1 - Coeficiente de Financiamento para SUP

Podemos definir coeficiente de financiamento como sendo o fator que aplicado sobre o valor presente de um determinado bem ou serviço nos dará o valor da prestação para uma taxa de juros “i” e um número de parcelas “n”.

Sabemos que o Valor Presente de uma série postecipada é calculado aplicando-se a seguinte equação:

PV = PMT x FVP (i,n                                   (1)


Resolvendo a equação acima para o valor da prestação (PMT), têm-se:

 (2)

ou:

 (3)

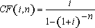
Considerando a definição dada anteriormente para o Coeficiente de Financiamento (CF), onde este representa “o fator que aplicado sobre o valor presente de um determinado bem ou serviço nos dará o valor da prestação para uma taxa de juros “i” e um número de parcelas “n” pode-se concluir, a partir da equação (3) que:

 (4)

Como já vimos:

 (5)

Substituindo a equação (5) na (4) e resolvendo-a, teremos:

 (6)

A partir da equação (6), poderemos calcular o coeficiente de financiamento de SUP para qualquer taxa “i” e número de parcelas “n”.

Exercício Resolvido

 



Copyright © 2003 AIEC.