3 - Determinação do Valor Presente (PV) para SUP

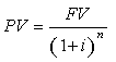
Conforme visto anteriormente, o valor presente (PV) de um determinado fluxo que ocorrerá no futuro (FV), sob o enfoque do RCC, é dado por:

(1)

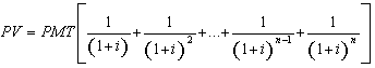
Tendo em vista que as séries representam conjuntos de fluxos de caixa que ocorrerão ao longo do tempo, referentes a pagamentos ou recebimentos, denominados “termos da série” ou PMT, podemos concluir que o valor presente das séries (PV) será dado pela soma dos valores presentes de todos os “n” fluxos que compõem a série, assim:

(2)

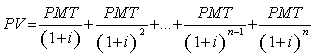
Isolando PMT, têm-se:

(3)
 
FPV(i,n)
 

Ao somatório dos termos do colchete damos o nome de fator de valor presente, dada uma taxa “i” e um número de termos “n”, representado por “FPV(i,n)”, assim, poderemos reescrever a equação (3), como:

PV = PMT x FPV(i,n)
(4)

A equação (4) indica que o valor presente de uma série é determinado mediante a multiplicação do termo da série (PMT) pelo fator de valor presente, calculado para uma taxa “i” e um prazo “n” (FPV (i,n)).



Copyright © 2008 AIEC.