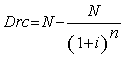
Lembrando que, na equação genérica, o valor do desconto (D) pode ser definido pela diferença entre o valor nominal (N) e o valor descontado (V), onde: D = N – V, sendo ele, no desconto composto racional igual a (Dcr) e o valor descontado igual a “Vcr”, teremos:

Drc=N-Vrc
(2)

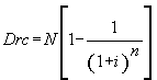
Substituindo-se a equação (1) na (2) e resolvendo-a, têm-se:
 
(3)

A equação (3) é empregada para o cálculo do valor do desconto, em operações efetuadas segundo a metodologia do composto racional.

Exercícios Resolvidos


Copyright © 2003 AIEC.