(C) Caso 3: Correlação Intermediária (-1<p<+1).

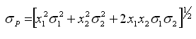
Nesse caso, (C) não pode ser escrito sob a forma de um quadrado perfeito. De fato, (C) representa uma forma quadrática, isto é:

Ao se calcular o desvio-padrão da carteira, obtém-se:

Nesse caso, ao se plotar o gráfico da relação risco e retorno:

Em que M é carteira de variância mínima, como medida de eficiência, pois representa uma carteira de ativos com o menor risco possível.



Copyright © 2006 AIEC.