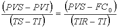
Sendo no triângulo:

ab = PVS – PVI
(5)
bc = TS – TI
(6)
ad = PVS – FC0
(7)
de = TIR – TI
(8)

Substituindo as equações (5), (6), (7) e (8) na (4), têm-se:

(9)

Resolvendo a equação (9) para a TIR:

(10)

Determinadas as variáveis; TS, TI, PVS e PVI, a equação (10) é aplicada para se obter a TIR.

Exercício Resolvido



Copyright © 2003 AIEC.