Página 1


Módulo I - Taxa Proporcional e Taxa Equivalente
1 - Taxa proporcional

Aprendemos que a solução de problemas de Matemática Financeira exige que o prazo da operação seja expresso na mesma unidade de tempo da taxa de juros.

Sob essa premissa, alguns problemas envolvendo divergências na unidade de tempo da taxa e da operação, foram resolvidos mediante o uso de regra de três simples, para a transformação da taxa (no RCS) ou para a transformação do prazo (no RCC), permitindo, assim, a solução das questões.

Embora sempre haja a possibilidade de nos utilizarmos desses procedimentos, é essencial determos o conhecimento de modelos matemáticos que sirvam para a transformação das taxas em qualquer prazo, a fim de facilitar, tanto a solução dos problemas, quanto permitir a tomada de decisão com base apenas na comparação de taxas.

Além de demonstrar as metodologias que servem para a transformação dos prazos que envolvem as taxas de juros, vamos estudar os conceitos básicos necessários ao entendimento das diversas nomenclaturas utilizadas pelo mercado na divulgação das taxas.

Taxa proporcional é o conceito empregado em operações envolvendo o Regime de Capitalização Simples – RCS, revela que:


“Duas taxas de juros de prazos diferentes são ditas proporcionais se, quando aplicadas sobre o mesmo capital inicial, produzirem o mesmo montante acumulado ao final de determinado prazo”.

Exemplos



Copyright © 2003 AIEC.


A taxa de 1% ao mês é proporcional a taxa de 6% ao semestre, pois, no RCS, aplicadas a um capital de R$ 100,00 pelo prazo de seis meses, por exemplo, produzirão o mesmo montante.

Demonstrando a afirmação acima, a partir da formula de juros simples (FV = PV x (1 + i x n)), teremos:

R$ 100,00 a 1% a.m., por seis meses: FV = 100 x (1 + 0,01 x 6) = 106,00

R$ 100,00 a 6% a.s., por seis meses (1 sem.) : FV = 100 x (1 + 0,06 x 1) = 106,00
Como podemos verificar no exemplo, as duas taxas atendem ao conceito e, portanto, são ditas proporcionais.






Página 2


Módulo I - Taxa Proporcional e Taxa Equivalente
Fórmula genérica: Dado que o conceito envolve duas taxas de prazos diferentes, podemos convencionar como “i” a taxa de prazo maior e “ik” a taxa de prazo menor.

Para a definição de uma fórmula genérica, vamos eleger, ainda, a variável “k” como sendo o número de vezes que o prazo da taxa menor (ik) cabe no prazo da taxa maior (i).

Agora que temos todas as variáveis definidas, vamos retornar ao conceito de taxas proporcionais, demonstrando-o sob a forma de equação:

FV1 = FV2 (1)

A equação (1) indica que o montante (FV1) gerado por uma das taxas, a maior (i), por exemplo, é igual ao montante (FV2) gerado pela outra taxa (ik).

Substituindo FV1 e FV2, na equação (1), pela fórmula de cálculo de montante no RCS, teremos:

PV (1 + i x 1) = PV (1 + ik x k) (2)

Na equação (2), como “i” é a maior taxa ela representa o “todo” e, portanto, é empregada uma única vez. Já (ik), sendo a taxa de prazo menor, terá que ser empregada (k) vezes para alcançar o prazo da taxa maior. Ou seja, digamos que a taxa maior (i) fosse anual e a taxa (ik) fosse mensal. Considerando a taxa (i) para um ano ela ocorreria apenas uma vez neste intervalo, enquanto (ik) teria que ocorrer doze vezes para igualar seu prazo ao prazo da taxa maior (i).



Copyright © 2003 AIEC.





Página 3


Módulo I - Taxa Proporcional e Taxa Equivalente
Retornando à dedução da fórmula genérica, dado que PV é igual em ambos os lados da igualdade apresentada na equação (2), podemos eliminá-lo, obtendo:

1 + i = 1 + ik x k (3)

Utilizando-nos do mesmo raciocínio, dado que o numeral um apresenta-se em ambos os lados da equação, simplificando-as teremos:

i = ik x k (4)

A equação quatro revela que, no RCS, conhecida a taxa de prazo menor (ik), a taxa de prazo maior (i) será dada pela multiplicação de “ik” pelo número de vezes que o prazo da taxa menor couber no prazo da taxa maior (k).

Por outro lado, resolvendo a equação (4) para (ik), teremos:

ik = i / k (5)

Ou seja, conforme a equação (5), no RCS, conhecida a taxa de prazo maior (i), a taxa de prazo menor (ik) será dada pela divisão de “i” pelo número de vezes que o prazo da taxa menor couber no prazo da taxa maior (k).

Exercícios Resolvidos



Copyright © 2003 AIEC.





Página 4


Módulo I - Taxa Proporcional e Taxa Equivalente

a) Se uma operação de investimento é remunerada a uma taxa de 10% ao mês, quanto um aplicador obterá ao final de um ano, no RCS?

Dados:
Solução:
i = ? a.a. (taxa maior, ao ano) i = ik x k
ik = 0,10 a.m. (taxa menor, ao mês) i = 0,10 x 12
k = 12 (nº de meses que cabe num ano) i = 1,20 ou 120% a.a.

R: Ao final de um ano, o aplicador obterá 120% de rendimento.

b) Determinar a taxa bimensal proporcional a 6% ao quadrimestre

Dados:
Solução:
i = 0,06 a.q. (taxa maior, ao quadrimestre) ik = i / k
ik = ? a. b. (taxa menor, ao bimestre) ik = 0,06 /2
k = 2 (nº de bimestres que cabe num quadrimestre) ik = 0,03 ou 3%a.b.


R: A taxa bimensal proporcional a 6% a.q. é de 3% a.b..


c) Determinar a taxa anual proporcional a 3% ao trimestre

Dados:
Solução:
i = ? a.a. (taxa maior, ao ano) i = ik x k
ik = 0,03 a.t. (taxa menor, ao trimestre) i = 0,03 x 4
k = 4 (nº de trimestres que cabe num ano) i = 0,12 ou 12% a.a.

R: A taxa anual proporcional a 3% a.t. é de 12%.

Observação! Por se tratar de operações do RCS, se aplicarmos regra de três, para transformação da taxa, o resultado será o mesmo. No entanto, este raciocínio não pode ser seguido para operações do RCC, no qual deveremos utilizar, obrigatoriamente, o conceito de taxas equivalentes.



Copyright © 2003 AIEC.





Página 5


Módulo I - Taxa Proporcional e Taxa Equivalente

2 - Taxa equivalente

Conceito empregado em operações envolvendo o Regime de Capitalização Composto – RCC, revela que: “Duas taxas referentes a prazos distintos são equivalentes quando, para o mesmo prazo de aplicação, for indiferente aplicar certo capital a qualquer uma das duas taxas”.

Conforme podemos observar, o conceito de taxas equivalentes, em essência, corresponde ao de taxas proporcionais, diferenciando-se, apenas, por envolver o regime de capitalização composto – RCC.

Exemplo



Copyright © 2003 AIEC.


A taxa de 1% a.m. é equivalente a taxa de 2,01% ao bimestre pois, aplicadas a um capital de R$ 100,00, pelo prazo de seis meses, por exemplo, produzirão o mesmo montante.

Demonstrando a afirmação acima, a partir da formula de juros compostos (FV=PV x (1+i)n), teremos:

R$ 100,00 a 1% a.m., por seis meses:
FV=100 x (1+0,01)6 = 106,15

R$ 100,00 a 2,01% a.b., por seis meses (3 bim.):FV=100 x (1+0,0201)3 = 106,15






Página 6


Módulo I - Taxa Proporcional e Taxa Equivalente

Fórmula genérica - A dedução da fórmula genérica de taxas equivalentes segue o mesmo raciocínio das taxas proporcionais, diferenciando-se, por sua vez, pela utilização da equação de montante aplicada em juros compostos, ao invés de juros simples.

Assim como nas taxas proporcionais, vamos convencionar como “i” a taxa de prazo maior, “ik” a taxa de prazo menor e “k” como sendo o número de vezes que o prazo da taxa menor (ik) cabe no prazo da taxa maior (i).

A partir do conceito de taxas equivalentes, teremos:

FV1=FV2           (6)

Substituindo FV1 e FV2, na equação (6), pela fórmula de cálculo de montante no RCC, obtêm-se:

PV x (1+i)1 = PV x (1+iK)k         (7)


Dado que PV , na equação (7), é igual em ambos os lados da igualdade, podemos eliminá-lo, obtendo:

1+i = (1+iK)k          (8)


Resolvendo a equação para (i), têm-se:

i = (1+iK)k-1            (9)

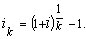
A equação nove revela que, no RCC, conhecida a taxa de prazo menor (ik), a taxa de prazo maior (i) será dada pela potência de um mais “ik” elevado ao número de vezes que o prazo da taxa menor couber no prazo da taxa maior (k), menos um.

Por outro lado, resolvendo a equação (9) para (ik), aplicando-se o conceito de radiciação estudado na Unidade I, teremos:

iK= (1+i)1/k-1     (10)

Ou seja, conforme a equação (10), no RCC, conhecida a taxa de prazo maior (i), a taxa de prazo menor (ik) será dada pela potência de um mais “i” elevado a um sobre o número de vezes que o prazo da taxa menor couber no prazo da taxa maior (k), menos um.

Exercícios Resolvidos



Copyright © 2003 AIEC.





Página 7


Módulo I - Taxa Proporcional e Taxa Equivalente

a) Se uma operação de investimento é remunerada a uma taxa de 10% ao mês, quanto um aplicador obterá ao final de um ano? (Lembre-se que, por convenção, se o enunciado não indicar que a operação é efetuada pelo RCS, devemos considerá-la no RCC)

Dados: Solução:
i = ? a.a. (taxa maior, ao ano) i= (1+iK)k-1
ik = 0,10 a.m. (taxa menor, ao mês) i = ( 1+ 0,1)12-1
k = 12 (nº de meses que cabe num ano) i = 3,138428 -1
  i = 2,138428 ou 213,84% a.a.


R: A uma taxa de 10% a.m. um aplicador obterá 213,84% ao final de um ano.


b) Determinar a taxa bimestral equivalente a 6% ao quadrimestre

Dados: Solução:
i = 0,06 a.q. (taxa maior, ao quadrimestre) iK= (1+i)1/k-1
ik = ? a. b. (taxa menor, ao bimestre) iK= (1+0,06)1/2-1
k = 2 (nº de bimestres que cabe num quadrimestre) ik = 0,0296
ou 2,96%a.b.

R: A taxa bimensal equivalente a 6% a.q. é de 2,96% a.b.

c) Determinar a taxa anual equivalente a 3% ao trimestre

Dados: Solução:
i = ? a.a. (taxa maior, ao ano) i= (1+iK)k-1
ik = 0,03 a.t. (taxa menor, ao trimestre) i= (1+0,03)4-1
k = 4 (nº de trimestres que cabe num ano) i = 0,1255 ou 12,55% a.a.

R: A taxa anual equivalente a 3% a.t. é de 12,55% a.a..

Observação! Note que, embora as variáveis dos problemas resolvidos sejam as mesmas das taxas proporcionais, sob o conceito de taxas equivalentes, os resultados apresentam-se diferentes, devido ao fato de considerar juros sobre juros. Dessa forma, fica evidente que, no RCC não podemos nos utilizar de regra de três para transformarmos as taxas de juros, dado que este método não reflete as características de operações efetuadas sob este regime.



Copyright © 2003 AIEC.





Página 8


Módulo I - Taxa Proporcional e Taxa Equivalente

3 - Utilizando o Excel

1. Abra uma pasta nova que depois poderá ser arquivada com o nome de Taxas Proporcionais e Equivalentes.

PLANILHA DE CÁLCULO PARA TAXAS PROPORCIONAIS

2. No intervalo B2 escreva: Cálculo de taxas proporcionais.

3. No intervalo B3:D3, digite os títulos “Variáveis”, “Dados” e “Resultado”.

4. No intervalo B4:B6, indique as variáveis “i”, “ik” e “k”.

5. Usando os recursos de formatação do Excel, formate os intervalos C4:D4 e C5:D5 como percentual %, todos com duas casas decimais.

6. No intervalo D4:D5 registre as fórmulas de cálculo de “i” e “ik”, utilizando a função lógica SE, ou então digite:

6.1 Na célula D4: =SE(C4="?";C5*C6;"")

6.2 Na célula D5: =SE(C5="?";C4/C6;"")

7. As fórmulas acima estabelecem as relações lógicas da função. Analisando, por exemplo, a equação da célula D4, teremos:

SE for cumprida a condição lógica C4 = “?”
    ENTÃO calcule C5*C6 e apresente o resultado na célula D4
    SENÃO registre um rótulo vazio “” na célula D4
8. Caso deseje utilizar a função SE diretamente, coloque o cursor na célula D4 e selecione INSERIR, FUNÇÃO.

9. No campo CATEGORIA escolha: LÓGICA e no campo NOME escolha SE.

10. Tomando como base a equação 6.1, no campo Teste lógico insira C4=”?”; no campo Valor_se_verdadeiro digite: C5*C6 e no campo Valor_se_falso digite “”.

11. Ao final da digitação clique OK.

12. Repita os procedimentos de 8 a 11 para a célula D5, com base na equação 6.2.


Copyright © 2003 AIEC.





Página 9


Módulo I - Taxa Proporcional e Taxa Equivalente

PLANILHA DE CÁLCULO PARA TAXAS EQUIVALENTES

1. No intervalo B9 escreva: Cálculo de Taxas Equivalentes

2. No intervalo B10:D10, digite os títulos “Variáveis”, “Dados” e “Resultado”.

3. No intervalo B11:B13, indique as variáveis “i”, “ik” e “k”.

4. Usando os recursos de formatação do Excel, formate os intervalos C11:D11 e C12:D12 como percentual %, todos com duas casas decimais.

5. No intervalo D11:D12 registre as fórmulas de cálculo de “i” e “ik”, utilizando a função lógica SE, conforme explicado nos itens de 8 a 12, ou então digite:

5.1 Na célula D11: =SE(C11="?";(1+C12)^C13-1;"")

5.2 Na célula D12: =SE(C12="?";(1+C11)^(1/C13)-1;"")

Efetue a solução dos exercícios resolvidos no capítulo colocando as variáveis do enunciado nos campos referentes aos “dados” e “?” no campo “dados” da variável que se deseja calcular no problema. Lembre-se que o conceito de taxas proporcionais serve para solução de problemas de conversão de taxas no RCS e taxas equivalentes no RCC. Além disso, independente do regime de capitalização, “i” é a taxa de prazo maior, “ik” a taxa de prazo menor e “k” o número de vezes que o prazo da taxa menor cabe no prazo da taxa maior.



Copyright © 2003 AIEC.





Página 10


Módulo I - Taxa Proporcional e Taxa Equivalente

As figuras abaixo representam as planilhas construídas mediante os procedimentos descritos anteriormente:



Copyright © 2003 AIEC.





Página 11


Módulo I - Taxa Proporcional e Taxa Equivalente
Resumo

Um dos problemas mais comuns no dia a dia do mercado financeiro consiste na necessidade de transformação das taxas divulgadas pelas instituições financeiras, de forma a adequá-las ao prazo desejado pelo poupador ou tomador de recursos, em operações específicas.

Para efetuarmos essas transformações, verificamos que o primeiro passo é caracterizarmos o regime de capitalização utilizado na operação. Caso a operação seja efetuada sob o RCS, as taxas poderão ter seu prazo convertido mediante a utilização das equações de taxas proporcionais ou, ainda, pela utilização de regra de três simples.

Quando o regime de capitalização empregado na operação for o RCC, devemos utilizar o conceito de taxas equivalentes para a conversão das taxas, lembrando que, para este regime, não podemos utilizar regra de três, devido a ocorrência de juros sobre juros.

Problemas de conversão de taxas envolvem três variáveis: “i” – que representa a taxa de prazo maior; “ik” – taxa de prazo menor e “k” – número de vezes que o prazo da taxa menor cabe no prazo da taxa maior.

As fórmulas de conversão empregadas para taxas sob o RCS são:

(4) i = ik x k
e
(5) ik = i / k.

A equação (4) serve para calcularmos a taxa de prazo maior (i) a partir de uma taxa de prazo menor (ik) conhecida. Já a equação (5) possibilita o cálculo da taxa de prazo menor (ik) a partir de uma taxa de prazo maior conhecida (i).

No RCC, as fórmulas empregadas para conversão são:

(9)        i= (1+iK)k-1
e
(10)     iK= (1+i)1/k-1


Enquanto a equação (9) serve para calcularmos a taxa de prazo maior (i) a partir de uma taxa de prazo menor (ik) conhecida, a equação (10) possibilita o cálculo da taxa de prazo menor (ik) a partir de uma taxa de prazo maior conhecida (i).



Copyright © 2003 AIEC.





Página 12


Módulo 2 - Taxa Nominal, Efetiva, Unificada e Over
1 - Componentes das Taxas de Juros

Dando prosseguimento à unidade que trata dos diversos tipos de taxas de juros existentes no mercado, vamos abordar as chamadas taxas nominais, efetivas, unificadas e over.

Toda taxa de juros é composta de três elementos: valor, prazo e período de capitalização.
Exemplo: 10% a.a. ccm, onde:

10% = valor
a.a. = prazo a que se refere a taxa (ao ano)
ccm = período de capitalização (com capitalização mensal)

Embora possa parecer novidade a inclusão do componente “período de capitalização” na taxa, salienta-se que este item esteve presente em todas as questões resolvidas em nosso curso até o momento, mesmo que de uma forma implícita.

Para entendermos melhor essa afirmação é necessário sabermos que, por convenção, quando o período de capitalização for igual ao prazo da taxa ele é omitido. Assim, quando escrevemos, por exemplo, 2% a.b., embora não esteja indicado explicitamente o período de capitalização, sabemos que o mesmo é ao bimestre, ou ccb. Por convenção, dado que o período de capitalização é o mesmo do prazo da taxa ele não é escrito.

O período de capitalização é muito importante para identificarmos o tipo de taxa que estamos tratando e quais os procedimentos que deverão ser adotados para incluí-la nas fórmulas de cálculo.

É o período de capitalização que indica a ocorrência, ou periodicidade, do cálculo dos juros nas operações financeiras. Além disso, é a partir dele que identificamos se uma taxa é nominal ou efetiva, conforme veremos a seguir.



Copyright © 2003 AIEC.





Página 13


Módulo 2 - Taxa Nominal, Efetiva, Unificada e Over
Taxa Nominal - é dita nominal quando o seu prazo for diferente do período de capitalização. Dada esta característica, as taxas nominais não representam o ganho ou custo efetivo da operação, não podendo, portanto, serem empregadas diretamente nas fórmulas de cálculo.

Exemplo

Uma característica importante das taxas nominais é que elas são formadas pelo conceito de “juros simples”, ou seja, a taxa de 12% a.s. cct, do exemplo acima, representa a taxa proporcional ao semestre de uma taxa
uma de 6% ao trimestre.

Taxa efetiva - é dita efetiva quando o seu prazo for igual ao período de capitalização. Dada esta característica, as taxas efetivas representam o ganho ou custo efetivo da operação, podendo, portanto, serem empregadas diretamente nas fórmulas de cálculo.

Exemplos

Lembre-se! Como o período de capitalização é igual ao prazo ele é omitido.

Ao contrário das taxas nominais, as taxas efetivas são formadas pelo conceito de juros compostos.



Copyright © 2003 AIEC.


35% a.a. ccm 4 prazo ao anoperíodo de capitalização ao mês
12% a.s. cct 4 prazo ao semestre período de capitalização ao trimestre



2% a.m. 4 prazo ao mês = período de capitalização ao mês
5% a.a. 4 prazo ao ano = período de capitalização ao ano






Página 14


Módulo 2 - Taxa Nominal, Efetiva, Unificada e Over
2 - Transformação de Taxas

Tendo em vista que a taxa efetiva representa, por conceito, o custo ou ganho da operação, essa é aquela que realmente vai interessar ao agente econômico em suas decisões financeiras.

Muitas vezes, no entanto, o mercado financeiro divulga as nominais ao invés das efetivas em suas operações, gerando a necessidade de sua transformação para que o custo ou ganho seja conhecido.

Nesse sentido, o exemplo clássico é o da operação de poupança, cuja remuneração muitas vezes é anunciada como sento de 6% a.a. ccm + TR.

Deixando de lado, por enquanto, a parcela da TR na remuneração desse investimento, percebe-se que, por não ser uma taxa efetiva (prazo ≠ período de capitalização), seu rendimento será conhecido somente se transformarmos a taxa nominal em efetiva.



Copyright © 2003 AIEC.





Página 15


Módulo 2 - Taxa Nominal, Efetiva, Unificada e Over

Existem dois modelos básicos de conversão de taxas:


O primeiro destina-se a transformar taxas nominais (juros simples) em taxas efetivas (juros compostos), e se dá mediante o uso do conceito de taxas proporcionais



O segundo serve para a conversão de taxas efetivas (juros compostos) em taxas efetivas de prazos diferentes e é efetuado pela utilização do conceito de taxas equivalentes.

Como podemos notar, os dois modelos têm por base os conceitos de juros proporcionais e juros equivalentes, ambos tratados no módulo anterior.


Exemplo: Taxa de Juros da Poupança



Copyright © 2003 AIEC.





Página 16


Módulo 2 - Taxa Nominal, Efetiva, Unificada e Over

Conforme observado anteriormente, um depósito de poupança paga 6% a.a. ccm + TR. Desconsiderando a correção do capital pela TR, quanto um investidor obterá de rendimento após um ano?

Para resolvermos essa questão, necessitamos inicialmente transformar a taxa nominal de 6% a.a. ccm em uma taxa efetiva. A conversão deste tipo de taxa é feita, inicialmente, para o período de capitalização. Assim, como o período de capitalização é mensal, iremos transformar a taxa de prazo anual em mensal, utilizando-nos do conceito de taxas proporcionais.

Como o exemplo pede o rendimento anual, é necessário que a taxa efetiva ao mês, encontrada no passo anterior, seja transformada em uma taxa efetiva anual. Efetuamos, então, esta segunda conversão pelo conceito de taxas equivalentes, por se tratar de uma taxa efetiva.

Os procedimentos de cálculo podem ser verificados na figura a seguir:


A figura acima mostra que a remuneração efetiva de uma operação de poupança, efetuada pelo prazo de um ano, é de 6,17%.

Para chegarmos a este resultado, transformamos inicialmente a taxa nominal (6% a.a. ccm) em uma efetiva ao mês, utilizando o conceito das proporcionais. Posteriormente, convertemos a taxa efetiva de 0,5% a.m. em uma taxa efetiva ao ano, pelo conceito das equivalentes.



Copyright © 2003 AIEC.





Página 17


Módulo 2 - Taxa Nominal, Efetiva, Unificada e Over

3 - Taxa Over e Unificadas

Taxa over - Taxa exclusiva do mercado financeiro nacional, surgiu em períodos de alta inflação, quando os ativos eram remunerados em base diária. Muito empregada em operações envolvendo títulos do governo, tesourarias de bancos e grandes empresas, caracteriza-se por ser uma taxa nominal, formada pela taxa efetiva de um dia multiplicada por 30.

Exemplo:

Em 22.01.2001 a taxa média de negociação de títulos do governo federal (SELIC) fechou cotada a 1,69% a.m. (over). Qual a taxa efetiva de uma operação de um ano que a toma como referência?

Utilizando-nos dos modelos de conversão e, dado que a taxa over é nominal de 30 dias, com base na taxa efetiva diária, teremos:

Para resolvermos o problema, devemos primeiramente transformar a taxa nominal (de trinta dias) em uma efetiva diária, nos utilizando do conceito das proporcionais. Feito isso, a efetiva diária é transformada em anual pelo conceito de taxas equivalentes.

Observação: Dado que operações baseadas em taxas over consideram apenas os dias úteis, o "k" na transformação da taxa efetiva diária em anual será igual a 252.



Copyright © 2003 AIEC.





Página 18


Módulo 2 - Taxa Nominal, Efetiva, Unificada e Over

Taxas Unificadas - Aplica-se esse conceito quando a taxa final de uma operação compõem-se de duas ou mais taxas. A primeira geralmente representando um indexador qualquer, que serve para a correção do capital e a segunda, teoricamente, sendo o ganho da operação

Exemplo: TR + 0,5% a.m.
Variação cambial + 15% a.a.
IGP-M + 5% a.s.

Fórmula Genérica - Ao contrário do que possa parecer, em operações que envolvam mais de uma taxa, não podemos simplesmente somá-las, a fim de obter a final.

Essa característica decorre do fato de que, nessas operações, o indexador serve para corrigir o capital inicial, ou seja, primeiro corrigimos o valor da operação para depois aplicarmos a taxa de juros.

Com base nessa premissa, verificamos pela dedução da fórmula, demonstrada a seguir que, embora divulgada como soma, a taxa final - unificada, será constituída pelo produto das taxas que compõem a operação.



Copyright © 2003 AIEC.





Página 19


Módulo 2 - Taxa Nominal, Efetiva, Unificada e Over
Tomemos a figura abaixo como a representação de uma taxa unificada “iu”, composta por duas taxas: “i1” e “i2”.

Dado que o capital é corrigido inicialmente pela taxa “i1” e, posteriormente pela taxa “i2”, temos, então:


Um montante pela taxa 1(FV1), onde:

FV1= PV(1+i1)
(1)

e um montante pela taxa 2 (FV2), que representa a aplicação da segunda taxa sobre o capital corrigido (FV1):

FV2= FV1(1+i2)
(2)


Copyright © 2003 AIEC.





Página 20


Módulo 2 - Taxa Nominal, Efetiva, Unificada e Over
Por outro lado, sabemos que o montante final (FV2) pode ser calculado mediante a aplicação de uma taxa única, resultado da unificação das duas taxas que compõe a operação (iu), então, FV2 pode ser dado também pela seguinte equação:

FV2=PV(1+iu)
(3)

Substituindo-se a equação (2) na (3), tem-se:
 

FV1=PV(1+i2)=PV(1+iu)
(4)


Substituindo-se a equação (1) na (4), obteremos:

PV(1+i1)(1+i2)=PV(1+iu)
(5)

Simplificando a equação (5) e resolvendo para (iu), encontraremos:

iu=(1+i1)x(1+i2)-1
(6)

A fórmula (6) representa a taxa unificada (iu) de uma operação envolvendo duas taxas. Conforme podemos notar, iu ≠ i1 + i2.

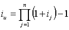
Se desejássemos unificar “n” taxas, teríamos:

iu=(1+i1)x(1+i2)x...x(1+in)-1
(7)

a fórmula (7) poderia ser representada, ainda, pela seguinte equação:

(8)

onde representa o “produtório” das taxas “j”, da 1ª até n-ésima taxa que compõem o problema.

Exemplo

Sabendo-se que a taxa referencial (TR) para a próxima sexta-feira é de 0,6273%, qual será a remuneração de uma conta de poupança (rendimento de 0,5%a.m + TR) com aniversário naquela data?

Dados Solução
i1 = TR = 0,006273

iu=(1+i1)x(1+i2)x...x(1+in)-1

i2 = 0,005

iu=(1+0,006273)x(1+0,005)-1

 

iu=0,011304 ou iu=1,1304%

R: A remuneração da poupança será de 1,1304%.

Note que o resultado é diferente da soma das taxas!



Copyright © 2003 AIEC.





Página 21


Módulo 2 - Taxa Nominal, Efetiva, Unificada e Over
4 - Utilizando o Excel

Abrir o Excel e seguir o procedimento

Tendo em vista que as taxas nominais, efetivas e over são convertidas pelo conceito das proporcionais ou equivalentes, você poderá utilizar a planilha de "Taxas Proporcionais e Equivalentes", desenvolvida no módulo anterior, para a solução de problemas envolvendo a conversão destes tipos de taxa.

Dessa maneira iremos desenvolver apenas a planilha que serve para o cálculo das unificadas, conforme descreveremos a seguir.

1. Abra uma pasta nova que depois poderá ser arquivada com o nome de Taxas Unificadas.

2. No intervalo B2 escreva: Cálculo de taxas unificadas.

3. No intervalo B3:C3, digite os títulos “Variáveis” e “Dados.

4. No intervalo B4:B7, indique as variáveis: “i1” , “i2” , “i3” e “i4”.

5. No intervalo B8 escreva: “resultado iu”.

6. Usando os recursos de formatação do Excel, formate o intervalo C4:C8 como percentual %, com duas casas decimais.

7. No intervalo C8 registre as fórmulas de cálculo de “iu” digitando na célula: = (1+C4)*(1+C5)*(1+C6)*(1+C7)-1.

Observação: Esta planilha está preparada para unificar até quatro taxas, caso o aluno deseje uma com possibilidade maior, basta alterar o passo 4 para a quantidade de taxas desejada, não esquecendo de ajustar a fórmula do passo 7 para o número de taxas escolhido.



Copyright © 2003 AIEC.





Página 22


Módulo 2 - Taxa Nominal, Efetiva, Unificada e Over

A figura abaixo representa a planilha construída mediante os procedimentos descritos anteriormente:



Copyright © 2003 AIEC.





Página 23


Módulo 2 - Taxa Nominal, Efetiva, Unificada e Over
Resumo

As taxas de juros possuem três componentes: valor (10%), prazo (ao ano) e período de capitalização (com capitalização mensal). O período de capitalização se refere à periodicidade com a qual são calculados os juros na operação e, quando não estiver explicito, significará dizer que este é igual ao prazo da taxa. Exemplo: 2% a.b. (como a periodicidade de capitalização não é revelada, indica que ela é igual ao prazo, ou seja, no exemplo, bimestral).

Taxas Nominais - são aquelas cujo prazo difere do período de capitalização, não representando o custo ou ganho da operação. Exemplo: 6% a.a. ccm.

Taxas Efetivas - representam as de cujo prazo é igual ao período de capitalização e, como sugere o nome, representam efetivamente o custo ou ganho da operação. Exemplo: 2% a.m. (dado que o prazo é igual ao período de capitalização, este último não precisa ser explicitado).

Taxas Over - genuinamente brasileira, representa uma taxa nominal calculada a partir da efetiva diária multiplicada por 30.

Taxas Unificadas - ocorre sempre quando a final de uma operação for composta de duas ou mais taxas. Exemplo: operação de poupança, que remunera mensalmente pela TR + 0,5%.



Copyright © 2003 AIEC.





Página 24


Módulo 2 - Taxa Nominal, Efetiva, Unificada e Over
Dada a variedade de taxas existentes no mercado, os agentes econômicos poderão se deparar com as seguintes necessidades de conversão:

1) converter taxas nominais em taxas efetivas; e

2) converter taxas efetivas em outras taxas efetivas de prazo diferente.

Para atender a necessidade (1), dado que as nominais são formadas sob a ótica de juros simples, o aluno deverá se utilizar do conceito de taxas proporcionais, aplicando a equação ik = i / k, a fim de convertê-la para o período de capitalização que for informado. Exemplo: uma taxa ao ano, com capitalização mensal, deverá ser convertida para uma taxa efetiva ao mês.

Para os casos em que tiver a necessidade (2), o aluno deverá se utilizar do conceito e fórmulas de taxas equivalentes, onde: i=(1+ik)k-1 e ik=(1+i)1/k-1.

Por fim, em problemas cuja taxa final seja representada pela composição de duas ou mais (taxas unificadas), ao invés de somá-las, deveremos proceder a sua unificação, mediante o uso da equação genérica:

iu=(1+i1)x
(1+i2)x...x(1+in)-1



Copyright © 2003 AIEC.





Página 25


Módulo 3 - Taxa Real e Taxa Aparente
1 - Inflação e Índices de Preços

Quando iniciamos o estudo de nossa disciplina, salientamos a necessidade de que as taxas de juros do mercado fossem suficientes para garantir o poder de compra dos agentes poupadores, além de oferecer ganho real.

Enquanto a garantia do poder de compra está relacionada à capacidade dos juros em neutralizar os efeitos da inflação, que, em poucas palavras, pode ser definida como o aumento generalizado do nível de preços na economia, o ganho real refere-se à expectativa dos agentes em ampliar seu poder aquisitivo no futuro, pelo recebimento de juros maiores do que a inflação.

Ocorre, no entanto, que na maior parte das operações transacionadas no mercado, os juros são definidos no momento da contratação (prefixados), enquanto que a inflação somente será conhecida no decorrer do contrato.

Assim, a taxa de inflação irá influenciar o ganho real dos agentes econômicos, na medida em que irá “consumir” parcela da remuneração obtida, podendo, inclusive, tornar negativo o resultado da operação.

Vamos verificar a influência da inflação no custo ou rendimento de operações financeiras, buscando fazer uma ligação entre o valor financeiro do dinheiro e o seu valor real, ou seja, aquilo que ele pode comprar de mercadorias e serviços e que, em síntese, deve representar a verdadeira preocupação dos agentes econômicos.



Copyright © 2003 AIEC.





Página 26


Módulo 3 - Taxa Real e Taxa Aparente

Podemos definir inflação como o aumento generalizado nos preços de mercadorias e serviços transacionados no mercado. Esse aumento de preços é periodicamente medido pelos chamados índices de preços, que nada mais são do que médias ponderadas dos preços de um número fixo de produtos.

Ao longo do tempo, a taxa de inflação apresenta um comportamento exponencial pois, assim como nos juros compostos, o aumento de preços de um determinado conjunto de produtos e serviços incorpora acréscimos apurados em períodos anteriores.

Exemplo

Digamos que no mês de janeiro de 1999 o valor de mercado da cesta de produtos que compunha um determinado índice de preços tenha sido de R$100,00 e nos meses subseqüentes, de fevereiro e março, o valor tenha saltado para R$ 102,00 e R$ 104,00, respectivamente.

Para calcularmos a taxa de inflação a partir do índice, empregamos a seguinte equação:

Onde:

= taxa de inflação obtida a partir de determinado índice de preços;
P = índice de preços utilizados para o cálculo da taxa de inflação;
n e n-t = respectivamente, data de determinação da taxa de inflação e o período anterior considerado


Copyright © 2003 AIEC.





Página 27


Módulo 3 - Taxa Real e Taxa Aparente

Retornando ao exemplo:

a) A inflação de fevereiro será de 4 4 0,02 ou 2%.

b) A inflação de março 4
4 0,019608 ou 1,96%, aproximadamente.

c) A inflação de todo o período, de janeiro a março, será de 4 4 0,04 ou 4%.

Conforme podemos verificar, a taxa de inflação calculada entre dois períodos, fevereiro e março, por exemplo (item “b”), considera as variações de preços ocorridas anteriormente.

Essa característica implica não poderem as taxas de inflação dos dois períodos, fevereiro e março, ser simplesmente somadas mas sim unificadas para encontrarmos a inflação de janeiro a março (item “c”).

De acordo com a equação de taxas unificadas aprendida na unidade anterior, onde: iu=(1+i1)x(1+i2)x...x(1+in)-1 , unindo-se as de fevereiro e de março chegaremos aos 4% obtidos no item “c”, o que não ocorreria caso as somássemos.



Copyright © 2003 AIEC.





Página 28


Módulo 3 - Taxa Real e Taxa Aparente

Dado seu comportamento exponencial, a conversão das taxas de inflação devem ser efetuadas pelo conceito de taxas equivalentes.

Exemplo

A taxa mensal de inflação de um quadrimestre atinge, respectivamente, 2,8%, 3,4%, 5,7% e 8,8% para cada mês. Determinar a taxa de inflação acumulada no período e a taxa média mensal.

1º Passo – Unificação das taxas para sabermos quanto foi a inflação no período. (dado que a inflação comporta-se como juros compostos devemos unificar as taxas e não somá-las)

Variáveis Solução
i1 = 0,028 iu=(1+i1)x(1+i2)x...x(1+in)-1
i2 = 0,034 iu=(1+0,028)x(1+0,034)x(1+0,057)x(1+0,088)-1
i3 = 0,057 iu=0,222 4 22,2%a.q.
i4 = 0,088  

R: A inflação do período foi de 22,2% ou 22,2% no quadrimestre.

2º Passo – Cálculo da Taxa Mensal pelo conceito de taxas equivalentes, tendo em vista que o comportamento da inflação é exponencial, ou seja, o mesmo comportamento de juros compostos
Variáveis Solução
i = 0,222 (ao quadrimestre)
ik = ? (ao mês)
k = 4 (nº. meses que cabe no quadrimestre) ik=0,051399 = 5,1399% a.m.

R: A taxa de 5,1399% representa a taxa média do quadrimestre (que é diferente da média simples dos quatro meses). Esta taxa, aplicada mês a mês, durante o período de 4 meses é que nos dará a inflação do período (de 22,2% a.q.).

Seguindo o exemplo, vamos supor que o preço de apenas um bem servisse para medir a inflação e que, no início do período, este preço estivesse no patamar de R$100,00. Aplicando a taxa média de inflação de 5,1399% sobre o preço do bem, teríamos, aproximadamente, um valor de R$ 105,14 no 1º mês, R$ 110,54 no 2º mês, R$ 116,23 no 3º mês e de R$ 122,2 no 4º mês, evidenciando a inflação de 22,2%, para o período de 4 meses.



Copyright © 2003 AIEC.





Página 29


Módulo 3 - Taxa Real e Taxa Aparente
Taxas de Juros em uma Economia Inflacionária

Em um contexto inflacionário, onde existe o crescimento do nível geral de preços, é necessário que os juros garantam o valor do dinheiro na aquisição de bens e produtos, além de uma parcela adicional que efetivamente compense o ato de poupar.

Dessa maneira, as taxas de juros devem ser compostas por uma parcela que sirva para corrigir o poder de compra, ou seja, cobrir a inflação (P), e outra que permita um ganho real para o dinheiro aplicado (r), demonstrando graficamente:

A condição de que a taxa de mercado (i) seja composta pela taxa esperada de inflação (P), mais uma outra real (r), ao menos em tese, é necessária para que haja poupança pois, se aquela de mercado (i) for igual ou menor que a inflação prevista (P), qual seria o incentivo dos agentes econômicos em poupar?

Analisando a figura acima, sendo “ i ” a taxa de juros de mercado, pode-se deduzir, a partir das afirmações anteriores, que esta é composta por uma de inflação “ P “ e outra real “ r “.



Copyright © 2003 AIEC.





Página 30


Módulo 3 - Taxa Real e Taxa Aparente

Utilizando-nos o conceito de taxas unificadas, estudado na aula anterior e, considerando as definições abaixo, onde:

i (taxa de mercado) = iu (taxa unificada)
(2)
P (taxa esperada de inflação) =i1 (taxa um)
(3)
r (taxa real ou ganho acima da inflação) = i2 (taxa dois)
(4)

Pode-se deduzir, a partir da equação das taxas unificadas, onde: iu=(1+i1)x(1+i2)x...x(1+in)-1 (5), a fórmula da taxa de juros sob um contexto inflacionário, bem como a taxa real de uma operação.

Substituindo as equações (2), (3) e (4) na equação (5), teremos:

(6)

onde:

i = taxa nominal ou aparente de uma operação

P = taxa de inflação

r = taxa real


Resolvendo para a taxa real:

(7)

Importante! O conceito de taxa nominal, sob enfoque econômico,daquele visto anteriormente. Neste caso, a taxa nominal (ou aparente) refere-se ao ganho/custo de uma operação antes de considerarmos a de inflação do período.

Sempre que a questão se referir a ganho real ou taxa de inflação deve-se estar ciente de que a abordagem é econômica e, portanto, deve ser usada as equações (6) ou (7) para a solução do problema.



Copyright © 2003 AIEC.





Página 31


Módulo 3 - Taxa Real e Taxa Aparente

2 - Ilusão Monetária

Ocorre quando operações aparentemente lucrativas estão, na verdade, gerando prejuízos aos investidores em termos reais, ou seja, considerada a taxa de inflação a operação não é lucrativa.

Este fenômeno explica a denominação “taxa aparente” (ou nominal) para a “ i “.

Exemplo:

Uma aplicação rendeu em determinado ano 15% e a taxa de inflação do período foi de 20%. Qual a taxa nominal (aparente) da operação e qual a taxa real obtida pelo investidor?

Taxa Aparente

A taxa aparente (ou nominal) foi de 15%, tendo em vista representar a remuneração do investidor antes de considerarmos a taxa de inflação do período.

Taxa Real

A taxa real da operação pode ser obtida aplicando-se a equação (6), onde:

Variáveis Solução
i = 0,15
Π = 0,20
r = ? r = – 0,0417 ou – 4,17%.

O resultado indica que, embora o dinheiro do investidor tenha crescido 15% em termos financeiros, seu poder de compra reduziu-se em 4,17%, devido ao efeito da inflação do período. A grosso modo, o dinheiro que ele têm hoje compra menos 4,17% das mercadorias e serviços que comprava antes de efetuar a aplicação.



Copyright © 2003 AIEC.





Página 32


Módulo 3 - Taxa Real e Taxa Aparente

Observação: Sob um enfoque econômico, a taxa real de uma operação, ou seja, aquela apurada depois de eliminados os efeitos inflacionários pode ser negativa, bastando para isso que a de inflação seja superior à nominal (aparente).



Copyright © 2003 AIEC.





Página 33


Módulo 3 - Taxa Real e Taxa Aparente

3 - Utilizando o Excel

1. Abra uma pasta nova que depois poderá ser arquivada com o nome de Taxas Reais e Aparentes.

2. No intervalo B2 escreva: Cálculo de taxas reais e aparentes.

3. No intervalo B3:D3, digite os títulos “Variáveis”, “Dados” e “Resultado”.

4. No intervalo B4:B6, escreva o nome das variáveis “Taxa Nominal”, “Inflação” e “Taxa Real”.

5. Usando os recursos de formatação do Excel, formate os intervalos C4:D6 como percentual %, todos com duas casas decimais.

6. No intervalo D4:D6 registre as fórmulas de cálculo da “Taxa Nominal”; “Inflação” e “Taxa Real”, utilizando a função lógica SE, ou então digite:

6.1 Na célula D4: =SE(C4="?";(1+C5)*(1+C6)-1;"")
6.2 Na célula D5: =SE(C5="?";(1+C4)/(1+C6)-1;"")
6.3 Na célula D6: =SE(C6="?";(1+C4)/(1+C5)-1;"")

7. As fórmulas acima estabelecem as relações lógicas da função. Analisando, por exemplo, a equação da célula D4, teremos:

SE for cumprida a condição lógica C4 = “?”


ENTÃO calcule (1+C5)*(1+C6)-1 e apresente o resultado na célula D4


SENÃO registre um rótulo vazio “” na célula D4


8. Caso deseje utilizar a função SE diretamente, coloque o cursor na célula D4 e selecione INSERIR, FUNÇÃO.

9. No campo CATEGORIA escolha: LÓGICA e no campo NOME escolha SE.

10. Tomando como base a equação 6.1, no campo Teste lógico insira C4=”?”; no campo Valor_se_verdadeiro, digite: (1+C5)*(1+C6)-1 e no campo Valor_se_falso digite “”.

11. Ao final da digitação clique OK.

12. Repita os procedimentos de 8 a 11 para a célula D5 e D6, com base nas equações 6.2 e 6.3.



Copyright © 2003 AIEC.





Página 34


Módulo 3 - Taxa Real e Taxa Aparente

Resumo

Em um contexto inflacionário, os agentes econômicos devem estar atentos ao impacto da inflação no custo ou rendimento de suas operações financeiras.

Entendida como o aumento generalizado dos preços na economia, a inflação influencia no resultado das operações financeiras, podendo neutralizá-lo e até mesmo torná-lo negativo, bastando para isso que o crescimento verificado nos preços seja igual ou superior a taxa de juros praticada pelo mercado.

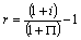
Embora não exista maneira precisa de determinar o percentual de ajustes futuros nos preços, é de se esperar que a taxa de juros praticada pelo mercado financeiro seja composta por duas parcelas: a primeira referente à expectativa de inflação para o período e a segunda por um ganho real esperado pelos investidores, assim, define-se a taxa de mercado, nominal ou aparente, como sendo o resultado da equação:

i=(1+P)x(1+r)-1
(6)

Onde:

i = taxa nominal ou aparente (praticada pelo mercado no momento da operação).

P = expectativa de inflação para o período.

r = taxa real esperada pelo investidor



Copyright © 2003 AIEC.





Página 35


Módulo 3 - Taxa Real e Taxa Aparente

Resolvendo a equação (6) para a taxa real (r), teremos:

r=(1+i) -1
(1+
P)
(7)

A equação (7) mostra que, sob um contexto inflacionário, a taxa real, que se refere ao ganho do poder aquisitivo do investidor, obtido em operações financeiras, será o resultado da nominal sobre a de inflação, ambas acrescidas de uma unidade, menos um.

Importante é verificarmos que a taxa real não representa simplesmente a taxa nominal menos a inflação, mas sim a razão entre estas duas, conforme demonstrado na fórmula (7).

Outro fato que merece atenção é que, sob o enfoque econômico, o termo “taxa nominal” não se refere ao conceito aprendido na unidade anterior, onde esta classificação era atribuída àquelas cujo prazo fosse diferente do período de capitalização.

Sob o enfoque econômico, o termo “taxa nominal”, também denominado “taxa aparente”, refere-se ao valor daquelas de juros antes de ser retirado o efeito da inflação.

Assim, sempre que a questão se referir ao ganho real ou à taxa de inflação deve-se estar ciente de que a abordagem é econômica e, portanto, devem ser usadas as equações (6) ou (7) para a solução do problema.



Copyright © 2003 AIEC.