Vejamos algumas aplicações das funções exponencial e logarítmica:

Juros compostos - Suponha que tenhamos tomado emprestado $1.000,00 a uma taxa de juros mensal de 10% ao ano.
Qual o valor da dívida após um ano?
Ora, após um ano os juros seriam de 10% sobre $1000,00 que é igual a $100,00, logo a dívida passaria para $1.100,00.
O cálculo acima foi realizado da seguinte forma:

Observação: Calculamos o juro sobre 1000 e somamos com 1000.
Qual o valor da dívida após dois anos?
Como o valor após um ano será de $1100,00, após um ano devemos calcular 10% sobre $1100,00, o que dará $110,00, logo a dívida passaria para $1210,00.

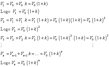
Podemos generalizar esta fórmula de maneira que o valor após n anos dependa apenas do valor inicial e da taxa de juros, vejamos:
Suponha que tenhamos tomado emprestado um capital V0 a uma taxa de juros k ao ano (ou mês, semana, dia, trimestre). Qual o valor da dívida após n anos?

Solução:

O juro composto tem um comportamento exponencial, ou seja, a variável, no caso o tempo, é um expoente da função. Comumente se usa a notação

Exemplo:

Um capital igual a $2.000,00 é aplicado a juros compostos durante 4 meses à taxa de juros de 9% ao mês. Qual o montante?
Resolução:

Portanto o montante será de $2.820,00.



Copyright © 2019 UPIS.