Dado seu comportamento exponencial, a conversão das taxas de inflação devem ser efetuadas pelo conceito de taxas equivalentes.

Exemplo

A taxa mensal de inflação de um quadrimestre atinge, respectivamente, 2,8%, 3,4%, 5,7% e 8,8% para cada mês. Determinar a taxa de inflação acumulada no período e a taxa média mensal.

1º Passo – Unificação das taxas para sabermos quanto foi a inflação no período. (dado que a inflação comporta-se como juros compostos devemos unificar as taxas e não somá-las)

Variáveis Solução
i1 = 0,028 iu=(1+i1)x(1+i2)x...x(1+in)-1
i2 = 0,034 iu=(1+0,028)x(1+0,034)x(1+0,057)x(1+0,088)-1
i3 = 0,057 iu=0,222 4 22,2%a.q.
i4 = 0,088  

R: A inflação do período foi de 22,2% ou 22,2% no quadrimestre.

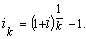
2º Passo – Cálculo da Taxa Mensal pelo conceito de taxas equivalentes, tendo em vista que o comportamento da inflação é exponencial, ou seja, o mesmo comportamento de juros compostos

Variáveis Solução
i = 0,222 (ao quadrimestre)
ik = ? (ao mês)
k = 4 (nº. meses que cabe no quadrimestre) ik=0,051399 = 5,1399% a.m.

R: A taxa de 5,1399% representa a taxa média do quadrimestre (que é diferente da média simples dos quatro meses). Esta taxa, aplicada mês a mês, durante o período de 4 meses é que nos dará a inflação do período (de 22,2% a.q.).

Seguindo o exemplo, vamos supor que o preço de apenas um bem servisse para medir a inflação e que, no início do período, este preço estivesse no patamar de R$100,00. Aplicando a taxa média de inflação de 5,1399% sobre o preço do bem, teríamos, aproximadamente, um valor de R$ 105,14 no 1º mês, R$ 110,54 no 2º mês, R$ 116,23 no 3º mês e de R$ 122,2 no 4º mês, evidenciando a inflação de 22,2%, para o período de 4 meses.



Copyright © 2008 AIEC.