Página 1


Módulo I - Sistema Francês de Amortização (SFA) ou Tabela Price
1 - Definições

Sistemas de Amortização - Constituem-se na forma pela qual empréstimos e financiamentos são devolvidos aos credores (mutuantes) , pelos devedores (mutuários), por meio de pagamentos periódicos denominados prestações.

Prestação (PMT) - Representam a soma das parcelas referentes à amortização (A) e aos juros (J) de uma operação de empréstimo ou de financiamento, pagas periodicamente, conforme estipulado em contrato firmado entre as partes credora e devedora. Em termos matemáticos, têm-se:

PMT = A+J
(1)

Amortização (A) - Refere-se à parcela da prestação (PMT) que serve para a reposição do capital emprestado, ou seja, é a devolução propriamente dita do recurso que se tomou emprestado.


Juros (J) - É a parcela da prestação (PMT) que representa o custo financeiro da operação para o devedor e a remuneração do capital emprestado para o credor. É calculado mediante a aplicação da taxa de juros estabelecida no contrato sobre o saldo devedor da operação.


Saldo Devedor (SD) - É a diferença, a qualquer tempo, entre o capital inicial e o valor já pago ao credor a título de amortização.



Copyright © 2003 AIEC.





Página 2


Módulo I - Sistema Francês de Amortização (SFA) ou Tabela Price
2 - Principais Sistemas de Amortização

Embora possa variar segundo cada contrato, os principais sistemas de amortização empregados pelo mercado financeiro são:

• Sistema Francês de Amortização (Tabela Price) – SFA

Sistema de Amortização Constante – SAC

Sistema de Amortização Misto – SAM

Sistema Americano de Amortização – SAA

Variáveis - Independente do sistema sob análise, empregaremos sempre as seguintes variáveis:

PV = valor do empréstimo ou financiamento
PMT = valor da prestação
n = número de prestações
i = taxa composta de juros



Copyright © 2003 AIEC.





Página 3


Módulo I - Sistema Francês de Amortização (SFA) ou Tabela Price
Sistema Francês de Amortização – SFA ou Tabela Price - Também chamado de “Tabela Price”, em homenagem ao inglês Richard Price, seu criador, recebe a denominação de “Sistema Francês” devido a sua ampla utilização na França no século XIX.

Talvez o sistema mais utilizado pelo mercado, caracteriza-se por representar uma série de prestações (PMT) periódicas (ocorrendo em intervalos constantes), iguais (soma da amortização mais juros com mesmo valor durante todo o contrato) e sucessivas. Como podemos verificar. O SFA caracteriza-se por ser uma Série Uniforme Postecipada – SUP, estudada na Unidade IV.

Para melhor entender a construção dos planos de pagamentos pelo SFA, vamos resolver o exemplo a seguir:

Exercício Resolvido



Copyright © 2003 AIEC.





Página 4


Módulo I - Sistema Francês de Amortização (SFA) ou Tabela Price
1) Seja um financiamento de R$ 10.000,00, à taxa de juros de 1,5% ao mês, a ser pago em 6 prestações mensais e iguais, mostrar o valor das prestações, os juros pagos, as amortizações e os saldos devedores para cada mês.

Como o valor das prestações é igual, sabemos que se trata do SFA.

1º Passo – construa a tabela conforme abaixo, colocando no mês “0”, mês atual, o valor do empréstimo (R$ 10.000,00) no saldo devedor.

Mês
Saldo Devedor
Amortização
Juros
Prestação
0
10.000,00
-
-
-
1
       
2
       
3
       
4
       
5
       
6
       

A tabela será preenchida da direita para a esquerda, a partir do cálculo da prestação que terá o mesmo valor para todos os meses.



Copyright © 2003 AIEC.





Página 5


Módulo I - Sistema Francês de Amortização (SFA) ou Tabela Price
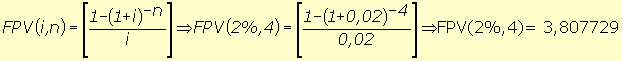
2º Passo – calcule o valor das prestações e insira na tabela. O cálculo das prestações é efetuado mediante a utilização da fórmula do valor presente (PV) de séries uniformes postecipadas (SUP), onde:

 PV = PMTxFPV(i,n) e
 
ou

No exemplo:

Variáveis Solução

PV = 10.000
(valor do empréstimo)

1) Calcula-se FPV (i,n)
i = 0,015 a.m.


n = 6 parcelas












FPV(1,5%,6) = 5,697187

2) Calcula-se o valor da prestação (PMT)

PV = PMTxFPV(i,n)

10.000 = PMTx5,697189

PMT
= 1.755,25

Preenchendo a tabela com o valor das prestações:

Mês
Saldo Devedor
Amortização
Juros
Prestação
0
10.000,00
-
-
-
1
     
1.755,25
2
     
1.755,25
3
     
1.755,25
4
     
1.755,25
5
     
1.755,25
6
     
1.755,25


Copyright © 2003 AIEC.





Página 6


Módulo I - Sistema Francês de Amortização (SFA) ou Tabela Price
3º Passo: calcule os juros (J) da 1ª parcela aplicando a taxa unitária do contrato sobre o saldo devedor do período anterior.

Para a primeira parcela (mês 1) o saldo devedor do período anterior (0) é igual a R$ 10.000,00. Como a taxa contratada foi de 1,5%, o juro (J) será igual a 0,015 x 10.000,00 = 150,00.

Preenchendo a tabela com o valor dos juros da 1ª parcela:

Mês
Saldo Devedor
Amortização
Juros
Prestação
0
10.000,00
-
-
-
1
    150,00
1.755,25
2
     
1.755,25
3
     
1.755,25
4
     
1.755,25
5
     
1.755,25
6
     
1.755,25

4º Passo: Defina o valor da amortização da primeira parcela.

Dado que a prestação (PMT) é definida como a soma da amortização (A) mais juros (J), ou seja:

PMT = A + J (1)

Resolvendo a equação (1) para a amortização (A) teremos:

A = PMT – J (2)

A equação (2) revela que a amortização pode ser encontrada mediante a subtração dos juros (J) da prestação (PMT).

Dado que no exemplo: PMT = 1.755,25 e os juros (J) da 1ª parcela são iguais a 150, então, aplicando-se a equação (2), obteremos:

A = 1.755,25 – 150 = 1.605,25

Preenchendo a tabela com o valor da amortização da 1ª parcela:

Mês
Saldo Devedor
Amortização
Juros
Prestação
0
10.000,00
-
-
-
1
 
1.605,25
150,00
1.755,25
2
     
1.755,25
3
     
1.755,25
4
     
1.755,25
5
     
1.755,25
6
     
1.755,25


Copyright © 2003 AIEC.





Página 7


Módulo I - Sistema Francês de Amortização (SFA) ou Tabela Price
5º Passo – Encontre o saldo devedor após o pagamento da primeira parcela.

Por definição, o saldo devedor (SD) em um momento qualquer “t” será o saldo devedor do período anterior “t-1” subtraído da parcela de amortização (A) que, em última análise, representa a devolução de uma parte do capital emprestado. Assim:

SDt = SDt-1– A (3)

Para o momento um, têm-se: SD0 = 10.000 e A1 = 1.605,25, então:

SD1 = 10.000 – 1.605,25 = 8.394,75

Preenchendo a tabela com o valor do saldo devedor após o pagamento da 1ª parcela:

Mês
Saldo Devedor
Amortização
Juros
Prestação
0
10.000,00
-
-
-
1
8.394,75
1.605,25
150,00
1.755,25
2
     
1.755,25
3
     
1.755,25
4
     
1.755,25
5
     
1.755,25
6
     
1.755,25


Copyright © 2003 AIEC.





Página 8


Módulo I - Sistema Francês de Amortização (SFA) ou Tabela Price
6º Passo – Preencha o restante da tabela repetindo do 3º ao 5º passo para as demais prestações, lembrando que:

Jt = i x SDt-1

At = PMT – Jt

SDt = SDt-1- At

Onde:
Jt = juros para o período “t”
SDt-1 = saldo devedor do período anterior a “t”
At = amortização do período “t”
SDt = saldo devedor do período “t”

Exemplo para a segunda prestação (t = 2):

J = 0,015 x 8.394,75 = 125,92

A = 1.755,25 – 125,92 = 1.629,33

SD = 8.394,75 – 1.629,33 = 6.765,42

Efetuando-se o cálculo para as demais parcelas encontraremos a seguinte tabela:

Mês
Saldo Devedor
Amortização
Juros
Prestação
0
10.000,00
-
-
-
1
8.394,75
1.605,25
150,00
1.755,25
2
6.765,42
1.629,33
125,92
1.755,25
3
5.111,65
1.653,77
101,48
1.755,25
4
3.433,07
1.678,58
76,67
1.755,25
5
1.729,32
1,703,75
51,50
1.755,25
6
0,01
1.729,31
25,94
1.755,25

Observação: O resíduo de R$ 0,01 no saldo devedor, após o pagamento da última parcela, decorre do arredondamento do valor das prestações. No mercado, este resíduo é geralmente acrescentado ao valor da última parcela.

Conforme podemos verificar, o SFA caracteriza-se por juros (J) decrescentes e amortizações (A) crescentes no decorrer do contrato.



Copyright © 2003 AIEC.





Página 9


Módulo I - Sistema Francês de Amortização (SFA) ou Tabela Price
3 - Fórmulas de Cálculo do SFA

Ao invés de construirmos a tabela passo a passo, poderemos utilizar as seguintes equações para a solução de problemas envolvendo a Tabela Price:

Cálculo do valor das prestações



Cálculo do valor da amortização na t-ésima prestação

At = A1(1+i)t-1

Cálculo do saldo devedor na t-ésima prestação


SDt = PMTtxFPV(i,n-t)

Cálculo da parcela de juros na t-ésima prestação

Jt = SDt-1xi

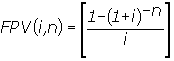
Fórmula do fator de valor presente (FPV(i,n))

ou



Copyright © 2003 AIEC.





Página 10


Módulo I - Sistema Francês de Amortização (SFA) ou Tabela Price

2) Uma pessoa realiza um financiamento de R$ 12.000,00 à taxa de juros de 2% ao mês, para ser pago em 4 prestações mensais, com dois meses de carência para o primeiro pagamento. Com base nestas informações calcule a) o valor das prestações; b) o saldo devedor após o pagamento da segunda parcela; c) os juros pagos na terceira parcela, e d) o valor da amortização da quarta parcela.

Dado que o financiamento possui carência de dois meses, ou seja, não há pagamento de prestações, os juros devidos para estes períodos é incorporado ao capital e o cálculo das prestações se dá sobre o saldo devedor do período anterior ao pagamento da primeira parcela, no exemplo: R$ 12.484,80.

Visualizando na tabela:

Mês
Saldo Devedor
Amortização
Juros
Prestação
0
12.000,00
-
-
-
1
12.240,00
-
-
-
2
12.484,80
-
-
-
3
       
4
       
5
       
6
       

a) Cálculo da prestação:


Lembre-se! A variável “n” refere-se ao número de parcelas (4) e não ao prazo da operação (6).

A partir do cálculo de FPV(i,n) encontraremos o valor das prestações (PMT), onde:

Importante! Poderíamos encontrar os resultados das questões de ”a a “d” construindo passo a passo a tabela, conforme visto anteriormente, ou efetuar o cálculo dos valores aplicando as fórmulas para cada variável, conforme veremos a seguir.



Copyright © 2003 AIEC.





Página 11


Módulo I - Sistema Francês de Amortização (SFA) ou Tabela Price

b) Cálculo do saldo devedor após o pagamento da segunda parcela:

SDt = PMTxFPV(i,n-t)

SD2 = 3.278,80 x FPV(2%,2)

SD2 = 3.278,80 x 1,941561

SD2 = 6.365,99

c) Cálculo dos juros pagos na terceira parcela:

Jt = SDt-1xi

J3 = SD2xi

J3 = 6.365,99 x 0,02

J3 = 127,32

d) Cálculo do valor da amortização na quarta parcela:

At = A1(1+i)t-1

A4 = A1(1+i)3

A primeira amortização A1 é igual a prestação menos o juros, ou seja A1 = 3.278,80 – 249,70 = 3.029,10, assim:

A4 = 3.029,10(1+0,02)3

A4 = 3.214,51

Construa a tabela passo a passo para verificar que as respostas estão corretas.



Copyright © 2003 AIEC.





Página 12


Módulo I - Sistema Francês de Amortização (SFA) ou Tabela Price

4 - Utilizando o Excel

Abrir o excel e seguir o procedimento

Tendo em vista a diversidade de operações que envolvem o SFA, torna-se impossível a construção de uma tabela única no Excel que seja aplicável a todos os contratos.

Desta maneira, iremos demonstrar um exemplo de planilha que pode ser utilizada em operações de empréstimo ou financiamento, sem carência e com até doze parcelas.


1. Abra uma pasta nova que depois poderá ser arquivada com o nome de Sistema Francês de Amortização

PLANILHA DE CÁLCULO DO SFA

2. Na célula B2 escreva: Sistema Francês de Amortização – Tabela Price

3. No intervalo B3:B5, digite os títulos “Valor Emprestado”; “Taxa” e “Número de Parcelas”.

4. No intervalo B6:F6, escreva os nomes das variáveis: “Período”; “Saldo Devedor”; “Amortização”; “Juros” e “Prestação”.

5. No intervalo B7:B19 indique os períodos de “0” a “12”.

6. Formate a célula C3 e o intervalo C7:F19 e como moeda, e a célula C4 como percentual, todos com duas casas decimais.

7. Na célula C7 escreva =C3, para que ela assuma o valor do empréstimo no período “0” e no intervalo D7:F7 preencha com “-“.

8. No intervalo C8:F8, registre as fórmulas de cálculo das variáveis “Saldo Devedor”; “Amortização”; “Juros” e “Prestação” utilizando a função lógica SE, ou então digite:

8.1 Na célula F8: =SE(B8<=$C$5;-PGTO($C$4;$C$5;$C$3;;0);"")

8.2 Na célula E8: =SE(B8<=$C$5;$C$4*C7;"")

8.3 Na célula D8: =SE(B8<=$C$5;F8-E8;"")

8.4 Na célula C8: =SE(B8<=$C$5;C7-D8;"")

9. As fórmulas acima estabelecem as relações lógicas da função. Analisando, por exemplo, a equação da célula 8, teremos:

SE for cumprida a condição lógica B8<=$C$5 (o sinal $ serve para fixar a célula)
ENTÃO calcule -PGTO($C$4;$C$5;$C$3;;0) e apresente o resultado na célula F8
SENÃO registre um rótulo vazio “” na célula F8

10. Caso deseje utilizar a função SE diretamente, coloque o cursor na célula F8 e selecione INSERIR, FUNÇÃO.

11. No campo CATEGORIA escolha: LÓGICA e no campo NOME escolha SE.

12. Tomando como base a equação 8.1, no campo Teste lógico insira B8<=$C$5; no campo Valor_se_verdadeiro, digite: -PGTO($C$4;$C$5;$C$3;;0) e no campo Valor_se_falso digite “”.

13. Ao final da digitação clique OK.

14. Repita os procedimentos de 8 a 11 para intervalo E8:C8, com base nas equações 8.2 a 8.4.

15. Copie o intervalo C8:F8 para o intervalo C9:F19.

Efetue a solução dos exercícios resolvidos no capítulo colocando as variáveis do enunciado nos campos “Valor Emprestado”; “Taxa” e “Número de Parcelas”.

A figura abaixo representa a planilha construída mediante os procedimentos descritos anteriormente:



Copyright © 2003 AIEC.





Página 13


Módulo I - Sistema Francês de Amortização (SFA) ou Tabela Price

Resumo

Os sistemas de amortização podem ser definidos como a forma pela qual uma determinada operação de empréstimo ou de financiamento será liquidada ao longo da vigência de um contrato.

A liquidação se dá mediante o pagamento de prestações (PMT), compostas por duas parcelas, uma referente aos juros (J) e outra ao valor da amortização (A). Enquanto os juros representam o custo contratual da operação, a amortização representa a parcela de capital que é devolvida a cada prestação paga. Assim, podemos dizer que, para qualquer sistema, a prestação será igual a soma dos juros e da amortização, ou seja:

PMT = J + A (1)

Outro componente dos sistemas de amortização é o saldo devedor (SD) que corresponde, a qualquer momento, ao valor emprestado menos as amortizações realizadas.

Um dos sistemas mais empregados pelo mercado é o chamado “Sistema Francês de Amortização” (SFA), também conhecido pelo nome de “tabela price”, cuja característica principal consiste em possuir prestações constantes, iguais e sucessivas.

Para representarmos uma operação baseada no SFA, devemos construir uma tabela contendo o valor das prestações (PMT), dos juros (J), das amortizações (A) e do saldo devedor (SD) para cada período.

Após o cálculo do valor das prestações pela fórmula do valor presente (PV) de séries uniformes postecipadas, onde:

PV=PMTXFPV(i,n)
(2)

sendo:

(3)

ou
(4)

Calculamos, para cada parcela:

a) os juros – aplicando a taxa do contrato sobre o saldo devedor do período anterior;

b) a amortização – mediante a subtração do valor da prestação pelo juros pago na parcela; e

c) o saldo devedor – subtraindo do saldo devedor do período anterior a parcela de amortização.



Copyright © 2003 AIEC.





Página 14


Módulo I - Sistema Francês de Amortização (SFA) ou Tabela Price

Outra maneira de calcularmos as variáveis do SFA, para cada parcela “t” do contrato é aplicarmos as seguintes equações:

Cálculo do valor das prestações


Cálculo do valor da amortização na t-ésima prestação

At = A1(1+i)t-1
(6)

Cálculo do saldo devedor na t-ésima prestação

SDt = PMTxFPV(i,n-t)
(7)

Cálculo da parcela de juros na t-ésima prestação

Jt = SDt-1xi
(8)


Copyright © 2003 AIEC.





Página 15


Módulo II - Outros Sistemas de Amortização
1 - Sistema de Amortização Constante - SAC

O Sistema de Amortização Constante – SAC, como o próprio nome indica, caracteriza-se por parcelas de amortização iguais (constantes) para todo o prazo da operação.

Dessa maneira, calcula-se o valor das amortizações (A) dividindo-se o valor do empréstimo ou financiamento (PV) pelo número de prestações do contrato (n), ou seja:

(1)

Calculada as amortizações, utilizamos os conceitos apresentados na módulo anterior para a elaboração do plano de pagamentos, onde:

SDt = SDt-1-A
(2)

Jt = SDt-1xi
(3)

PMT = A+J
(4)

O saldo devedor, equação (2), será o resultado da subtração da parcela de amortização (A) no saldo devedor do período anterior (SDt-1).

A equação (3) revela que o juros para uma determinada parcela (t) será dado pela aplicação da taxa de juros do contrato (i) sobre o saldo devedor da parcela anterior (SDt-1).

Por fim, na equação (4), verificamos que o valor da prestação (PMT) corresponde a parcela referente a amortização (A) mais os juros (J).

Exercício Resolvido



Copyright © 2003 AIEC.





Página 16


Módulo I - Sistema Francês de Amortização (SFA) ou Tabela Price

1) Determine o plano de pagamento de um empréstimo de 5.000,00, realizado pelo SAC, a uma taxa de juros de 2,5% ao mês, em 4 prestações mensais.

1º Passo: Calcule o valor das amortizações e preencha a tabela:


Mês
Saldo Devedor
Amortização
Juros
Prestação
0
5.000,00
-
-
-
1
....................
1.250,00
   
2
.....................
1.250,00
   
3
......................
1.250,00
   
4
....................
1.250,00
   

2º Passo: Conhecido o valor das amortizações, calcule o saldo devedor para cada período, incluindo os valores na tabela:

SDt = SDt-1-A

SD1 = SD0 – A
Þ SD1 = 5.000 – 1.250 Þ SD1 = 3.750

SD2 = SD1 – A Þ SD2 = 3.750 – 1.250 Þ SD2 = 2.500

SD3 = SD2 – A Þ SD3 = 2.500 – 1.250 Þ SD3 = 1.250

SD4 = SD3 – A Þ SD3 = 1.250 – 1.250 Þ SD4 = 0

Na tabela:

Mês
Saldo Devedor
Amortização
Juros
Prestação
0
5.000,00
-
-
-
1
3.750,00
1.250,00
   
2
2.500,00
1.250,00
   
3
1.250,00
1.250,00
   
4
0,00
1.250,00
   

3º Passo: A partir do valor dos saldos devedores, determine os juros pagos em cada prestação, colocando-os na tabela:

Jt = SDt-1xi

J1 = SD0 x i
Þ J1 = 5.000 x 0,025 Þ J1 = 125,00

J2 = SD1 x i
Þ J2 = 3.750 x 0,025 Þ J2 = 93,75

J3 = SD2 x i Þ J3 = 2.500 x 0,025 Þ J3 = 62,50

J4 = SD3 x i Þ J4 = 1.250 x 0,025 Þ J4 = 31,25

Na tabela:

Mês
Saldo Devedor
Amortização
Juros
Prestação
0
5.000,00
-
-
-
1
3.750,00
1.250,00
 125,00
 
2
2.500,00
1.250,00
 93,75
 
3
1.250,00
1.250,00
 62,50
 
4
0,00
1.250,00
 31,25
 


Copyright © 2003 AIEC.





Página 17


Módulo I - Sistema Francês de Amortização (SFA) ou Tabela Price

4º Passo: Conhecidos os valores da amortização (A) e dos juros (J), determine os valores referentes às prestações, finalizando a construção da tabela:

PMT = A + J

PMT1 = A + J1 Þ PMT1 = 1.250,00 + 125,00 Þ PMT1 = 1.375,00

PMT2 = A + J2 Þ PMT2 = 1.250,00 + 93,75 Þ PMT2 = 1.343,75

PMT3 = A + J3 Þ PMT3 = 1.250,00 + 62,50 Þ PMT3 = 1.312,50

PMT4 = A + J4 Þ PMT4 = 1.250,00 + 31,25 Þ PMT4 = 1.281,25

Finalizando a tabela:

Mês
Saldo Devedor
Amortização
Juros
Prestação
0
5.000,00
-
-
-
1
3.750,00
1.250,00
 125,00
 1.375,00
2
2.500,00
1.250,00
 93,75
 1.343,75
3
1.250,00
1.250,00
 62,50
 1.312,50
4
0,00
1.250,00
 31,25
 1.281,25


Copyright © 2003 AIEC.





Página 18


Módulo II - Outros Sistemas de Amortização
2 - Fórmulas de Cálculo do SAC

Os valores das variáveis A, SD, J e PMT, também podem ser encontrados mediante a aplicação das seguintes equações genéricas:

Cálculo das amortizações

(1)

Cálculo do saldo devedor na t-ésima prestação

(2)

Cálculo da parcela de juros na t-ésima prestação

(3)

Cálculo do valor da prestação na t-ésima prestação

(4)

Exercício Resolvido



Copyright © 2003 AIEC.





Página 19


Módulo I - Sistema Francês de Amortização (SFA) ou Tabela Price

2) Uma pessoa realiza um financiamento de R$ 3.000,00 à taxa de juros de 5% ao mês, para ser pago em 5 prestações mensais, com dois meses de carência para o primeiro pagamento. Com base nestas informações calcule

a) o valor das amortizações;
b) o saldo devedor após o pagamento da segunda parcela;
c) os juros pagos na terceira parcela, e d) o valor da quarta parcela.

Dado que o financiamento possui carência de dois meses, ou seja, não há pagamento de prestações, os juros devidos para estes períodos é incorporado ao capital e o cálculo das prestações se dá sobre o saldo devedor do período anterior ao pagamento da primeira parcela, no exemplo: R$ 3.307,50.

Visualizando na tabela:

Mês
Saldo Devedor
Amortização
Juros
Prestação
0
3.000,00
-
-
-
1
3.150,00
-
-
-
2
3.307,50
-
-
-
3
       
4
       
5
       
6
       
7
       

Utilizaremos as equações de cálculo direto das variáveis, ao invés de construirmos a tabela passo a passo.

a) Cálculo das amortizações:


b ) Cálculo do saldo devedor após o pagamento da segunda parcela:

SD2 = 1.984,50

c) Cálculo dos juros pagos na terceira parcela:

J3 = 99,23

d) Cálculo do valor da quarta parcela:

PMT4 = 727,65


Copyright © 2003 AIEC.





Página 20


Módulo II - Outros Sistemas de Amortização
3 - Sistema de Amortização Misto (SAM)

Desenvolvido originalmente para as operações de financiamento do Sistema Financeiro de Habitação – SFH, constitui-se da média aritmética entre o Sistema Francês (SFA) e o Sistema de Amortização Constante (SAC).

Para a elaboração do plano de pagamentos, devemos somar os valores obtidos pelo SAF e SAC e dividir o resultado por dois.

Exemplo:
Suponha um empréstimo no valor de R$ 1.500,00 realizado a uma taxa de juros de 3% ao mês, em quatro parcelas.

1 º Passo: Construir a tabela pelo SFA e pelo SAC, onde:

Pelo SFA:

Mês
Saldo Devedor
Amortização
Juros
Prestação
0
1.500,00
-
-
-
1
1.141,46
358,54
45,00
403,54
2
772,16
369,30
34,24
403,54
3
391,78
380,38
23,16
403,54
4
-0,01
391,79
11,75
403,54

Observação! O resíduo de -0,01, decorrente do arredondamento das parcelas, geralmente é abatido na última prestação.

Pelo SAC:

Mês
Saldo Devedor
Amortização
Juros
Prestação
0
1.500,00
-
-
-
1
1.125,00
375,00
45,00
420,00
2
750,00
375,00
33,75
408,75
3
375,00
375,00
22,50
397,50
4
0,00
375,00
11,25
386,25

2º Passo: Dado que o SAM constitui-se na média aritmética do SAF e SAC, se pegarmos cada uma das células das tabelas dos dois sistemas, somarmos e dividirmos por dois encontraremos a tabela do SAM, onde:

Mês
Saldo Devedor
Amortização
Juros
Prestação
0
1.500,00
-
-
-
1
1.133,23
366,77
45,00
411,77
2
761,08
372,15
34,00
406,15
3
383,39
377,69
22,83
400,52
4
-0,01
383,40
11,50
394,90


Copyright © 2003 AIEC.





Página 21


Módulo II - Outros Sistemas de Amortização
Sistema Americano de Amortização – SAA

Neste sistema a devolução do capital emprestado é efetuada somente ao final da operação (na última parcela) e de uma só vez.

Como característica básica, o Sistema Americano de Amortização não prevê amortizações intermediárias. Durante o período do empréstimo, apenas os juros são pagos periodicamente.

Exemplo:

Construa o plano de pagamento de um empréstimo no valor de R$ 8.000,00 realizado a uma taxa de juros de 4% ao mês, em quatro parcelas, sabendo que o sistema de amortização utilizado é o SAA.

Mês
Saldo Devedor
Amortização
Juros
Prestação
0
8.000,00
-
-
-
1
8.000,00
-
320,00
320,00
2
8.000,00
-
320,00
320,00
3
8.000,00
-
320,00
320,00
4
0,00
8.000,00
320,00
8.320,00

Conforme podemos verificar na tabela acima, durante a vigência da operação o devedor realza o pagamento periódico apenas dos juros gerados pelo contrato que, no exemplo, é de 4% sobre os R$ 8.000,00. Na última parcela, além dos juros do período (R$ 320,00) é feita a liquidação do principal, no caso R$ 8.000,00, que, somados, irão resultar numa parcela de R$ 8,320,00.



Copyright © 2003 AIEC.





Página 22


Módulo II - Outros Sistemas de Amortização

4 - Utilizando o Excel

Abrir o Excel e seguir o procedimento

A exemplo do SFA, no SAC iremos demonstrar um exemplo de planilha que pode ser utilizada em operações de empréstimo ou financiamento, sem carência e com até doze parcelas.

Dada a facilidade de cálculo das operações do SAA, não desenvolveremos planilha para este sistema. Além disso, lembramos que para o SAM deveremos inicialmente construir as tabelas do SFA e do SAC e depois proceder ao cálculo da média aritmética simples para cada variável, a fim de construir a tabela do SAM.

1. Abra uma pasta nova que depois poderá ser arquivada com o nome de Sistema de Amortização Constante

PLANILHA DE CÁLCULO DO SAC

2. Na célula B2 escreva: Sistema de Amortização Constante

3. No intervalo B3:B5, digite os títulos “Valor Emprestado”; “Taxa” e “Número de Parcelas”.

4. No intervalo B6:F6, escreva os nomes das variáveis: “Período”; “Saldo Devedor”; “Amortização”; “Juros” e “Prestação”.

5. No intervalo B7:B19 indique os períodos de “0” a “12”.

6. Formate a célula C3 e o intervalo C7:F19 e como moeda, e a célula C4 como percentual, todos com duas casas decimais.

7. Na célula C7 escreva =C3, para que ela assuma o valor do empréstimo no período “0” e no intervalo D7:F7 preencha com “-“.

8. No intervalo C8:F8, registre as fórmulas de cálculo das variáveis “Saldo Devedor”; “Amortização”; “Juros” e “Prestação” utilizando a função lógica SE, ou então digite:

8.1 Na célula F8: =SE(B8<=$C$5;D8+E8;"")

8.2 Na célula E8: =SE(B8<=$C$5;$C$4*C7;"")

8.3 Na célula D8: =SE(B8<=$C$5;$C$7/$C$5;"")

8.4 Na célula C8: =SE(B8<=$C$5;C7-D8;"")

9. As fórmulas acima estabelecem as relações lógicas da função. Analisando, por exemplo, a equação da célula F8, teremos:

SE for cumprida a condição lógica B8<=$C$5 (o sinal $ serve para fixar a célula)
ENTÃO calcule “D8+E8” e apresente o resultado na célula F8
SENÃO registre um rótulo vazio “” na célula F8

10. Caso deseje utilizar a função SE diretamente, coloque o cursor na célula F8 e selecione INSERIR, FUNÇÃO.

11. No campo CATEGORIA escolha: LÓGICA e no campo NOME escolha SE.

12. Tomando como base a equação 8.1, no campo Teste lógico insira B8<=$C$5; no campo Valor_se_verdadeiro, digite: D8+E8 e no campo Valor_se_falso digite “”.

13. Ao final da digitação clique OK.

14. Repita os procedimentos de 8 a 11 para intervalo E8:C8, com base nas equações 8.2 a 8.4.

15. Copie o intervalo C8:F8 para as linhas de 9 a 19.

Efetue a solução dos exercícios resolvidos no capítulo colocando as variáveis do enunciado nos campos “Valor Emprestado”; “Taxa” e “Número de Parcelas”.

A figura abaixo representa a planilha construída mediante os procedimentos descritos anteriormente:



Copyright © 2003 AIEC.





Página 23


Módulo II - Outros Sistemas de Amortização

Resumo

Abordamos neste módulo mais três sistemas de amortização empregados em operações de empréstimos e financiamentos realizados no mercado:

O Sistema de Amortização Constante – caracterizado por possuir a parcela referente à amortização constante durante toda a vigência do contrato.

Neste sistema, calculamos primeiramente o valor relativo as amortizações aplicando a equação:

(1)

Onde: “PV” é o valor do empréstimo ou financiamento e “n” o número de parcelas.

As demais variáveis do plano de pagamento: Saldo devedor (SD), Juros (J) e prestação (PMT) podem ser obtidos mediante o uso das equações aprendidas no módulo anterior que tratou do SFA, ou pelo uso das seguintes fórmulas:

para o cálculo do saldo devedor na t-ésima prestação

(2)

para o cálculo da parcela de juros na t-ésima prestação:

(3)

para o cálculo do valor da t-ésima prestação;

(4)

Quanto aos dois últimos sistemas aprendidos: SAM (Sistema de Amortização Misto) e o SAA (Sistema Americano de Amortização), enquanto o primeiro caracteriza-se por ser uma média aritmética dos valores encontrados para o SFA e o SAC, o segundo revela-se pela cobrança apenas dos juros durante todo contrato, sendo o capital pago somente na última parcela.



Copyright © 2003 AIEC.