1) Uma loja de eletrodomésticos financia a venda de seus produtos a uma taxa de 4,2% ao mês. Sabendo-se que as compras podem ser efetuadas em até 3 parcelas, a primeira vencendo trinta dias após a aquisição do produto, pede-se:

a) Calcular o coeficiente de financiamento para compras efetuadas em 1, 2 e 3 parcelas.
b) Calcular o valor das prestações de um eletrodoméstico, cujo preço à vista é de R$900,00, para compras efetuadas em 1, 2 e 3 pagamentos.

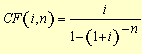
a) Variáveis: i = 0,042 e n = 1, 2 ou 3

Solução: sendo

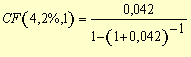
Para n=1

CF(4,2%,1) = 1,042


Para n=2


CF(4,2%,2) = 0,531716


Para n=3

CF(4,2%,3) = 0,361717

R: para uma parcela, o CF será de 1,042, para duas 0,531716 e para 3 0,361717. Estes valores, aplicados ao preço a vista do bem nos darão o valor das parcelas para 1, 2 ou 3 prestações, respectivamente.



Copyright © 2003 AIEC.