Cálculo da TIR

O cálculo da TIR não é direto e, mesmo realizado mediante o uso de calculadoras financeiras, ou do Excel, constitui-se num processo de tentativa e erro.

Para permitir maior agilidade nesse processo, utilizaremos um método denominado interpolação linear, baseado na equivalência de triângulos.

Inicialmente, vamos inferir sobre a relação entre a taxa de juros e o valor presente de fluxos de caixa e depois transpor esta relação geometricamente.

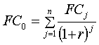
Analisando a equação (3) que explicita o conceito da TIR, onde:

(3)

Podemos inferir, a partir da equação (3), que a taxa de retorno (r) possui uma relação inversa com o custo inicial do projeto (FC0), devido a encontrar-se no denominador da equação que transforma o somatório () dos fluxos futuros em valor presente e os iguala a FC0.

Assim, no processo de tentativa e erro para determinar a TIR, caso seja escolhida uma taxa de retorno maior do que a TIR verdadeira, o valor presente dos fluxos de caixa será menor do que FC0.

Por outro lado, caso seja escolhida uma taxa de retorno menor do que a TIR verdadeira, o valor presente dos fluxos será maior do que FC0.



Copyright © 2003 AIEC.