4 - Cálculo do FPV(i,n)

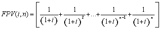
A partir da equação do FPV (i,n), onde:

(5)

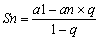
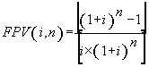
Verificamos que FPV(i,n) representa a soma de uma progressão geométrica com razão (q) igual a (1+i)-1, primeiro termo (a1) igual a (1+i)-1 e último termo (an) igual a (1+i)-n. Sendo a soma de uma progressão geométrica (Sn), o resultado da equação: (6), substituindo os valores de “a1”, “an" e “q” na equação (6) e resolvendo a expressão, teremos:

(7)

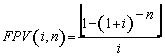
A equação (7), que determina o valor de FPV (i,n), pode, ainda, ser escrita como:

(8)

Exercícios Resolvidos



Copyright © 2003 AIEC.