A derivada de um quociente

A regra do quociente é provavelmente a mais complicada das regras vistas até o presente momento, por isto no início é bom que você tenha cuidado de calcular passo a passo ( como mostraremos a seguir), até que você se familiarize com o processo. Vejamos um exemplo.
Exemplo:
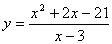
Derive a função racional

1º Passo: Separe as funções, isto é

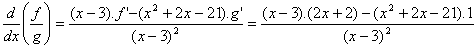
2º Passo: Calcule a derivada de f e g.

3º Passo: Use a fórmula para a derivada do quociente.

Observação: A regra do quociente é um tanto complicada, assim não use desnecessariamente. Considere o exemplo seguinte.

Derive a função

Solução:
Podemos simplificar a expressão acima antes de efetuarmos a derivada, isto é

Então a derivada pode ser obtida derivando a soma acima



Copyright © 2019 UPIS.