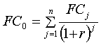
Quanto a chamada “Taxa Interna de Retorno” (TIR), verificamos que, conceitualmente, representa a taxa que iguala o somatório (S) dos valores presentes dos fluxos esperados de um investimento (FCj) ao seu custo inicial (FC0), onde:

(3)

O cálculo da TIR é obtido mediante processo de tentativa e erro e pela aplicação da seguinte fórmula:

(10)

Onde:

PVS = valor presente superior ao FC0, encontrado ao aplicarmos aleatoriamente uma taxa inferior a TIR na equação (3)
PVI = valor presente inferior ao FC0, encontrado ao aplicarmos aleatoriamente uma taxa superior a TIR na equação (3)
TS = taxa superior que gera o PVI, obtida aleatoriamente
TI = taxa inferior que gera o PVS, obtida aleatoriamente



Copyright © 2003 AIEC.