seja capturado pelos executivos e técnicos contratados e não eleitos. Isto implica que o cooperado deve ser treinado para realizar ações de monitoramento dos gestores contratados.

O cooperado deve ter não apenas acesso às informações, mas capacidade para analisar, questionar, sugerir e fiscalizar.

O papel de monitoramento da direção pelos cooperados (democracia fiscalizadora) exige adequada capacitação e educação do quadro social.

É relevante a função da educação cooperativista, conscientizando o cooperado da necessidade de maior participação e comprometimento com a organização da qual faz parte.



Tela 33
MÓDULO I – Teoria das vantegens comparativas

Os comitês educativos, comissões, núcleos ou outras formas de organização do quadro social têm neste contexto uma função estratégica para o desenvolvimento do sistema cooperativista.


A organização do quadro social nas cooperativas visa a aprimorar o relacionamento entre associados, diretoria e executivos, por meio de adequada comunicação, participação, transparência e representatividade.

A educação cooperativista deve ser utilizada não no sentido do convencimento inquestionável do cooperado, mas sim propiciando um claro entendimento do que é o cooperativismo, oferecendo condições ao indivíduo para avaliar as vantagens de ser cooperado. Assim sendo, poderá o cooperado conduzir-se adequadamente perante a sua sociedade cooperativa.

Em suma, é importante que os cooperados, os dirigentes, e os potenciais candidatos a constituírem uma cooperativa compreendam a noção de cooperativa e as relações derivadas da condição de cooperado, o que difere uma cooperativa de uma empresa comercial, quais são os valores e princípios cooperativistas e ter bem claro quais são os seus direitos e deveres, numa visão de longo prazo, continuada e sustentável para ambas as partes.



Tela 34
MÓDULO I – Teoria das vantegens comparativas

b) Capacitação profissional – Atualmente, apenas o cumprimento dos princípios doutrinários não é suficiente para garantir o adequado desempenho da empresa cooperativa. É necessário, também, que se desenvolvam habilidades técnico-gerenciais.

Assim, a qualificação técnico-profissional dos agentes econômicos envolvidos no sistema cooperativista é fator fundamental para que a empresa cooperativa tenha êxito na sua atividade econômica e cumpra seus objetivos de atender aos cooperados.

A complexidade da gestão de uma cooperativa no contexto dos negócios atuais é crescente, necessitando de profissionais altamente qualificados para gerirem as cooperativas nos seus diversos níveis.

Nesse sentido, deve-se, então, distinguir as necessidades específicas em termos de capacitação profissional, tanto nos níveis mais técnico-operacionais das áreas funcionais das cooperativas (finanças, produção, marketing, contabilidade etc.), como também nos níveis mais estratégicos, ligados à alta direção.

Para atuar no mercado com empresas das mais diversas naturezas, com o desafio nada fácil de manterem competitivas e ao mesmo tempo atenderem aos objetivos dos seus cooperados, razão de ser de sua própria existência, as cooperativas necessitam dispor de quadros profissionais capacitados.



Tela 35
MÓDULO I – Teoria das vantegens comparativas

5 - Política de capacitação cooperativa

Atualmente, as ações de capacitação variam em função das regiões e segmentos e devem cumprir o papel de preencher as lacunas na formação cooperativista básica de técnicos, executivos, dirigentes e cooperados.

A estrutura orgânica dos organismos de capacitação cooperativa fundamenta-se nos seguintes modelos de desenho institucional:

  • centro "virtual" coordenador que articula as diversas instituições de ensino e pesquisa que têm interesse em questões relacionadas à gestão cooperativista;
  • sistema radial conduzido pelo próprio sistema OCB e organizações estaduais que desenvolvem investimentos em capital humano e estrutura física;
  • sistema alternativo em que cada segmento organizado administra as ações de treinamento, segundo suas peculiaridades e interesses específicos.


Tela 36
MÓDULO I – Teoria das vantegens comparativas
Resumo

O cooperativismo brasileiro passa por um momento de inflexão que envolve a reestruturação dos processos de gestão da empresa cooperativa, de autogestão do sistema cooperativista e de captação de fontes alternativas de financiamento e capitalização.

O sistema cooperativista, devido a sua linha doutrinária, possui menor flexibilidade administrativa, o que, em geral, prejudica a performance econômico-social do empreendimento cooperativo.

Em linhas gerais, os principais pontos de estrangulamento do cooperativismo podem ser resumidos em: falta de profissionalização da gestão; incipiente organização administrativa e dificuldade de capitalização da empresa.

Visando solucionar os problemas emergentes do cooperativismo brasileiro, faz-se necessária a implementação das seguintes medidas: melhorar o sistema de informação e de participação do associado; promover mudanças organizacionais; implementar adequado sistema de auditoria independente para efetuar o monitoramento dos elementos contábeis e fiscais, e investir em treinamento e capacitação.



Unidade 4 Módulo 4
Tela 37
MÓDULO I – Teoria das vantegens comparativas

1 - Estratégias de marketing


As cooperativas desempenham significativo papel no esforço de integrar as economias individuais dos produtores cooperados. Em geral, esta ação de integração contribui para a obtenção de ganhos de escala e de escopo, podendo, ainda, a cooperativa viabilizar as ações de diferenciação de produto, o que ensejaria mudança de posicionamento competitivo dos cooperados.

Assim, as estratégias de administração de marketing assumem importância de relevo na consolidação de marca e promoção de vendas.

As estratégias de marketing nas organizações cooperativas envolvem o estabelecimento da estratégia central, a definição do negócio e o estabelecimento da missão organizacional.



Marketing é um processo social e gerencial por intermédio do qual se procura alterar determinada função demanda em favor de organização ou grupo de interesse.




Tela 38
MÓDULO I – Teoria das vantegens comparativas

2 - Demanda

Gráfico da demanda de mercado

A demanda agregada por um produto é o volume total que seria adquirido por um grupo definido de consumidores, de determinado território, por unidade de tempo, em um ambiente de mercado definido sob um determinado programa de marketing.

A parcela da demanda de mercado conquistada e mantida por uma cooperativa individualmente representa sua participação no mercado.


Natureza da demanda – O objetivo central da ação de marketing depende da situação prevalecente no mercado, a saber:

  • demanda irregular – ocorre quando a procura varia sazonalmente. Nesse caso, a função do marketing consiste em alterar o padrão de demanda por meio de flexibilização de preço, promoções e outros incentivos para mantê-la sincronizada com o fluxo de oferta;
  • demanda inexistente – os consumidores estão dispersos e desinteressados. A função do marketing consiste em dimensionar o tamanho do mercado potencial e desenvolver produtos e serviços que atendam às necessidades do mercado;
  • demanda declinante – ocorre com produtos que atingiram a fase de maturidade. Também se verifica em bens inferiores comercializados em regiões que passaram por sustentável crescimento da renda. A tarefa do marketing é mitigar o declínio da demanda por intermédio da criação de novos usos para o produto.


Em sentido amplo, preço expressa a relação de troca de um bem por outro. Em sentido mais usual e restrito, representa a proporção de dinheiro que se dá em troca de determinada mercadoria, constituindo, portanto, a expressão monetária do valor de um bem ou serviço.




Tela 39
MÓDULO I – Teoria das vantegens comparativas

O conhecimento das características intrínsecas da demanda é de vital importância para as decisões corporativas, notadamente no que diz respeito à política de preço.

Com efeito, parcela significativa dos bens econômicos é preço inelástico, significando que uma elevação de preço, digamos de 10%, reduz a quantidade demandada em menor magnitude, por exemplo, em 6%. Nestas condições, o faturamento de uma cooperativa monopolista elevar-se-ia em 3,4%, conforme ilustrado abaixo:

Faturamento = (Preço).(Quantidade)

Faturamento Inicial = (1,00).(1,00) = 1,00 = 100%

Faturamento Final = (1,10).(0,94) = 1,034 = 103,4%

(1)

(1a)

(1b)

Por outro lado, há bens cuja demanda é elástica em relação ao preço. Uma elevação de preço, digamos de 10%, reduz a quantidade demandada em maior magnitude, digamos em 14%.

Nestas condições, o faturamento de uma cooperativa monopolista seria reduzido em 5,4%, conforme ilustração seguinte:

Faturamento = (Preço).(Quantidade)

Faturamento Inicial = (1,00).(1,00) = 1,00 = 100%

Faturamento Final = (1,10).(0,86) = 0,9460 = 94,6%

(2)

(2a)

(2b)



Preço inelástico: a elasticidade é uma medida do grau em que compradores e vendedores respondem a mudanças nas condições de mercado. É uma medida da resposta da quantidade demandada ou ofertada a mudanças em um de seus determinantes. A demanda é "inelástica" quando a quantidade demandada aumenta (diminui) pouco diante da queda (aumento) do preço.




Tela 40
MÓDULO I – Teoria das vantegens comparativas
3 - Canais de distribuição

A cooperativa tem a função de concentrar a oferta e coordenar a distribuição dos produtos e serviços em canais adequados. Em geral, a empresa cooperativa permite que o produto do associado chegue a mercados que estariam fora do alcance do produtor caso este operasse isoladamente.

Por canal de distribuição entende-se o fluxo de bens, serviços, informações e recursos financeiros entre fabricante, intermediários do mercado e usuário final do produto.

Assim, canal de distribuição é o conjunto de organizações interdependentes envolvidas no processo de tornar um produto ou serviço disponível para consumo.

Sob a ótica do usuário, o sistema de distribuição presta as seguintes contribuições:

  • economia de custo – propiciada pela redução do custo de distribuição;
  • controle de qualidade – mediante padronização da oferta e homogeneização do produto;
  • serviços pós-venda – prestação de assistência técnica, treinamento, substituição de componentes, garantia etc.


Consumo é a utilização, a aplicação, o uso ou o gasto de um bem ou serviço por um indivíduo ou uma empresa.




Tela 41
MÓDULO I – Teoria das vantegens comparativas

Os participantes do canal de distribuição desenvolvem atividades indispensáveis que proporcionam utilidades de tempo, lugar e posse para os compradores.

Considere a situação de 500 produtores rurais que cultivam arroz. Isoladamente, eles tenderiam a vender o produto a granel, sem beneficiamento. Trabalhando de forma associativa, eles poderiam adquirir máquinas de descascar o arroz e vendê-lo in natura em sacas de 60 kilogramas. Para o consumidor final, esse produto teria baixo nível de utilidade, notadamente de posse. Reunidos em cooperativa, esses produtores de arroz entregariam sua produção para beneficiamento. O produto seria embalado em pacotes de 1 kg, 2 kg e 5 kg e distribuídos em redes de supermercado. Neste caso, haveria um incremento da utilidade do produto e, possivelmente, da remuneração do produtor.



utilidade de tempo - reside na satisfação obtida em dispor do produto sempre que desejado;



utilidade de lugar -promove a satisfação em encontrar o produto em local de fácil acesso para o usuário;



utilidade de posse - propiciada pelos serviços que tornam o produto disponível e funcional.



Tela 42
MÓDULO I – Teoria das vantegens comparativas

4 - Tipos de intermediários

A tipologia dos intermediários integrantes do canal de distribuição é definida pela função desempenhada no processo de escoamento da produção, destacando-se:

varejistas – compram mercadorias para revendê-las a consumidores finais;

atacadistas – compram mercadorias em grosso e as revendem a varejistas, usuários empresariais, outros atacadistas menores, exportadores e órgãos governamentais;

agentes – desempenham funções facilitadoras na troca, porém, geralmente, não adquirem a propriedade das mercadorias;

corretores – trabalham no sentido de aproximar compradores e vendedores em mercados em que, de outra forma, seria difícil fazer o contato. Os corretores não adquirem a posse de mercadorias e costumam ser designados para negociar produtos sazonais, sendo remunerados por comissões.

Nota-se que a empresa cooperativa insere-se bem na função de ligação entre o produtor (cooperado) e o consumidor ou usuário final do produto. Dessa forma, o produtor pode aumentar o valor adicionado ao produto, melhorando sua renda.




Tela 43
MÓDULO I – Teoria das vantegens comparativas
Distribuição física (ou logística) é o conjunto de atividades relacionadas à disponibilidade do produto no ponto de venda em condições adequadas e suficientes para suprir às necessidades do consumidor.

O consumidor não compra apenas o produto em si. Ele adquire produtos que satisfaçam suas expectativas de tempo e lugar.

Assim, uma rede logística bem gerida e bem operada tem o potencial de somar valor para o consumidor ainda que o produto da cooperativa não seja substancialmente diferente dos produtos da concorrência.

Para atingir tais propósitos, os componentes do sistema de distribuição física devem cumprir adequadamente as seguintes funções:

  • sistema de informações – tem a finalidade de dimensionar estoques, estimar a distribuição geográfica e temporal da demanda e gerir o padrão de comportamento da demanda;
  • sistema de processamento de pedidos – envolve as atividades de recebimento, monitoramento e encaminhamento de pedidos de vendas;


Tela 44
MÓDULO I – Teoria das vantegens comparativas
  • instalações de armazenagem – os armazéns para estocagem de produtos até que sejam vendidos têm a finalidade de regular a oferta, tornando o produto disponível ao usuário no tempo oportuno;
  • manuseio de materiais – os papéis desempenhados na fase de manuseio de materiais incluem recebimentos de mercadorias, etiquetagem e separação, remessa para armazenagem, espera, seleção de mercadorias, embalagem e expedição das remessas. São atividades tão complexas que o gerenciamento mediante utilização de softwares de otimização é capaz de reduzir de forma significava os custos envolvidos;
  • administração e controle de estoque – nível ótimo de manutenção de estoque, custos de atendimento e custo de falta de estoque;
  • administração de transporte – constitui a ligação entre as fontes de suprimento e os pontos de demanda em todo o canal de distribuição.


Tela 45
MÓDULO I – Teoria das vantegens comparativas
5 - Estratégia de posicionamento competitivo

Normalmente, as cooperativas atuam em mercados imperfeitos, isto é, aqueles em que o produtor ou o comprador detém poder de mercado.

Esse relativo controle sobre a demanda, no caso das cooperativas, decorre da posição de liderança de custos ou da capacidade de diferenciação de produto. O posicionamento depende de fatores de mercado, de estratégias competitivas ou, ainda de elementos ambientais.

a) Fatores de mercado – O tamanho do mercado constitui elemento básico para a estratégia de posicionamento da cooperativa. Mercados amplos oferecem condições para alcançar ganhos de escala, enquanto mercados especializados são mais adequados à política de diferenciação de produto.

A taxa de crescimento natural do segmento é importante, pois a probabilidade de sucesso da cooperativa é maior em setores econômicos dinâmicos.

A elasticidade da demanda é variável de grande relevância para decisões de investimento das cooperativas. Setores em que os consumidores são menos sensíveis a preço são mais atraentes que mercados cuja elasticidade de preço é elevada.



Elasticidade é a relação entre as diferentes quantidades de oferta de certas mercadorias, em função das alterações verificadas em seus respectivos preços, preços cruzados e renda do consumidor.



Tela 46
MÓDULO I – Teoria das vantegens comparativas

Nos mercados mais sensíveis a preço existem maiores probabilidades de ocorrência de guerra de preços com a expulsão dos fornecedores menos eficientes.

Os mercados em que os compradores (clientes finais ou intermediários na cadeia de distribuição) detêm poder de negociação são, freqüentemente, menos atraentes do que aqueles em que o fornecedor pode dominar e ditar as regras para o mercado.

O grau de flutuação da demanda em função da estação ou de outro ciclo também afeta a atratividade de um segmento potencial. Para uma empresa que já atenda um mercado altamente sazonal, uma nova oportunidade em um mercado contra-sazonal pode ser recomendável, possibilitando-lhe utilizar sua capacidade todo o ano.



Tela 47
MÓDULO I – Teoria das vantegens comparativas

b) Fatores econômicos – Mercados em que existem fortes barreiras de entrada são atraentes para as empresas já instaladas, pois inibe concorrentes potenciais. Os custos para superar estas barreiras podem tornar o empreendimento proibitivamente caro e antieconômico.

Os mercados em que os fornecedores detêm o monopólio são menos atraentes do que aqueles supridos por muitos fornecedores concorrentes.

O uso e o nível da tecnologia afetam a atratividade do mercado-alvo de formas diferentes para distintos concorrentes. Os mais desenvolvidos tecnologicamente serão atraídos para mercados que utilizam seus conhecimentos de modo mais completo e como barreira de entrada para outras empresas. No caso de empresas menos desenvolvidas tecnologicamente, com aptidões e pontos fortes em outras áreas, tais como pessoal, os mercados com menor teor tecnológico podem ser mais adequados.

O tamanho do investimento necessário, em termos financeiros e de outros comprometimentos, também afetará a atratividade de mercado, podendo vir a estabelecer a quase impossibilidade de que alguns mercados-alvo sejam atingidos por algumas empresas.



Tela 48
MÓDULO I – Teoria das vantegens comparativas

c) Fatores competitivos – Os mercados podem ser dominados por um (monopólio), dois (duopólio), alguns (oligopólio) ou por nenhum (concorrência perfeita) dos participantes.

A entrada em mercados dominados por um ou poucos concorrentes exige algum tipo de vantagem competitiva sobre eles, que possa ser usada para estabelecer diferenciação.

Em concorrência perfeita ou quase perfeita, a competitividade de preço é bem acirrada. Os participantes muito pequenos oferecem, em condições competitivas, produtos semelhantes, de forma que a diferenciação raramente é obtida e, quando é conseguida, então geralmente é com base no preço e não no desempenho ou na qualidade.

Para concorrer nesta condição, é necessário dispor de uma vantagem de custo (criada por intermédio de uma tecnologia superior, de fornecimento ou de escala de operações) ou de uma habilidade para criar uma singularidade valorizada no mercado.



Tela 49
MÓDULO I – Teoria das vantegens comparativas

d) Fatores ambientais – Alguns mercados são mais vulneráveis a oscilações econômicas do que outros. Os mercados de commodities são muito sensíveis a mudanças econômicas mais amplas, o que significa que há um controle menos direto no mercado por parte das empresas que dele participam.

Tal como ocorre com as incertezas econômicas, os mercados vulneráveis a fatores políticos ou legais são menos atraentes, a menos que a taxa de lucro seja elevada.

A extensão da regulamentação dos mercados em consideração afetará o grau de liberdade de ação que uma empresa goza em suas operações. Em geral, um mercado menos regulamentado oferece mais oportunidades para operadores inovadores do que aqueles que são muito controlados.

A preocupação com questões ambientais tem exigido, cada vez mais, que as empresas examinem as implicações sociais mais amplas dos mercados-alvo nos quais pretendem investir.



Tela 50
MÓDULO I – Teoria das vantegens comparativas

Resumo

O posicionamento competitivo está no âmago da implementação do marketing bem-sucedido, e, para muitas empresas, é a chave para a estratégia de mercado.

O objetivo do marketing consiste na escolha do foco das operações. A criação de uma vantagem competitiva na área escolhida pode ser feita tanto por meio de liderança de custo quanto pela diferenciação.

Para criar uma posição forte e defensável no mercado, a preocupação inicial deverá ser a diferenciação da oferta da empresa em relação aos seus concorrentes em algumas bases de valor para o cliente, não perdendo de vista que essa diferenciação deve envolver o menor custo possível.



Unidade 4 Módulo 5
Tela 51
MÓDULO I – Teoria das vantegens comparativas

1 - Administração financeira em sociedades cooperativas

Em geral, as cooperativas têm dificuldade de autofinanciar seus ativos e suas operações. A principal causa dessa deficiência pode ser creditada ao inadequado planejamento da política de preço e distribuição de sobras.

A solução destes problemas passa pela estruturação de programas de investimento e de financiamento que promovam a eficiência econômica global da organização.

Visando a permitir a avaliação da eficiência gerencial e social dos negócios da cooperativa, será desenvolvido um conjunto de indicadores de performance econômico-financeira, observadas as nuances dessas organizações.



Preço – em sentido amplo, o conceito expressa a relação de troca de um bem por outro. Em sentido mais usual e restrito, representa a proporção de dinheiro que se dá em troca de determinada mercadoria, constituindo, portanto, a expressão monetária do valor de um bem ou serviço.



Eficiência econômica é a relação entre o valor comercial de um produto e o custo unitário de sua produção. Portanto, a eficiência econômica aumenta quando aumenta a relação entre o valor de um produto em relação ao seu custo unitário, mantendo-se as qualidades que satisfaçam às normas técnicas.



Tela 52
MÓDULO I – Teoria das vantegens comparativas

2 - Indicadores de performance econômico-financeira

Os índices financeiros são segmentados em quatro grupos ou categorias básicas:


  • índices de liquidez;
  • índices de atividade;
  • índices de endividamento;
  • índices de rentabilidade.

O financiamento de empreendimentos corporativos pode ser feito de duas principais maneiras, não necessariamente excludentes.

Na primeira delas, os sócios alocam seus capitais próprios para a realização de inversões coletivas. A outra forma é por meio da captação de capitais de terceiros, em geral, por intermédio de instituições financeiras.

A situação mais comumente verificada é a composição de mix entre capitais próprios e capitais de terceiros que servem de fundos financiadores dos ativos econômicos.



Tela 53
MÓDULO I – Teoria das vantegens comparativas

Em todo caso, a sociedade cooperativa deve demonstrar capacidade econômica de gerar recursos suficientes para remuneração de seus investidores (cooperados) e credores financeiros (terceiros).

Em geral, quanto mais dívida a empresa possui em relação ao capital total de seu ativo, portanto maior alavancagem financeira, maiores serão os riscos de insolvência.

Assim, os índices de endividamento visam a examinar a composição das fontes de recursos de empresa. O grau de endividamento de uma organização determina sua dependência em relação a fontes externas para financiamento dos ativos.

De acordo com o direito empresarial que regula as sociedades comerciais e as sociedades civis de fins econômicos, os acionistas e/ou sócios têm apenas direitos residuais sobre os resultados econômicos.

Desse modo, ao capital próprio dos cooperados cabem tão somente os excedentes econômicos após pagamento da remuneração dos investidores externos à sociedade (bancos, fornecedores, debenturistas etc.), empregados e quitação de obrigações sócio-fiscais.



Insolvência é a situação em que uma empresa é incapaz de pagar seus compromissos. A caracterização da insolvência permite que, independentemente de qualquer pedido, seja decretada a falência de uma empresa. Cumpre destacar que, de acordo com a legislação brasileira, as cooperativas não se sujeitam ao instituto da falência.



Endividamento é a utilização de capitais de terceiros para financiar empreendimento produtivo ou antecipação de despesas de consumo.



Tela 54
MÓDULO I – Teoria das vantegens comparativas

Estrutura de capital

Nível de endividamento - O indicador de endividamento de uso mais freqüente é representado pela expressão 1, em que, no numerador, estão reunidas as contas integrantes do passivo circulante e do passivo exigível de longo prazo, e, no denominador, todas as contas do passivo, inclusive as representativas de capitais permanentes (de propriedade dos cooperados).


(1)

NE = Nível de endividamento total;
ET = Exigível (Passivo circulante + Passivo exigível de longo prazo);
PT = Passivo total.

Composição patrimonial - Os índices de liquidez têm o objetivo de avaliar a capacidade de pagamento de uma organização, isto é, o cumprimento dos reembolsos das obrigações assumidas.



Liquidez – disponibilidade em moeda corrente ou posse de títulos ou valores conversíveis rapidamente em dinheiro. Para uma cooperativa, a liquidez é representada pelo disponível e pelo realizável em curto prazo.



Tela 55
MÓDULO I – Teoria das vantegens comparativas

A liquidez corrente é a relação entre ativo circulante e passivo circulante, conforme expressão 2:

(2)

LC = Liquidez corrente;
AC = Ativo circulante;
PC = Passivo circulante.

A liquidez geral é a relação entre os ativos realizáveis e o passivo exigível, segundo a expressão 3:

(3)

LG = Liquidez geral;
ARLP = Ativo realizável de longo prazo;
PELP = Passivo exigível de longo prazo.

Um dos problemas ligados a estes indicadores consiste em seu caráter estático, que deixa de captar a magnitude e a distribuição temporal dos fluxos financeiros ativos e passivos.

Desta forma, é possível que uma cooperativa que apresente altos índices de liquidez passe por dificuldades financeiras momentâneas. Para evitar crises de liquidez, é recomendável que se trabalhe com programação dinâmica de caixa.



Tela 56
MÓDULO I – Teoria das vantegens comparativas

Os índices de rentabilidade procuram comparar os resultados líquidos obtidos pela cooperativa em relação à universalidade de recursos utilizados nas operações econômicas.

As expressões 4 a 9 apresentam diferentes modos de indicar a rentabilidade de organizações cooperativas:

(4)
(5)
(6)
(7)
(8)
(9)

RSA = Taxa de retorno sobre o ativo total;
SL = Sobras líquidas após dedução de tributos;
AT = Ativo total;
AO = Ativo operacional (ativo total deduzido os valores realizáveis referentes a operações de repasse a cooperado);
RAO = Rentabilidade do ativo operacional;
PL = Patrimônio líquido;
RL = Receita líquida;
ML = Margem líquida;
NAT = Número de associados ativos;
NEM = Número de empregados;
RPA = Renda por associado ativo;
RPE = Renda por empregado.



Tela 57
MÓDULO I – Teoria das vantegens comparativas

Nas organizações cooperativas, em geral, os índices de rentabilidade apresentam-se abaixo do desempenho das empresas não-cooperativas.

A causa de tal performance está associada às peculiaridades das cooperativas. Elas buscam maximizar a prestação de serviços aos cooperados. Em geral, operam em nível de custo de produção nas transações com associados.

Contudo, apesar de as cooperativas não visarem lucro (no sentido de remuneração de capital), elas dependem essencialmente da obtenção de resultados econômicos para financiar seu desenvolvimento empresarial.

Assim, observados os princípios do cooperativismo, as sobras poderão ser destinadas ao aumento de capital, com o propósito de realizar investimentos comuns, ou distribuídas aos associados na proporção de suas operações com a cooperativa.



Custo de produção – Dispêndio realizado na aquisição de todos os insumos necessários à elaboração de um produto. É a soma dos gastos com aquisição de matérias-primas, embalagens, armazenamento e transporte, pagamento de salários e contribuições sócio-fiscais, despesas administrativas, despesas com propaganda e marketing, pagamento de juros e outras despesas financeiras, pagamento de aluguéis, depreciação de investimentos.



Tela 58
MÓDULO I – Teoria das vantegens comparativas

Os índices de atividade são usados para medir a rapidez com que os ativos são convertidos em vendas ou em caixa. Em geral, adota-se como medida de atividade os seguintes indicadores: giro de estoque, prazo médio de pagamento, período médio de cobrança, giro do ativo permanente e giro do ativo total.

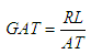
O giro do ativo total, apresentado na expressão 10, indica a eficiência com que a empresa utiliza seus ativos na geração de receitas. Quanto maior for o índice, melhor será o aproveitamento dos recursos aplicados no ativo.

(10)

GAT = Giro do ativo total;
RL = Receita líquida;
AT = Ativo total.



Tela 59
MÓDULO I – Teoria das vantegens comparativas
3 - Avaliação da eficiência social

Nas sociedades cooperativas somente a eficiência econômica não é suficiente para determinar o cumprimento dos objetivos da organização. Desse modo, as cooperativas dependem do êxito social para obter sucesso econômico.

Para avaliação da eficiência social das cooperativas, podem ser utilizados os indicadores a seguir.

a) Faturamento por associado – Este indicador procura mensurar a participação dos associados no ato cooperativo.

(11)

FMA = Faturamento por associado;
RL = Receita líquida;
NS = Número de associados.

b) Participação social – Este indicador mede o grau de envolvimento dos agentes produtivos localizados na área de atuação geoeconômica da cooperativa.

(12)

PS = Participação social;
NS = Número de sócios;
NP = número de agentes econômicos na área de atuação da cooperativa.



Tela 60
MÓDULO I – Teoria das vantegens comparativas

c) Participação em assembléias – Este indicador mede o nível de interesse dos cooperados em participar das decisões do empreendimento cooperativo.

(13)

PAS = Participação em assembléia;
QA = Número médio de sócios nas assembléias realizadas nos últimos 12 meses;
NS = Número de sócios.

d) Representatividade social – Este indicador mede o grau de representatividade dos associados junto à direção da empresa cooperativa.

(14)

RS = Representatividade social;
PO = Número de sócios que participam de órgãos sociais da cooperativa;
NS = Número de sócios.


e) Número de técnicos por associado – Este indicador avalia a capacidade de prestação de serviços de orientação técnica ao associado.

(15)

RTS = Relação de técnicos por associado;
NS = Número de sócios.
NS = Número de técnicos.



Tela 61
MÓDULO I – Teoria das vantegens comparativas
Resumo


Nas sociedades cooperativas, apenas a eficiência econômica não é suficiente para determinar o cumprimento dos objetivos da organização, pois o associado possui dupla natureza de sócio e usuário. Desta forma, a avaliação de desempenho dessas organizações deverá considerar fatores de eficiência social, a fim de aferir se os ganhos econômicos obtidos estão, de fato, sendo transferidos aos cooperados.

Visando a avaliar a eficiência gerencial dos negócios da cooperativa foram desenvolvidos os seguintes grupos de índices financeiros: índices de liquidez, índices de atividade, índices de endividamento e índices de rentabilidade.

Para fins de avaliação da eficiência social das cooperativas, foram selecionados os indicadores: avaliação da eficiência social, participação social, participação em assembléias, representatividade social e número de associados por técnicos.