5 - Radiciação


É a operação inversa da potenciação. Muito importante para resolvermos problemas com potências de expoente fracionário!


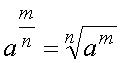
A equação acima revela que toda potência de expoente fracionário pode ser representada por uma raiz, e vice-versa, onde:

  • A base da potência (a) será o radicando da raiz;
  • O numerador do expoente (m) será o expoente do radicando
  • O denominador do expoente (n) será o índice do radical

Exemplo: calcule o valor de quatro elevado a 0,5.




Copyright © 2003 AIEC.