Página 1


Módulo 03 -Reengenharia

1 - Histórico e conceitos do orçamento tradicional

Desenvolvido em 1920, o modelo de gestão de desempenho tradicional visava ajudar os gerentes financeiros a controlar os custos e fluxos de caixa de grandes organizações industriais.

Com o passar do tempo e o aumento da complexidade das atividades da organização, o orçamento passou a ter, com algumas adaptações, a responsabilidade de conduzir a produção no negócio.

Com relação à necessidade de evolução do orçamento, Johnson e Kaplan (1987) afirmam que todas as práticas de gestão contábeis usadas até os dias de hoje foram desenvolvidas em 1925, como, por exemplo:

• Custo de mão de obra;
• Custo de material;
• Custos fixos;
• Orçamento de caixa, de receitas, e de capital;
• Previsão de vendas;
• Custo padrão.

Estas práticas evoluíram para servir às necessidades de informação e controle dos gerentes para as organizações cada vez mais complexas e diversas.



Copyright © 2006 AIEC.





Página 2


Módulo 03 -Reengenharia

Percebe-se, no decorrer dos tempos, que o orçamento tradicional foi agregando práticas e adaptações para acompanhar a evolução constante das organizações.

Essa evolução histórica do orçamento pode ser notada na abordagem de Moreira (2002) quando fala sobre o orçamento tradicional:


“é um sistema de planejamento global com um conjunto de planos e políticas que, formalmente estabelecidos e expressos em resultados financeiros, permite a alta administração conhecer, a priori, os resultados operacionais da empresa e, em seguida, executar os acompanhamentos necessários para que esses resultados sejam alçados e os possíveis desvios sejam analisados, avaliados e corrigidos”.

Para Hongren (2000), o orçamento pode ser definido como:


A expressão quantitativa de um plano de ação futuro da administração para um determinado período. Ele pode abranger aspectos financeiros e não financeiros desses planos e funciona como um projeto para a companhia seguir o período vindouro.



Copyright © 2006 AIEC.





Página 3


Módulo 03 -Reengenharia

O orçamento é um plano detalhado da aquisição e do uso dos recursos, financeiros ou de outra natureza, durante um período especificado. Representa um plano para o futuro, expresso em termos quantitativos.

O orçamento é a expressão, em termos financeiros, dos planos da administração para operação da empresa durante um período específico de tempo, segundo Catelli (1972).

Pereira (2001), um pouco mais analítico em relação ao assunto, afirma que os orçamentos devem expressar quantitativamente os planos de ação, refletindo as diretrizes, os objetivos, as metas, as políticas estabelecidas para a empresa, para determinado período, servindo, também, para a coordenação e implantação desses planos.

Há uma necessidade considerável por parte das organizações brasileiras em conhecerem novos métodos, além do orçamento tradicional, para otimização dos processos de planejamento e gestão de desempenho.

Segundo Pflaeging (2003), o processo orçamentário tradicional resulta em contratos inflexíveis de desempenho, que prendem, de certa forma, gestores e unidades de negócio a atingir resultados financeiros fixos e de curto prazo, em um cenário futuro totalmente dinâmico e cheio de incertezas.



Copyright © 2006 AIEC.





Página 4


Módulo 03 -Reengenharia

2 - Vantagens do uso do orçamento

As vantagens do desenvolvimento de um planejamento orçamentário estão situadas, principalmente, no estabelecimento de metas claras a serem atingidas, e na definição de responsabilidades aos diversos departamentos de uma empresa.

Segundo Noreen e Garrison (2001), as empresas se beneficiam muito de um programa orçamentário. Entre esses benefícios ou vantagens, destacam-se os seguintes:


• Os orçamentos fornecem um meio de transmitir os planos da administração a toda a organização.

• Os orçamentos forçam os gerentes a pensar no futuro e planejá-lo. Na falta da necessidade de fazer orçamento, vários administradores gastarão seu tempo cuidando das situações do dia-a-dia.

• O processo orçamentário proporciona um meio de alocação dos recursos às partes da organização em que eles podem ser empregados de maneira mais eficaz.

• O processo orçamentário pode revelar potenciais gargalos antes que eles ocorram.

• Os orçamentos coordenam as atividades de toda a organização, por meio da integração dos planos das diversas partes.

• A elaboração do orçamento ajuda a assegurar que todos na organização estão trabalhando na mesma direção.

• Os orçamentos definem as metas e objetivos que podem servir de níveis de referência para a subseqüente avaliação de desempenho.



Copyright © 2006 AIEC.





Página 5


Módulo 03 -Reengenharia

3 - A elaboração do orçamento

No início de um processo orçamentário algumas etapas devem ser cumpridas para garantir a elaboração de um orçamento consistente, tais como:

• Fixação de objetivos

É primordial na elaboração de um orçamento a existência de objetivos e políticas concretas para a empresa e suas respectivas gerencias. Tais objetivos devem ser claramente definidos pelos gestores da empresa.

• Existência de sistema de comunicação eficiente

A coordenação do processo orçamentário é uma tarefa de sincronização de ações em busca do atingimento de objetivos comuns e dessa forma possibilitar a otimização do resultado da empresa.

Para Oliveira (2002), o processo orçamentário deve explicitar os objetivos a serem alcançados. Nesse sentido, a geração de relatórios aplicáveis deve servir como instrumento de comunicação e aferição do correto entendimento por parte dos envolvidos.

• Definição dos parâmetros de avaliação

O sistema orçamentário deve ser capaz de identificar os pontos de eficiência ou ineficiência no desempenho das gerências da empresa e permitir o acompanhamento na consecução dos objetivos estabelecidos.

Durante o processo orçamentário alguns fatores são críticos para o atingimento das metas estabelecidas, especialmente:

• Envolvimento da alta direção da empresa, dos gestores e do corpo funcional;
• Adaptação organizacional;
• Clara definição dos objetivos e dos padrões de desempenho;
• Comunicação integral;
• Definição de expectativas realistas;
• Oportunidade;
• Reconhecimento do esforço individual e do grupo;
• Acompanhamento do desempenho.



Copyright © 2006 AIEC.





Página 6


Módulo 03 -Reengenharia

4 - Planejamento e orçamento

Segundo Moreira (2002) a elaboração do plano de resultados de uma empresa pode ser dividido em três grandes grupos, com características distintas: planejamento econômico, planejamento financeiro e planejamento de capital.

• O Planejamento Econômico

O planejamento econômico consiste na fixação de metas para os itens que compõem a demonstração de resultados da empresa. Exemplo:

O detalhamento do planejamento econômico pode variar de empresa para empresa, dependendo do ramo de atividade das mesmas, porém, de forma resumida, quase sempre apresenta os seguintes sub-orçamentos:



Copyright © 2006 AIEC.


O orçamento de vendas é elaborado com base nas metas de vendas da empresa. Normalmente aparece detalhado por produtos, região e tipo de cliente. A mensuração das metas de vendas deve ocorrer em termos de quantidade e valores e servem de insumo para a elaboração dos demais sub-orçamento do planejamento econômico.



O orçamento de produção é feito a partir das metas de vendas, da política de estoque da empresa e do estoque inicial dos produtos acabados. Nele será estimada a quantidade de produtos necessários para que a empresa supra o seu orçamento de vendas.



O orçamento de matéria-prima é elaborado com base no orçamento de produção. Para cada tipo de produto a ser produzido deve existir um detalhamento da quantidade e do tipo de matéria prima necessária para a produção.



O orçamento de mão-de-obra é elaborado com base no orçamento de produção. Para cada tipo de produto a ser fabricado deve existir uma estimativa do tempo de mão de obra consumido.



Os custos indiretos de fabricação normalmente possuem natureza fixa. Por esse motivo sua elaboração é feita a partir de dados históricos atualizados pela valorização de mercado. Fazem parte desse grupo as projeções de custo com depreciação, água, luz dentre outros.




Para a elaboração do orçamento de despesas administrativas é preciso verificar se a estrutura administrativa da empresa está adequada para suportar a execução dos planos anteriores.






Página 7


Módulo 03 -Reengenharia

• O Planejamento Financeiro

Consiste na elaboração de sub-orçamentos das atividades que influenciam diretamente o fluxo de caixa da empresa.


O planejamento financeiro permite à empresa obter antecipadamente as informações sobre a necessidade ou disponibilidade de recursos financeiros, o que facilita a tomada de decisões sobre os fatores que envolvem o gerenciamento do caixa.

Os principais sub-orçamentos do planejamento financeiro são:

• O Planejamento de Capital

Consiste na elaboração das estimativas de investimentos que a empresa fará no próximo exercício, principalmente em imobilizado. Exemplo:


Os investimentos projetados certamente irão gerar receitas futuras e, portanto, precisam ser devidamente depreciados ou amortizados.

O principal sub-orçamento do planejamento de capital é o orçamento de imobilizado, que consiste na elaboração do planejamento dos investimentos em imobilizado, suas respectivas apropriações e baixas.

O planejamento de capital exerce grande influência sobre o planejamento financeiro, pois os investimentos em imobilizado normalmente são extremamente relevantes e provocam grande desembolso de caixa para a empresa.



Copyright © 2006 AIEC.


O orçamento de contas a pagar consiste na conversão de todas as despesas constantes do planejamento econômico para o regime de caixa, ou seja, a data prevista de seus respectivos pagamentos.



O orçamento de contas a receber consiste na conversão de todas as receitas constantes do planejamento econômico para o regime de caixa, ou seja, a data prevista de seus respectivos recebimentos.




O orçamento de aplicações refere-se ao planejamento das disponibilidades de caixa, ou seja, a antecipação da informação sobre eventuais sobras de caixa e as suas respectivas destinações.



O orçamento de caixa consiste na elaboração do planejamento do fluxo de caixa da empresa com o detalhamento das projeções de entradas e saídas de recursos. É elaborado com base nos demais sub-orçamentos do planejamento e financeiro e permite que a empresa visualize eventuais disponibilidades ou necessidades de caixa que devem ser devidamente solucionadas para viabilizar a execução dos demais planos.






Página 8


Módulo 03 -Reengenharia

5 - Desvantagens do uso do orçamento

Como qualquer outra ferramenta gerencial e administrativa, o sistema orçamentário também apresenta suas limitações, tais como a incerteza, a centralização e, até certo ponto, a inflexibilidade do próprio modelo orçamentário.

A grande maioria das empresas modernas rejeita a centralização dos processos e a inflexibilidade do planejamento, entretanto, não abrem mão do orçamento.

Alguns autores enumeram uma série de desvantagens ou problemas proporcionados pelo processo orçamentário, dos quais se destacam:


• Os dados contidos no orçamento são frutos de estimativa e, portanto, sujeitos a erros.
• O processo orçamentário começa pelo menos quatro meses antes do início do ano fiscal, ou seja, é demorado e com ênfase em curto prazo, geralmente um ano.
• Num sistema de processo orçamentário tradicional, metas de custo inflexíveis podem ter o efeito de limitar o volume de negócios assumido por uma unidade.
• O custo do sistema cresce à medida que aumenta a sofisticação do processo.
• O orçamento vislumbra uma "linha de chegada" fixa no fim do ano fiscal, quando lucros, custos e outros elementos são medidos em relação às metas do orçamento, àquela altura, ultrapassadas.
• A elaboração de orçamentos ou até mesmo eventuais "atualizações" de orçamentos envolvem compilações detalhadas de dados e exigem vários escalões de aprovação.
• O uso do orçamento, em casos extremos, no intuito de alcançar um melhor desempenho, pode levar ao colapso da ética corporativa.
• O orçamento desautoriza a linha de frente, desencoraja a partilha de informações e retarda a resposta à evolução do mercado até que seja tarde demais.



Copyright © 2006 AIEC.





Página 9


Módulo 03 -Reengenharia

6 - Alternativa ao orçamento tradicional

Com o propósito de estudar a realidade das empresas e propor conceitos de melhoria ao processo orçamentário tradicional, surgiu em 1988, na europa, o modelo Beyond Budgeting (além do orçamento), articulado e desenvolvido por Beyond Budgeting Round Table (BBRT), um fórum de debates formado por grandes empresas européias e americanas.

O Beyond Budgeting surgiu em Londres, como resultado de um movimento de empresas que questionavam todo sistema de fixação de meta.

Segundo Ptlaeging (2003) o modelo Beyond Budgeting foi desenvolvido para habilitar a implementar um jeito mais descentralizado de gestão. Em vez da tradicional hierarquia e liderança centralizada, ele permite que a tomada de decisão e o comprometimento de desempenho sejam "devolvidos" para gerentes operacionais.

O objetivo do modelo Beyond Budgeting é o de criar um ambiente autogerenciado de trabalho e uma cultura de responsabilidade nas empresas.



Copyright © 2006 AIEC.





Página 10


Módulo 03 -Reengenharia

Ainda pouco difundida e explorada no Brasil, a premissa básica da ferramenta Beyond Budgeting está fundamentada no total abandono do orçamento tradicional, tão usado por inúmeras organizações em todo o mundo.

Conforme Fraser e Rope (2003), as empresas reconhecem que o processo de orçamento tradicional é muito caro, em alguns casos adiciona pouco valor, e está cada vez mais fora das condições próprias do seu ambiente competitivo, além de ter sido desenhado para possibilitar a alta administração planejar e controlar suas empresas como se fosse um centro de operações de guerra.

Entre as organizações, no âmbito mundial, que utilizam esse novo modelo de gestão, destacam-se, por serem pioneiras, o banco suíço Handelsbanken e a petroquímica dinamarquesa Borealis. Trabalham também com o modelo Beyond Budgeting a Volvo, a Boots, entre outras grandes empresas.

Apesar de não pertencerem ao quadro do
BBRT, a Ericsson, a Scania e a Tetra Park, também são organizações que não utilizam orçamentos em seus processos de gestão.

No Brasil, são poucas as empresas que não utilizam orçamentos. Das quais se destacam a empresa química Rhodia e o grupo Gerdau.

O exemplo da Gerdau



Copyright © 2006 AIEC.


Mundstock (2003), responsável pelo planejamento do grupo Gerdau, confirmou que o a empresa realmente não utiliza e nunca utilizou processo de gestão com base em orçamentos.

Os principais pontos abordados pela representante do grupo Gerdau são os seguintes:






Página 11


Untitled Document Módulo 03 -Reengenharia

7- Orçamento tradicional x beyond budgeting

As principais diferenças entre o modelo tradicional de orçamento, elaborado de forma centralizada e o modelo Beyond Budgeting, que tem como característica a descentralização da gestão, pode ser resumida conforme a tabela abaixo:

Fatores

Orçamento Tradicional

Beyond Budgeting

Objetivos

- Definidos com base em diretrizes financeiras;

- Negociados entre os superiores e os subordinados antes do inicio do exercício.

- Elaborados para um prazo de 1 ano.

- São definidas referências para benchmarks interno e externo, baseados nas metas almejadas no médio prazo;

- Elaborados para um prazo de 3 a 5 anos;

Recompensas

- As recompensas estão ligadas a um resultado fixado em um acordo antecipado.

- Presume-se gerentes motivados e que serão recompensados de forma justa se o correto mix de objetos e incentivos forem atingidos.

- Recompensa com base no progresso de toda a empresa com relação à metas de médio prazo.

- A avaliação de desempenho das áreas é realizada analisando o desempenho contra os benchmarks interno e externo e seus pares.






Plano de Ação

- Processo de Planejamento cima para baixo preparados pelos executivos da alta administração;

- Fornece as linhas mestras que orientarão a empresa no ano seguinte.

- Revisado anualmente, porém elaborado para o período de dois a cinco anos de horizonte;

- Revisões realizadas pelas equipes de negócios;

- Executivos traçam os objetivos estratégicos e as metas de médio prazo.





Gerenciamento de Recursos

- Recursos alocados na definição do orçamento;

- Recursos negociados antecipadamente de forma centralizada.

- Recursos disponibilizados quando requeridos;

- Solicitação de recursos analisada rapidamente;

- Autonomia no uso de recursos através de indicadores e metas;

- Equipes de frente responsáveis pela destinação de recursos.

Mensuração e Controle de Desempenhos

- Desempenho controlado comparando os números reais contra orçamento predeterminado.

- Medidas e controles focam a antecipação do futuro;

- Comparação com benchmarks externos, tabelas externas de indicadores, indicadores de setores;

- Combina-se resultado financeiro com os dos anos anteriores, e as análises de tendências.

 



Copyright © 2006 AIEC.





Página 12


Módulo 03 -Reengenharia

Resumo

O orçamento é um plano detalhado da aquisição e do uso dos recursos financeiros ou de outra natureza, durante um período especificado.

O orçamento representa um plano para o futuro, expresso em termos quantitativos.

A grande maioria das empresas no mundo trabalha com modelo de gestão e avaliação de desempenho com base em orçamentos. No Brasil, são poucas as empresas que não utilizam orçamentos. Das quais se destacam a empresa química Rhodia e o grupo Gerdau.

Partindo da premissa que o processo orçamentário é extremamente detalhado, demorado, oneroso e adiciona pouco valor para organizações, foi desenvolvido, na Inglaterra, um novo modelo de gestão que prega a "abolição" por completo desta ferramenta, o Beyond Budgeting.

Este modelo, já difundido em alguns países da Europa e América do Norte, trabalha com vários princípios, apresentando como principal proposta a substituição do controle central e a transferência do poder da capacidade de decisão para a linha de frente.



Copyright © 2006 AIEC.





Página 13


Módulo 03 -Reengenharia

1 - O Mercado Financeiro

A gestão do fluxo de caixa da empresa é uma das funções mais nobres do planejamento financeiro.

Algumas empresas, por questão de liquidez, necessitam manter valores substanciais de suprimento em seus caixas. Outras, como os grandes supermercados, costumam manter um saldo mínimo em espécie em seus caixas e, geralmente, investem no mercado financeiro grande parte dos recursos excedentes.

Gerir portifólios de investimentos complexos e otimizar o resultado das empresas buscando a melhor relação entre risco e retorno, ou simplesmente buscar junto ao mercado financeiro proteção contra flutuações de taxas de juros e câmbio ou de variações nos preços das commodities são conhecimentos cada vez mais necessários à sobrevivência das empresas.

No Brasil não são raros os casos de empresas que apesar de apresentarem lucro operacional em suas atividades, passaram por dificuldades por não protegerem, ou melhor, hedgearem as suas dívidas.



Copyright © 2006 AIEC.


Hedgear uma posição significa que não se pode ganhar o máximo durante todo o tempo em todos os investimentos, por isso, quando se "faz um hedge" está se abrindo mão de uma probabilidade de ganho total (e seu conseqüente risco) em prol de um menor risco, com ganho menor.






Página 14


Módulo 03 -Reengenharia

Saber onde e como investir requer alguns conhecimentos básicos sobre o mercado financeiro e dos instrumentos disponíveis para analisar e compor portifólios eficientes.

O mercado financeiro e a própria intermediação financeira podem ser segmentados em quatro grandes mercados: monetário, de crédito, cambial e de capitais.

Mercado Monetário

O mercado monetário envolve as operações de curto e curtíssimo prazo, proporcionando um controle ágil e rápido da liquidez da economia e das taxas de juros básicas pretendidas pela política econômica das autoridades monetárias.


Os papéis negociados nesse mercado têm como parâmetro de referência a taxa de juros básica da economia e caracterizam-se por reduzidos prazos de resgate e alta liquidez.



Copyright © 2006 AIEC.





Página 15


Módulo 03 -Reengenharia

• Mercado de Crédito

O mercado de crédito engloba as operações de financiamento de curto e médio prazo, direcionadas para os ativos permanentes e para o capital de giro das empresas.

Esse mercado é constituído, basicamente, por bancos comerciais e sociedades financeiras.



Fazem parte desse mercado as operações de desconto de títulos, contas garantidas, créditos rotativos, hot money, capital de giro, vendor, crédito direto ao consumidor, repasse de recursos externos, adiantamentos de contratos de exportação além de outras modalidades de créditos disponíveis no mercado.



Copyright © 2006 AIEC.





Página 16


Módulo 03 -Reengenharia

• Mercado Cambial

O mercado cambial inclui as operações de conversão de moeda de um país pela de outro, determinada principalmente pela necessidade da prática do comércio internacional.

 

Esse mercado reúne todos os agentes econômicos que tenham motivos para realizar transações com o exterior, tais como os operadores de comércio internacional, as instituições financeiras, os investidores e os bancos centrais.

A demanda por moeda estrangeira parte dos importadores, investidores internacionais, devedores que desejam amortizar seus compromissos com credores estrangeiros, empresas multinacionais que necessitam remeter capitais e dividendos etc.

No grupo de vendedores de moedas estrangeiras, incluem-se os exportadores, os tomadores de empréstimos, os turistas que deixam o país, entre outros.



Copyright © 2006 AIEC.





Página 17


Módulo 03 -Reengenharia

• Mercado de Capitais

O mercado de capitais assume papel dos mais relevantes no processo de desenvolvimento econômico, visto que é o grande municiador de recursos permanentes para a economia.

É ele que faz a intermediação entre as empresas que possuem capacidade de poupança, ou seja, os investidores, e aquelas carentes de recursos de longo prazo, ou seja, que apresentam déficit de investimento.

Em resumo, o mercado de capitais é o conjunto de todas as oportunidades ou combinações entre risco e taxa de retorno a serem aproveitadas pelas empresas, visando otimizar as suas necessidades de recursos ou sobras de recursos.

O mercado de capitais possibilita às empresas captarem recursos através da emissão de ações, debêntures ou commercial papers.



Copyright © 2006 AIEC.


As debêntures são títulos de renda fixa emitidos pelas sociedades anônimas não financeiras para captação de recursos junto ao mercado. Normalmente são emitidas com prazos de vencimento longo. A principal garantia de uma debênture são os ativos da empresa emitente.



As commercial papers, assim como as debêntures, também são títulos de renda fixa. Sua estrutura é semelhante à de uma nota promissória. São utilizadas para captação de capital de giro de curto prazo.






Página 18


Módulo 03 -Reengenharia

2 - A importância do Mercado de Capitais

O mercado de capitais desempenha uma importante função no desenvolvimento econômico do país por contemplar financiamentos de médio e longo prazo para as empresas.

Muitas empresas suportam um alto grau de endividamento porque captam recursos neste mercado vendendo ações e ou debêntures para buscar recursos estáveis a custos mais atraentes.

O mercado de ações é fundamental para as empresas, uma vez que as operações bancárias tradicionais, tais como empréstimos, financiamentos e descontos de recebíveis, não garantem um fluxo de recurso adequado para a manutenção da atividade da empresa, principalmente no que se refere aos prazos e ao custo do capital para a atividade produtiva.


Normalmente, projetos de investimento para produções em larga escala, executados pela iniciativa privada, envolvem empréstimos em instituições financeiras. À medida que se eleva a proporção entre capital de terceiros e capital próprio, os agentes financeiros passam a estabelecer taxas de juros mais elevadas para compensar o aumento do risco. Com a tomada de novos empréstimos, o risco das empresas vai aumentando e, conseqüentemente, a oferta de crédito diminuindo.



Copyright © 2006 AIEC.





Página 19


Módulo 03 -Reengenharia

O mercado de ações se transforma em uma poderosa alavancagem para o desenvolvimento econômico quando transfere as disponibilidades de poupanças para os melhores projetos de investimento.

Para John Maynard Keynes, o investimento é a variável estratégica do crescimento econômico. O crescimento da produção nacional está diretamente relacionado à capacidade de investir da nação.

A decisão de investir decorre da comparação entre a taxa de juros do sistema econômico e da taxa de retorno prevista para os novos investimentos. Quando o retorno esperado é maior do que a taxa de juros básica da economia, o investimento pode ser considerado atrativo.

Ao compor um portifólio, os investidores buscam ativos no mercado considerando o risco e o retorno de cada título ou ação.

Havendo pouca incerteza em relação ao futuro, as taxas de retorno serão previstas com maior segurança, induzindo o investidor a aceitar uma taxa de retorno menor em virtude do declínio do risco.



Copyright © 2006 AIEC.


Um bom investimento é aquele que a empresa escolhe, após uma análise cuidadosa das informações disponíveis, como apropriado às suas necessidades em termos de risco e retorno, que, por sua vez, decorrem de características como o fluxo de caixa, o retorno sobre o patrimônio líquido e o perfil de sua dívida.






Página 20


Módulo 03 -Reengenharia

Quando a alavancagem do passivo da empresa atinge níveis que inviabilizam novos empréstimos, a solução provavelmente passará por um aumento da participação dos sócios por meio da emissão de ações no mercado, ou emissão de debêntures, dessa maneira, a empresa poderá alongar o prazo e modificar o perfil de sua dívida e alterar em seu passivo a relação entre o capital próprio e o de terceiros.

E, para a economia, significa um instrumento de seleção dos empreendimentos que evem merecer confiança e prosseguir suas trajetórias bem-sucedidas.

Neste enfoque, as empresas mal administradas não receberão os recursos fornecidos pelo mercado acionário.



Copyright © 2006 AIEC.


Um bom investimento é aquele que a empresa escolhe, após uma análise cuidadosa das informações disponíveis, como apropriado às suas necessidades em termos de risco e retorno, que, por sua vez, decorrem de características como o fluxo de caixa, o retorno sobre o patrimônio líquido e o perfil de sua dívida.






Página 21


Módulo 03 -Reengenharia

3 - O Mercado Acionário

Quanto mais desenvolvida é uma economia, mais ativo é o seu mercado de capitais, o que se traduz em mais oportunidades para as pessoas, empresas e instituições aplicarem suas poupanças.

Ao abrir seu capital, uma empresa encontra uma fonte de captação de recursos financeiros permanentes. A plena abertura de capital acontece quando a empresa lança suas ações ao público, ou seja, emite ações e as negocia nas bolsas de valores.


Uma companhia é considerada aberta quando promove a colocação de valores mobiliários em bolsas de valores ou no mercado de balcão.

São considerados valores mobiliários: ações, bônus de subscrição, debêntures, partes beneficiárias e commercial papers.



Copyright © 2006 AIEC.





Página 22


Módulo 03 -Reengenharia

Vantagens da Abertura de Capital

A principal vantagem da abertura de capital para uma sociedade é o prazo indeterminado para o pagamento dos recursos.

A remuneração do capital integralizado depende do sucesso do empreendimento, estando seu pagamento vinculado às condições econômicas e financeiras da empresa.

Com a abertura do capital, a empresa poderá passar a contar com um menor risco financeiro diante de uma maior capitalização, além da própria melhoria da imagem institucional.

Por outro lado, a abertura de capital traz também novas exigências e responsabilidades à sociedade, como a distribuição obrigatória de dividendos, levantamento e publicação periódica de informações ao mercado, elevação dos custos administrativos com a criação de departamento de relações com o mercado, dentre outras.



Copyright © 2006 AIEC.





Página 23


Módulo 03 -Reengenharia

Características das Ações

As ações são títulos de renda variável, emitidos por sociedades anônimas e representam a menor fração do capital da empresa emitente. Podem ser escriturais ou representadas por cautelas ou certificados.

As sociedades por ações são reguladas pela Lei 6.404, de 15 de dezembro de 1976 e o órgão regulador é a Comissão de Valores Mobiliários (CVM). Tais empresas devem cumprir uma série de exigências legais para que possam negociar ações por meio das bolsas de valores.

O investidor em ações é um co-proprietário da sociedade anônima da qual é acionista, participando dos seus resultados.

As ações são conversíveis em dinheiro a qualquer tempo por meio de negociação em bolsas de valores ou no mercado de balcão.

Basicamente, uma ação oferece como forma de rendimento aos seus investidores o pagamento de dividendos e a valorização do seu preço de mercado.

O pagamento de dividendos é a distribuição de uma parcela dos lucros auferidos pela empresa aos seus acionistas. O percentual do lucro a ser distribuído depende da política de dividendos de cada empresa, obedecendo a diretrizes previstas na lei das sociedades por ações.



Copyright © 2006 AIEC.





Página 24


Módulo 03 -Reengenharia

Tipos de Ações

Basicamente, as ações são classificadas em dois tipos:

• ordinárias
• preferenciais.

As ações ordinárias conferem ao seu titular o direito de votar nas assembléias gerais de acionistas. Os acionistas ordinários podem eleger e destituir os membros da diretoria e do conselho fiscal da companhia, decidir sobre o destino dos lucros, modificar o estatuto social, autorizar aumentos de capital social e aprovar as peças contábeis.

As ações preferenciais não dão ao titular o direito a voto, mas estes têm prioridade no recebimento de dividendos e, em caso de dissolução da empresa, têm preferência no reembolso do capital. Para o acionista preferencial, o lucro é mais importante que o controle da companhia.



Copyright © 2006 AIEC.





Página 25


Módulo 03 -Reengenharia

4 - A taxa de retorno de investimento com riscos.

Sempre que uma empresa aplica recursos, ou seja, empresta para o mercado eventuais sobras de caixa, o faz na expectativa de um resultado compensador no futuro, pretendendo, dessa forma, que seu resultado seja maximizado.

A capacidade de prever o resultado depende da capacidade de prever o valor final do investimento, ou em outras palavras, a partir do valor inicial do investimento prever a sua taxa de retorno no período.

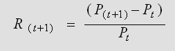
A taxa de retorno pode ser expressa pela seguinte equação:

Onde:

R(t+1): é a taxa de retorno estimada ou a variação do valor entre o tempo presente e tempo futuro ou final da aplicação;

P(t+1): é o valor estimado do ativo no final do período;

Pt: é o valor atual do ativo.



Copyright © 2006 AIEC.





Página 26


Módulo 03 -Reengenharia

Acompanhe o seguinte exemplo:


No dia 14 de setembro, a ação de uma determinada empresa estava sendo negociada na Bolsa de Valores de São Paulo (BOVESPA) a R$ 12,50 o lote padrão.

Naquele dia, devido a uma projeção de lucro acima da estimativa do mercado, alguns analistas vislumbraram que em um prazo de 30 dias a ação estaria sendo negociada a R$ 14,80 o lote padrão. Caso o cenário traçado pelos analistas estivesse correto, qual teria sido a taxa de retorno da ação?


R(t+1) = (14,80 - 12,50) = 0,1840 * 100 = 18,40% no período.
  12,50  

A previsibilidade de valores futuros depende da natureza dos eventos a que esses valores estão associados, da disponibilidade de informações a seu respeito, da influência de agentes econômicos sobre os eventos e da capacidade de análise por parte dos gestores da empresa.



Copyright © 2006 AIEC.





Página 27


Módulo 03 -Reengenharia

A Taxa de Retorno de uma Carteira

Por carteira entende-se a combinação de vários ativos. A taxa esperada de retorno de uma carteira é dada simplesmente por uma média ponderada das taxas esperadas de retorno dos ativos que compõem a carteira e pode ser representada pela seguinte equação:


E ( Rp ) = x1 * E( R1 ) + x2 * E ( R2 ) +...+ xn * E ( Rn )

Onde:

E (Rp): é a expectativa de retorno da carteira “p”;

x1: é a participação percentual do ativo “1” na carteira. A soma do percentual dos ativos que compõem uma carteira tem que ser igual a 100%;

R1: é a expectativa de retorno do ativo “1”.

Veja o exemplo:


O gestor de investimento de uma determinada empresa montou uma carteira de investimento com a seguinte composição de ativos:

 
Percentual na Carteira
Espectativa de Retorno mensal
ATIVO A
25%
2,55%
ATIVO B
35%
1,78%
ATIVO C
40%
1,32%
 

A taxa esperada de retorno mensal da carteira pode ser calculada da seguinte maneira:



E (Rp) = (0,25*2,55) + (0,35*1,78) + (0,40*1,32) = 1,79% ao mês

O percentual de 1,79% ao mês representa a taxa média ponderada de retorno esperado para a carteira de investimento da empresa.



Copyright © 2006 AIEC.





Página 28


Módulo 03 -Reengenharia

Resumo

O mercado financeiro pode ser segmentado em quatro grandes mercados com as seguintes características:

Mercados
Caractéristicas
Monetário
Controle da liquidez monetária da economia
Crédito
Financiamento do consumo e do capital de giro das empresas
Câmbio
Transformação de valores em moedas estrangeiras e nacional
Capitais
Financiamento de capital, fora do mercado bancário, a médio e longo prazo

O mercado de capitais contempla financiamentos de médio e longo prazo para as empresas. Uma empresa que abre o seu capital e emite ações em bolsa, consegue financiamento de longo prazo fora do mercado bancário.

Uma companhia é considerada de capital aberto quando promove a colocação de valores mobiliários em bolsas de valores ou no mercado de balcão.

São considerados valores mobiliários: ações, bônus de subscrição, debêntures, partes beneficiárias e commercial papers.

As ações são títulos de renda variável, emitidos por sociedades anônimas e representam a menor fração do capital da empresa emitente. Podem ser escriturais ou representadas por cautelas ou certificados

Sempre que uma empresa aplica recursos, o faz na expectativa de um resultado compensador no futuro.

A capacidade de prever o resultado depende da capacidade de prever o valor final do investimento.

A taxa de retorno pode ser expressa pela seguinte equação:



Copyright © 2006 AIEC.





Página 29


Módulo 03 -Reengenharia

1 - A Importância da estatística no planejamento financeiro

A Estatística é a ciência que se preocupa com a organização, descrição, análise e interpretação dos dados experimentais.

O tratamento estatístico é uma excelente ferramenta onde quer que seja necessário lidar com informações em forma de números, em especial nos processos de tomada de decisão.

O aprendizado das técnicas estatísticas é necessário quando se quer trabalhar efetivamente com fatos e dados, daí a sua larga aplicabilidade em todos os ramos de conhecimento, tanto para lidar com informações essencialmente quantitativas, como qualitativas ou ambas ao mesmo tempo.

Quando um gestor trabalha na formação de carteiras de investimento eficientes deve conhecer algumas técnicas básicas de Estatística, tais como as medidas de tendência central e algumas medidas de dispersão que servem para verificar a representatividade das medidas de tendência central.

O gráfico acima, conhecido como curva de distribuição normal ou curva de Gauss ilustra a média (x) de uma determinada amostra e a dispersão de valores em relação a essa medida de tendência central, ou seja, os seus respectivos desvios padrões.



Copyright © 2006 AIEC.


No cálculo do retorno e do risco de uma carteira a medida de tendência central mais utilizada é a média e as medidas de dispersão e correlação que precisam ser conhecidas são o desvio-padrão, a variância, a covariância e a correlação.






Página 30


Módulo 03 -Reengenharia

2 - Conceituando os riscos empresariais

A tomada de decisão faz parte do cotidiano de qualquer empresa e, consequentemente, dos seus gestores. Quanto maior o número de informações disponíveis sobre o evento menor a incerteza.

Por incerteza entende-se a margem de erro sobre as estimativas, causadas principalmente por variáveis endógenas. Esta ocorre porque os gestores não possuem todas as informações sobre eventos futuros e de suas probabilidades de ocorrência. Existe incerteza quando o retorno não pode ser previsto ou quando a probabilidade de ocorrência dos retornos esperados é desconhecida.

O risco pode ser entendido como a incerteza quantificável matematicamente. Os chineses definem o risco através dos símbolos do perigo e da oportunidade, reforçando a idéia de que assumir riscos calculados não é uma coisa ruim, ou seja, em qualquer ramo de atividade é necessário transformar a incerteza em números.

Gerir os riscos é tomar providências no presente, para garantir a sobrevivência do empreendimento no futuro, caso ocorra um cenário improvável, porém possível.



Copyright © 2006 AIEC.


Variáveis endógenas - variáveis determinadas pela solução dos modelos econômicos. Os modelos são construídos para estimar o valor dessas variáveis a partir de choques ou mudanças na economia.






Página 31


Módulo 03 -Reengenharia

As empresas que aplicam seus recursos excedentes em carteiras de ações, fundos de investimento, certificado de depósitos bancários ou qualquer outro produto de investimento disponível no mercado têm que se preocupar com alguns tipos de risco, dentre os quais destacamos os seguintes:

Risco de Mercado

O risco de mercado é aquele que representa o potencial de perda em função de mudanças no comportamento da taxa de juros, da taxa de câmbio, do preço das ações ou do preço de commodities.

Este tipo de risco depende das posições assumidas pelas empresas ou pelas instituições financeiras em função, principalmente, das estratégias de atuação.

No caso de Certificados de Depósitos Bancário (CDB), o mercado é influenciado basicamente pelas mudanças das taxas de juros, câmbio e inflação.

Risco de crédito

O risco de crédito é a incerteza com relação à quebra de contrato pelas contrapartes.

Este risco decorre da possibilidade do não recebimento de recursos a que se tem direito ou ao seu recebimento fora do prazo ou condição pactuada.

Deve-se conhecer a capacidade dos emissores dos títulos de honrar o pagamento nos respectivos vencimentos. Saber as características dos papéis de uma carteira permite uma melhor avaliação de seu risco de crédito.



Copyright © 2006 AIEC.





Página 32


Módulo 03 -Reengenharia

Risco de liquidez

O risco de liquidez está associado à falta de contrapartes em número suficiente para negociar a quantidade desejada de uma posição, ou da falta de interesse do mercado em negociá-las, afetando de forma anormal o valor das mesmas.

Risco soberano

O risco soberano diz respeito às dívidas do País e reflete a capacidade do Estado em honrar o pagamento de seus títulos no vencimento.



Copyright © 2006 AIEC.





Página 33


Módulo 03 -Reengenharia

Risco diversificável

O risco diversificável, também conhecido como risco não sistemático, refere-se à parcela da variabilidade total do rendimento de uma carteira que ocorre devido a fatores específicos de um setor da economia ou simplesmente de uma empresa.

O efeito da incidência desses fatores sobre o rendimento de uma carteira pode ser atenuado por meio da diversificação adequada de ativos. Quem nunca ouviu a seguinte frase: “jamais coloque todos os ovos na mesma cesta, pois se a cesta quebrar, você perderá tudo”? Essa frase sintetiza o conceito do risco diversificável.

Quando uma empresa investe seus recursos em um único investimento, caso esse investimento apresente um retorno abaixo do esperado, não estará ajudando a otimizar o resultado dessa empresa.

Por esse motivo, é aconselhável a diversificação dos investimentos, pois caso a rentabilidade de um dos investimentos fique abaixo das expectativas, a rentabilidade dos demais poderá compensá-lo.

O risco de liquidez e o risco de crédito estão intimamente relacionados ao risco diversificável.



Copyright © 2006 AIEC.





Página 34


Módulo 03 -Reengenharia

Risco sistemático

O risco sistemático resulta das incertezas comuns a todos os títulos. Desta forma, não pode ser reduzido por meio de uma política de diversificação.

Essencialmente, esse risco está relacionado ao risco de mercado, ou seja, a flutuações da taxa de juros, da taxa de câmbio, do preço das ações e do poder de compra e de venda do mercado.

A alocação eficiente das aplicações em ativos com sensibilidades diferentes a fatores externos, consegue reduzir o risco total de uma carteira por meio da redução do risco diversificável, mantendo-se, contudo, o risco sistemático comum a todos os ativos.

O processo de diversificação do risco é uma medida estratégica indispensável em ambientes sob condições de incerteza. A função dos gestores é saber escolher a melhor alternativa de retorno associada a um grau de risco aceitável para os investimentos da empresa.



Copyright © 2006 AIEC.





Página 35


Módulo 03 -Reengenharia

3 - Calculando o risco e o retorno de uma carteira

A partir desse ponto, o risco será tratado como o grau de variabilidade dos retornos, sejam eles de ações, fundos de investimento, títulos públicos federais, títulos privados ou qualquer outro ativo financeiro.

O risco de um ativo mantido fora de uma carteira é diferente de seu risco quando incluído na carteira.


O risco de uma carteira depende não somente do risco de cada ativo que a compõe e de sua participação no investimento total, mas também da forma como seus componentes se relacionam ou covariam entre si
.

Para o cálculo do risco, será utilizado o desvio-padrão, que nada mais é do que a raiz quadrada da variância.

A idéia básica é obter uma média dos afastamentos dos diversos valores possíveis de uma variável, em relação ao seu valor esperado, conforme será demonstrado a seguir.



Copyright © 2006 AIEC.





Página 36


Módulo 03 -Reengenharia

Cálculo da Variância

A variância é a média dos quadrados dos afastamentos dos diversos valores possíveis de uma variável aleatória em relação ao seu valor esperado. Em outras palavras, é a média dos quadrados das diferenças entre retornos efetivamente ocorridos e o retorno médio.

Quanto maior é o número resultante, mais os retornos efetivos tendem a se afastar do retorno médio. Além disso, quanto maior a variância ou o desvio-padrão, mais dispersos são os retornos.



Onde:
: é a taxa de retorno em caso de ocorrer o evento “j”;

E(R): é o valor esperado da variável aleatória “R”.



Copyright © 2006 AIEC.





Página 37


Módulo 03 -Reengenharia

Cálculo do Desvio-Padrão

O desvio-padrão é dado pela raiz quadrada da variância, porque a variância é medida em diferenças “ao quadrado”, o que dificulta sua interpretação. Para facilitar o entendimento, os analistas adotam como prática comum o uso do desvio-padrão.



O desvio-padrão e a variância são medidas estatísticas que refletem a variabilidade ou o grau de dispersão dos valores individualmente em relação à sua média.

Para o analista de investimento, o desvio-padrão representa o risco de um determinado evento acontecer.

Porém, quando o analista de investimento necessita relacionar duas variáveis de uma carteira, entram em cena a covariância e a correlação.



Copyright © 2006 AIEC.





Página 38


Módulo 03 -Reengenharia

Cálculo da Covariância

A covariância visa identificar como determinados valores se inter-relacionam.

É basicamente uma medida que avalia como duas variáveis movimentam-se ao mesmo tempo em relação a seus valores médios, ou seja, a simetria existente entre os ativos.

Se dois ativos apresentarem uma covariância positiva, é de se esperar que as taxas de retorno apresentem comportamento de mesma tendência.

Quando a valorização de um ativo reflete uma tendência de valorização em outro e vice-versa, tais ativos são considerados diretamente relacionados.

A covariância pode ser encontrada por meio do seguinte cálculo:





Copyright © 2006 AIEC.





Página 39


Módulo 03 -Reengenharia

Cálculo do Coeficiente de Correlação

O objetivo da correlação é explicar o relacionamento verificado no comportamento de duas ou mais variáveis.

A correlação pode ser simples, quando envolve apenas dois ativos ou múltipla, quando envolve uma quantidade maior de ativos.


A correlação entre duas variáveis indica a maneira como elas se movem em conjunto. A quantificação desse relacionamento é obtida estatisticamente por meio do coeficiente de correlação, que pode variar de +1 a -1.

Ativos com coeficiente de correlação igual a -1 são negativamente correlacionados, isto é , possuem uma relação inversa de rentabilidade.

Quando os ativos se comportam de maneira independente, são definidos como não correlacionados e possuem coeficiente de correlação igual a zero.



Copyright © 2006 AIEC.





Página 40


Módulo 03 -Reengenharia

Quando um analista financeiro recomenda um portifólio, a aplicação do conceito de correlação é de grande importância para o processo de redução do risco diversificável.

Ativos com os coeficientes de correlação semelhantes não colaboram para a redução do risco, visto que convergem para ganhos quando a situação econômica lhes for favorável, e para perdas, em épocas desfavoráveis.

Se o objetivo da diversificação for reduzir o risco da carteira, é essencial selecionar ativos com diferentes magnitudes de correlação.

O cálculo da correlação entre dois ativos é dado pela covariância entre os ativos, dividida pelo produto dos respectivos desvios-padrões, conforme especificado na fórmula





Copyright © 2006 AIEC.


Se o objetivo da diversificação for reduzir o risco da carteira, é essencial selecionar ativos com diferentes magnitudes de correlação.






Página 41


Módulo 03 -Reengenharia

Equação Simplificada da Variância

Desmembrando a equação da variância e da covariância chega-se a uma equação que descreve, de forma direta, o risco da carteira com as devidas correlações entre os seus ativos:



como:


A equação também pode ser escrita da seguinte maneira:





Copyright © 2006 AIEC.





Página 42


Módulo 03 -Reengenharia

Exemplo do cálculo do risco e do retorno de uma Carteira

Para consolidar o entendimento necessário para a obtenção do retorno estimado do risco e das correlações entre os ativos de um portifólio, basta analisar o exemplo abaixo, que reflete as possibilidades de investimento de uma carteira hipotética.


A tabela a seguir apresenta três ativos, “A”, “B” e “C”, e os cinco prováveis cenários para a carteira de investimento com as suas respectivas probabilidades.

Para cada cenário é dado o retorno individual de cada ativo (R) e o retorno da carteira (Rc).

Cenário
Probabilidade
Retorno dos ativos (R)
Carteira (Rc)
A
B
C
1
0,15
0,95
1,20
0,80
1,00
2

0,30

0,54
0,70
0,65
0,62
3
0,25
0,40
0,50
0,45
0,45
4
0,20
0,20
0,15
0,22
0,19
5
0,10
-0,09
-0,15
-0,15
-0,13
Expectativa de Retorno E(Rc)
0,4355
0,5300
0,4565
0,4738

O gestor de investimento da empresa, com base em suas análises, decidiu que a carteira seria composta da seguinte maneira:

40% ativo “A”
35% ativo “B”
25% ativo “C”

Com base nas informações acima, qual seria a taxa de retorno e o risco esperado para a carteira hipotética administrada pelo gestor de investimento da empresa? Clique nos links abaixo para descobrir como deve ser efetuado cada cálculo.

Cálculo da taxa esperada de retorno da carteira.
Cálculo da variância.
Cálculo do desvio-padrão.



Copyright © 2006 AIEC.


Cálculo da Taxa Esperada de Retorno da Carteira

A taxa esperada de retorno é calculada através da média ponderada das taxas de retorno dos ativos que compõem a carteira hipotética.

O retorno esperado do ativo “A” é 0,4355, ou 43,55%, e foi encontrado pelo somatório dos produtos das probabilidades e do retorno em cada cenário, conforme a seguir:

E (RA) = (0,15*0,95) + (0,30*0,54) + (0,25*0,40) + (0,20*0,20) + (0,10*( -0,09)) = 0,4355 ou 43,55%

De forma análoga foi encontrado o retorno esperado para os ativos “B” e “C”.

Após encontrar o retorno individual de cada ativo, o retorno esperado da carteira é facilmente encontrado pela seguinte equação:

E (RC) = (0,40*0,4355) + (0,35*0,5300) + (0,25*0,4565) = 47,38%



Variância da Carteira Hipotética

O cálculo da variância é por demais simples, uma vez que o retorno da carteira para cada cenário (RC) foi calculado na tabela, utilizando-se o percentual de cada ativo na carteira, e a taxa esperada de retorno da carteira (E(RC)) também já é conhecida.

Desmembrando a equação da variância, chega-se ao seguinte valor:


Cenário
Probabilidade
Rc
E(Rc)
(Rc - E(Rc))^2
((Rc - E(Rc))^2) * Prob
1
0,15
1,00
0,47
0,28
0,0415
2

0,30

0,62
0,47
0,02
0,0067
3
0,25
0,45
0,47
0,00
0,0002
4
0,20
0,19
0,47
0,08
0,0164
5
0,10
-0,13
0,47
0,36
0,0360
 
Variância
0,1008



Desvio-Padrão da Carteira Hipotética

O risco da carteira é dado pela raiz quadrada da variância, conforme descrito na equação do desvio-padrão.

No caso da carteira hipotética, o risco seria de 31,75%.

Por meio das tabelas abaixo é possível calcular a variância e o risco individual dos ativos “A”, “B” e “C”.

Cenário
Probabilidade
Ra
E(Rc)
(Ra - E(Ra))^2
((Ra - E(Ra))^2) * Prob
1
0,15
0,95
0,44
0,26
0,0397
2

0,30

0,54
0,44
0,01
0,0033
3
0,25
0,40
0,44
0,00
0,0003
4
0,20
0,20
0,44
0,06
0,0111
5
0,10
-0,09
0,44
0,28
0,0276
 
Variância "A"
0,0820
  Desvio-Padrão "A"
0,2864
 
Cenário
Probabilidade
Rb
E(Rb)
(Rb - E(Rb))^2
((Rb - E(Rb))^2) * Prob
1
0,15
1,20
0,53
0,45
0,0673
2

0,30

0,70
0,53
0,03
0,0087
3
0,25
0,50
0,53
0,00
0,0002
4
0,20
0,15
0,53
0,14
0,0289
5
0,10
-0,15
0,53
0,46
0,0462
 
Variância "B"
0,1514
  Desvio-Padrão "B"
0,3890


Cenário
Probabilidade
Rc
E(Rc)
(Rc - E(Rc))^2
((Rc - E(Rc))^2) * Prob
1
0,15
0,80
0,46
0,12
0,0177
2

0,30

0,70
0,46
0,04
0,0112
3
0,25
0,50
0,46
0,00
0,0000
4
0,20
0,15
0,46
0,06
0,0112
5
0,10
-0,15
0,46
0,37
0,0368
 
Variância "C"
0,0769
  Desvio-Padrão "C"
0,2773






Página 43


Módulo 03 -Reengenharia

Analisando o retorno e o risco individual de cada ativo e o retorno e o risco da carteira hipotética, observa-se que o retorno da carteira foi maior do que o retorno dos ativos “A” e ”C”. Por outro lado, o risco da carteira foi significativamente menor do que o risco do ativo “B”.

ATIVOS
RETORNO
RISCO
A
43,55%
28,64%
B
53,00%
38,90%
C
45,65%
27,73%
CARTEIRA
47,38%
31,75%

Em resumo, pode-se afirmar que a diversificação de ativos permite manter a expectativa de retorno esperado associada a uma redução de risco, bastando, para isso, escolher de forma adequada o percentual dos ativos dentro da carteira.

Esse fato é matematicamente explicado pela correlação entre os ativos de uma carteira.



Copyright © 2006 AIEC.





Página 44


Módulo 03 -Reengenharia

Covariância da Carteira Hipotética

A tabela a seguir descreve o cálculo da covariância entre os ativos “A” e “B” da carteira hipotética.

 
Cenário
Probabilidade
Retorno (R)
Ra - E(Ra)
Rb-E(Rb)
Ra-E (Ra) *Rb-E(Rb)*Prob
A
B
1
0,15
0,95
1,20
0,51
0,67
0,0517
2
0,30
0,54
0,70
0,10
0,17
0,0053
3
0,25
0,40
0,50
-0,04
-0,03
0,0003
4
0,20
0,20
0,15
-0,24
-0,38
0,0179
5
0,10
-0,09
-0,15
-0,53
-0,68
0,0357
Expectativa de Retorno E(R) 0,4355 0,5300   Covariância
0,1109

A covariância encontrada foi maior do que zero, ou seja, as taxas de retorno dos ativos “A” e “B” apresentam comportamento de mesma tendência frente a possíveis oscilações no mercado.



Copyright © 2006 AIEC.





Página 45


Módulo 03 -Reengenharia

Correlação da Carteira Hipotética

O coeficiente de correlação entre os ativos “A” e “B” é encontrado quando se divide o valor da covariância entre os dois ativos pelo produto dos desvios padrões de “A” e “B”.


ρ= 0,1109 / ( 0,2864 ) ( 0,3890 ) = 0,9958

Como o coeficiente de correlação entre duas variáveis pode, no mínimo, ser igual a -1 (correlação negativa perfeita) e, no máximo, ser igual a +1 (correlação positiva perfeita), conclui-se que os ativos “A” e “B” possuem uma elevada correlação, não sendo, portanto, eficientes para o gestor que busca reduzir o risco de uma carteira, com poucos ativos, por meio da diversificação.



Copyright © 2006 AIEC.





Página 46


Módulo 03 -Reengenharia

Resumo

Quando um gestor trabalha na formação de carteiras de investimento eficientes deve conhecer algumas técnicas básicas de Estatística, tais como as medidas de tendência central e algumas medidas de dispersão que servem para verificar a representatividade das medidas de tendência central.

O risco pode ser entendido como a incerteza quantificável matematicamente. Gerir os riscos é tomar providências no presente, para garantir a sobrevivência do empreendimento no futuro, caso ocorra um cenário improvável, porém possível.

Os principais tipos de risco são:

• risco de mercado;
• risco de crédito;
• risco de liquidez;
• risco soberano;
• risco diversificável; e
• risco não diversificável.

O risco de uma carteira depende não somente do risco de cada ativo que a compõe e de sua participação no investimento total, mas também da forma como seus componentes se relacionam, ou covariam entre si.



Copyright © 2006 AIEC.





Página 47


Módulo 03 -Reengenharia

O cálculo da variância é dado pela seguinte equação:

Equação do desvio-padrão:

Equação da covariância:

Equação da correlação:

O risco de um ativo mantido fora de uma carteira é diferente de seu risco quando incluído na carteira.

Para calcular a variância de uma carteira, temos a seguinte equação simplificada:



Copyright © 2006 AIEC.





Página 48


Módulo 03 -Reengenharia
1 - Seleção de carteiras diversificadas

Dois objetivos são considerados comuns para os investidores, sejam pessoas físicas ou jurídicas: preferem retornos maiores a retornos menores e preferem a certeza à incerteza.

Entretanto, ao desejarem uma carteira com maior retorno, não necessariamente estarão obtendo a menor incerteza.

O bom investimento depende da capacidade do gestor de investimento em assumir o risco adequado ao perfil de consumo, patrimônio e fluxo de caixa da empresa.

A obtenção do maior retorno seguramente exige um sacrifício na pretensão de reduzir a incerteza. Quanto maior for o grau de incerteza a ser mantido numa carteira, maior será o grau de retorno a ser perseguido.

Os gestores de investimento deverão centrar-se na rentabilidade ponderada pelos diversos níveis de risco, de forma a aumentar a probabilidade de sucesso do investimento.



Copyright © 2006 AIEC.





Página 49


Módulo 03 -Reengenharia

Uma parcela das aplicações de longo prazo pode ser direcionada para alternativas de investimento com maior risco e, conseqüentemente, com expectativa de retorno maior. Exemplo :

Recursos de curto prazo devem ser destinados para investimentos menos voláteis, com maior liquidez e retorno próximo aos pagos pelos títulos públicos federais.

O conceito conhecido como fronteira eficiente ou modelo de programação quadrática, desenvolvido por Markowitz, em 1952, popularizou a idéia de diversificação de carteiras de investimento.

Selecionar carteiras eficientes com relação ao binômio risco e retorno tem sido o objetivo da Moderna Teoria de Finanças, também conhecida como Teoria dos Portifólios, principalmente a partir da década de 70.

A seguir serão abordados dois modelos para seleção de carteiras eficientes amplamente utilizados: o modelo de programação quadrática, desenvolvido por Markowitz, e o CAPM - Capital Asset Pricing Model, desenvolvido por William Sharpe.



Copyright © 2006 AIEC.





Página 50


Módulo 03 -Reengenharia

2 - A visão de markowitz

Harry Markowitz revolucionou os meios acadêmicos quando publicou no Journal of Finance, em 1953, o clássico artigo Portfolio Selection, onde afirmou que a análise de carteiras inicia-se com a análise individual de cada título e termina com a obtenção da carteira eficiente que melhor atenda aos objetivos do investidor.

O autor foi o primeiro a reconhecer que a diversificação de risco é uma estratégia fundamental para a montagem de uma carteira vencedora. Esse artigo é considerado o marco histórico do surgimento da Moderna Teoria de Finanças, que utilizou conceitos estatísticos para diversificação do risco de carteiras de investimento.

A diversificação dos investimentos tem por objetivo a redução do risco e a adequação da carteira às reais necessidades do investidor no curto, médio e longo prazo. Há sempre uma combinação ótima de ativos para cada nível de risco.


O modelo de Markowitz baseia-se nas seguintes hipóteses:

1. O investidor preocupa-se apenas com o risco e com o retorno do investimento;
2. O investidor tem preferência por retorno maior e risco menor;
3. Os investidores desejam ter carteiras eficientes;
4. Os investidores estão de acordo quanto às distribuições de probabilidades das taxas de retorno dos ativos, o que assegura a existência de um único conjunto de carteiras eficientes.


Na prática, a “Teoria do Portifólio” pode ajudar ao gestor de investimento da empresa a alcançar o nível ótimo de rentabilidade, ao mesmo tempo em que minimiza o risco no longo prazo em todas as classes de ativos, em especial nas ações e, conseqüentemente, nos fundos de renda variável.

Parte do risco de um investimento, independentemente da diversificação, não poderá ser reduzido. A única forma de fazê-lo é por meio da aplicação em ativos de renda fixa, ou seja, menos voláteis tais como: os certificados de depósitos bancários (CDB), os fundos de renda fixa e a tradicional caderneta de poupança.

O monitoramento integrado de riscos é um procedimento altamente recomendado. Considerar apenas o retorno ajustado ao risco não é uma garantia de se obter os benefícios da diversificação, sendo necessário uma criteriosa análise das correlações dos ativos disponíveis no mercado.



Copyright © 2006 AIEC.





Página 51


Módulo 03 -Reengenharia

É consenso entre os analistas de mercado, gestores de fundos de investimento e cada vez mais entre os próprios investidores, que a alocação estratégica e criteriosa de ativos consiste das seguintes etapas:

Porém, o modelo de programação quadrática proposto por Markowitz é pouco utilizado como instrumento de construção de portifólios ótimos devido à sua complexidade matemática.

Para se calcular um portifólio ótimo com “n” termos de variância, existe a necessidade de que sejam calculados “n(n-1)/2” termos de covariância. Assim, para montar uma carteira com 100 ativos, há a necessidade de se calcular 4.950 covariâncias. Esse número aumenta exponencialmente com o aumento da diversificação da carteira.



Copyright © 2006 AIEC.





Página 52


Módulo 03 -Reengenharia

3 - A teoria da fronteira eficiente

Com a finalidade de demonstrar a teoria da fronteira eficiente de Markowitz, será utilizada a variação real do preço de mercado das ações de três grandes empresas brasileiras que atuam em setores distintos da economia: Petrobrás, Banco do Brasil e Embraer.

O período de análise, de 02/01/2001 a 31/01/2005, foi escolhido de forma aleatória. Para verificar as variações diárias dos preços das ações, observe a planilha que consta do material complementar desta Unidade.

As tabelas a seguir evidenciam a média dos retornos diários, a variância, o desvio padrão, a covariância e a correlação para as carteiras formadas, exclusivamente, com os papéis das três empresas.

Os cálculos desses parâmetros estatísticos foram efetuados conforme estudado anteriormente. Porém, no momento, é mais significativo apenas o entendimento do conceito da fronteira eficiente de Markowitz.

RETORNO NO PERÍODO
(02/01/2001 a 31/01/2005)
 
PETR4
BBAS3
EMBR4
Retorno
0,00078329
0,00141109
0,00012864

MEDIDAS DE DISPERSÃO
 
PETR4
BBAS3
EMBR4
Desvio Padrão
0,02186053
0,03114376
0,03225457
Variância
0,00047788
0,00096993
0,00104036

MEDIDAS DE DISPERSÃO
 
PETR4(1)
BBAS3(2)
EMBR4(3)
Correlação12
0,21974639
Covariância12
0,00014945
Correlação13
0,24871611
Covariância13
0,00017519
Correlação23 0,08564379
Covariância23
0,00008594


Copyright © 2006 AIEC.





Página 53


Módulo 03 -Reengenharia

Após a análise das variáveis de risco, retorno e correlação das ações da Petrobrás, Banco do Brasil e Embraer, o gestor de investimento precisa selecionar algumas opções de carteiras com percentuais diferentes de cada ação. Por exemplo:

 CARTEIRAS
PETR4
BBAS3
EMBR4
TOTAL
1
5%
35%
60%
100%
2
40%
20%
40%
100%
3
50%
0%
50%
100%
4
60%
10%
30%
100%
5
100%
0%
0%
100%

Para montar um gráfico de fronteira eficiente, quanto maior o número de carteiras selecionadas pelo gestor, melhor a qualidade das informações.

No exemplo em questão, foram selecionadas 1690 potenciais carteiras de investimento, com proporções variadas de ações da Petrobrás (PETR4), Banco do Brasil (BBAS3) e Embraer (EMBR4), conforme detalhado na planilha do material complementar.

O gráfico abaixo relaciona as carteiras selecionadas de acordo com os retornos obtidos e os seus respectivos desvios-padrão.



Copyright © 2006 AIEC.





Página 54


Módulo 03 -Reengenharia

Após a plotagem de todas as carteiras no gráfico, o gestor deve selecionar apenas os pontos dominantes, ou seja, os pontos em que para um determinado grau de risco, têm-se os maiores retornos.

O investidor racional é aquele que escolhe uma carteira que consegue maximizar o retorno esperado para um menor nível possível de risco.

As carteiras que conseguiram otimizar os seus retornos foram as enquadradas por Markowitz como eficientes.

O gráfico abaixo representa um exemplo da chamada “carteira eficiente de Markowits” e é formado pelos pontos dominantes com relação ao binômio risco e retorno.

Carteira Eficiente de Markowitz

Dentre as carteiras eficientes, o gestor de investimento da empresa escolherá aquela que tenha mais aderência ao perfil de risco da empresa e ao seu fluxo de caixa, uma vez que todas as opções irão otimizar o retorno do investimento.


É importante observar que dentro da fronteira eficiente não existe uma carteira melhor do que a outra. Porém, existem carteiras adequadas ao perfil de risco e ao fluxo de caixa de cada empresa ou de cada investidor.



Copyright © 2006 AIEC.





Página 55


Módulo 03 -Reengenharia

4 - A visão de Sharpe

Baseado nas idéias de Markowitz, em 1964, um antigo aluno seu, William Sharpe, concebeu um modelo mais simples, denominado Modelo do Índice Único, demonstrando que a relação entre o risco e o retorno entre os títulos é uma relação linear e que esta relação é explicada por um índice de mercado.

Segundo a teoria de Sharpe, todos os títulos de investimento disponíveis estariam correlacionados com o “índice de mercado”.

Esta simplificação elimina a necessidade de se calcular as covariâncias entre todos os ativos de uma carteira, bastando, para tanto, verificar a relação entre a oscilação de um título e a oscilação de um índice de mercado.

Em seu trabalho, Sharpe identificou que o modelo proposto por Markowitz era capaz de descrever a maneira com que o mercado e o indivíduo comparam o retorno e o risco esperado para portifólios, porém, não era capaz de dizer como se chegar ao preço de equilíbrio para qualquer ativo.



Copyright © 2006 AIEC.





Página 56


Módulo 03 -Reengenharia

Por esse motivo, Sharpe precisou elaborar as seguintes hipóteses adicionais ao modelo de Markowitz:

1. Existe uma grande eficiência informativa no mercado, atingindo a todos os investidores;

2. Os ativos são perfeitamente divisíveis;


3. Existe um ativo sem risco, e os investidores podem comprá-lo ou vendê-lo em qualquer quantidade;


4. Não existem custos de transação ou impostos, ou, alternativamente, eles são idênticos para todos os indivíduos.

As ponderações de Sharpe ampliaram a Teoria das Carteiras também para os ativos de renda fixa ou ativos sem riscos. Isso permitiu a mensuração de novas possibilidades, tais como:

• Alocação de todo o capital em ativos sem risco;
• Alocação de parte dos recursos em renda fixa e outra em renda variável.



Copyright © 2006 AIEC.





Página 57


Módulo 03 -Reengenharia

5 - Entendendo o Modelo CAPM (Capital Asset Pricing Model)

O CAPM é um modelo de precificação de ativos muito utilizado nas operações de mercado de capitais, principalmente no processo de avaliação e tomada de decisões em condições de risco.

Para facilitar o entendimento do CAPM, vamos supor a existência de um ativo sem risco (F) e de uma carteira (M) – também denominada carteira de mercado, formada pelos ativos com risco disponíveis no mercado e que um determinado investidor pretenda formar uma carteira (C), diversificada com ativos de renda fixa e renda variável.

Expectativa de retorno da carteira (C):


onde:

é a expectativa de retorno da nova carteira;

é o retorno do ativo sem risco;

é o retorno da carteira de mercado


Risco da carteira (C):


Como (F) é um ativo sem risco, a taxa de retorno é constante, o risco e a variância podem ser considerados nulos e conseqüentemente a covariância entre o ativo sem risco e a carteira (M), com risco, tende a zero.

Desta forma, a equação do risco da carteira (C) pode ser escrita da seguinte maneira:



Copyright © 2006 AIEC.





Página 58


Módulo 03 -Reengenharia

A Equação do CAPM:

A soma do percentual do ativo sem risco (F) e da carteira (M) para formar a carteira (C) é igual a 1, ou seja, XF + XM = 1.

Pela análise da equação acima, conclui-se que o percentual da carteira (M) dentro da carteira (C) pode ser definido conforme abaixo:


Manipulando-se as equações do retorno médio da carteira e a da variância chega-se à equação do CAPM:


A equação básica do CAPM demonstra que existe uma relação linear entre a taxa esperada de retorno e o risco da carteira (C), conforme pode ser observado no gráfico abaixo:

O ponto M representa a situação em que XM é igual a 1, ao passo que o ponto RF representa a situação em que XF é igual a 1.

Qualquer ponto entre RF e M estará representando uma carteira diversificada com ativos de renda fixa e de renda variável.



Copyright © 2006 AIEC.





Página 59


Módulo 03 -Reengenharia

Como o conjunto de carteiras eficientes é convexo, e o ponto M pertence a esse conjunto, ele será o único ponto da reta RFM que também fará parte da curva que representa a fronteira eficiente, conforme representação a seguir:

O gráfico acima representa uma nova fronteira eficiente para os investimentos financeiros, ou seja, a fronteira dada pelo trecho RFMT, denominada de Fronteira Eficiente Geral de Investimentos.

O ponto M, situado na fronteira eficiente do conjunto de oportunidades de investimento, indica uma carteira composta por ativos com risco. O segmento RFM contém todas as possíveis combinações de ativos sem risco com ativos com risco, conforme contidos na carteira M.

As carteiras formadas à direita de M somente são possíveis se o investidor conseguir captar recursos no mercado à taxa livre de risco e aplicar esses recursos em ativos com risco.

As carteiras formadas à esquerda do ponto M possuem maior participação de títulos livres de risco e, conseqüentemente, menores expectativas de retorno.



Copyright © 2006 AIEC.





Página 60


Módulo 03 -Reengenharia

A escolha da carteira mais atraente na reta definida por RFMT, também conhecida como reta de mercado de capitais, é função da preferência pelo risco demonstrada pelo investidor.

Quanto maior a aversão ao risco, mais à esquerda de M localiza-se a carteira escolhida. Porém quanto maior a tolerância ao risco do investidor, mais à direita de M a sua carteira estará posicionada.

Na reta de mercado de capitais, os investidores encontram as carteiras mais eficientes com relação ao binômio risco e retorno compostas por ativos com risco (ações, fundos de renda variável...) e livres de risco (títulos governamentais, poupança...).

Segundo Assaf Neto (2005), qualquer ponto identificado ao longo da reta de mercado de capitais apresenta-se mais atraente que outras carteiras que possam ser formadas, sendo o ponto M representativo da carteira mais indicada de ser selecionada por se situar exatamente na fronteira eficiente.


A carteira definida no ponto M é conhecida como carteira de mercado. É uma carteira diversificada que contêm, na teoria, todos os títulos na exata proporção em que estão disponíveis no mercado.



Copyright © 2006 AIEC.





Página 61


Módulo 03 -Reengenharia

Na prática, a carteira de mercado, pela dificuldade evidente de ser formada, é obtida por alguma medida existente. Por exemplo, a carteira de mercado no Brasil pode ser representada pelo Ibovespa (Índice da Bolsa de Valores de São Paulo).

Com base na análise da curva de mercado de capitais e da carteira de mercado, Sharpe percebeu que não era necessário calcular as covariâncias entre todos os ativos com risco de uma determinada carteira. O que realmente importava era a correlação entre os ativos e a carteira de mercado.

Dessa conclusão, originou-se a equação que ficou conhecida como a equação básica do CAPM.

O Beta (β) pode ser entendido como o risco sistemático de um ativo, ao passo que o desvio-padrão é a medida do risco total de um ativo, que é o resultado da soma do risco sistemático com o risco específico.

Na visão de Sharpe, o mercado precifica os ativos apenas com base no risco sistemático (β), uma vez que o risco específico pode ser neutralizado pela formação de carteiras diversificadas.



Copyright © 2006 AIEC.





Página 62


Módulo 03 -Reengenharia

O Coeficiente Beta:

Admite-se que a carteira total de mercado, por conter unicamente risco sistemático, apresente beta igual a 1.

Quanto maior for o beta, mais elevado o risco da ação, e, ao mesmo tempo, maior seu retorno esperado.

Quando o beta de um ativo for igual a 1, diz-se que a ação se movimenta na mesma direção da carteira de mercado em termos de retorno esperado, ou seja, o risco da ação é igual ao risco sistemático do mercado como um todo.

Se β = 1 risco de mercado

Uma ação com beta maior que 1 retrata um risco sistemático mais alto que o da carteira de mercado, sendo, por isso, interpretado como um investimento de alto risco. Exemplo.

Se β > 1 investimento de alto risco

Quando o beta é inferior a 1,0, tem-se um ativo caracteristicamente “defensivo”, demonstrando um risco sistemático menor que o da carteira de mercado. Exemplo.

Se β < 1 investimento de menor risco


Copyright © 2006 AIEC.





Página 63


Módulo 03 -Reengenharia

6 - O Índice de SHARPE

Dentre os métodos de avaliação de performance mais conhecidos, está o índice de Sharpe (IS), que vem sendo amplamente utilizado, principalmente na indústria de fundos de investimento.

Esse índice mede a relação entre o risco e o retorno de uma determinada aplicação em período já decorrido e, também, o grau de eficiência com que o gestor administrou os recursos, ou seja, efetuou a gestão da carteira de investimento.

O resultado do índice de Sharpe dependerá da rentabilidade e das oscilações dos ativos dentro de um período determinado. Quanto maior o índice, mais eficiente será a gestão da carteira. O cálculo do (IS) é o seguinte:

Onde:

RC é o retorno da carteira ou do fundo de investimento;

RF é o retorno do ativo referencial “livre de risco”.

No caso de renda fixa, é utilizado o CDI ou poupança e para renda variável, o IBOVESPA;

σC é a Volatilidade, ou melhor, o risco da carteira ou do fundo de investimento.



Copyright © 2006 AIEC.





Página 64


Módulo 03 -Reengenharia

É importante enfatizar que a comparação do índice de Sharpe de um determinado ativo só terá utilidade quando comparado ao índice de Sharpe de outro ativo da mesma classe, ou seja, comparar fundos de renda fixa com fundos de renda fixa; comparar carteiras de ações com carteiras de ações.

Exemplo:

Com o objetivo de simplificar o entendimento sobre o índice de Sharpe, será utilizada a comparação entre o desempenho de dois fundos de investimento.

 

Retorno

Risco

Fundo A

16%

4%

Fundo B

12%

2%

Ativo sem risco

6%

 

ISA = (16-6) / 4 = 2,5

ISB = (12-6) / 2 = 3,0

Apesar do fundo B possuir um retorno esperado menor do que o fundo A, ele apresentou uma maior eficiência na relação de risco e retorno. Com isso é possível afirmar que a carteira do fundo de investimento B é mais eficiente que a carteira do fundo de investimento A.



Copyright © 2006 AIEC.





Página 65


Módulo 03 -Reengenharia

Resumo

A absoluta precisão nas estimativas de retorno em investimentos com risco é praticamente um objetivo inalcançável devido à dificuldade de se prever o comportamento futuro de todas as variáveis envolvidas.

O bom investimento depende da capacidade do gestor de investimento em assumir o risco adequado ao perfil de consumo, patrimônio e fluxo de caixa da empresa.

O conceito conhecido como fronteira eficiente, desenvolvido por Markowitz, popularizou a idéia de diversificação de carteiras de investimento e surgiu da necessidade de criação de regras para os investidores racionais alocarem recursos em carteiras eficientes.

Baseado nessas idéias, Sharpe concebeu o Modelo do Índice Único, segundo o qual, todos os títulos de investimento disponíveis estariam correlacionados com o índice de mercado.

O modelo Capital Asset Pricing Model (CAPM) encontra grande aplicação no campo das finanças e permite determinar, de maneira consistente com o retorno esperado, o risco de um ativo.

Apesar de algumas das premissas adotadas pela Moderna Teoria de Finanças não possuírem aplicabilidade em mercados cheios de imperfeições e assimetria nas informações, onde os impostos existem e não se pode afirmar seguramente que todos os investidores tenham expectativas iguais, ainda hoje, os seus conceitos são utilizados para a mensuração do risco e do retorno de carteiras.

Avaliar o desempenho de carteiras de investimento à luz da Moderna Teoria de Finanças permite explicar se o gestor de investimento obteve desempenho superior em função de sorte, da exposição a elevado grau de risco ou se realmente soube fazer a gestão de um portifólio de investimento eficiente.



Copyright © 2006 AIEC.