Resumo

As chamadas Séries Uniformes Antecipadas (SUA) diferenciam-se das SUP apenas devido ao fato de que o primeiro pagamento ou recebimento ocorrerá no início do período a que se referir a taxa de juros da operação.

Assim, em termos genéricos, temos o seguinte fluxo representativo de uma SUA:

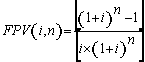
Para o cálculo do valor presente de SUA, utilizamos a seguinte equação:

(4)

onde:

ou, ainda:

A equação (4) revela que o valor presente (PV) de uma SUA pode ser obtido mediante a multiplicação do termo da série (PMT) por um fator de valor presente, calculado para uma taxa “i “ e um número de parcelas “n” (FPV(i,n)), capitalizado por um período, ou seja, multiplicado por (1+i).



Copyright © 2003 AIEC.