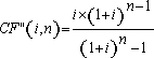
Considerando-se a definição dada anteriormente para o Coeficiente de Financiamento, pode-se concluir que o coeficiente de financiamento para SUA (CF”(i,n)), dada uma taxa “i” e um número de termos “n” será:

(10)

Dado que:

(5)


Substituindo-se a equação (5) na (10), têm-se:

(11)

A partir da equação (11), podemos calcular o coeficiente de financiamento para Séries Uniformes Antecipadas (CF”(i,n)) para qualquer taxa “i” e prazo “n”.

Aplicando-se os coeficientes calculados mediante o uso da equação (11), no valor presente do bem ou serviço, teremos o valor das prestações para diferentes prazos, para séries uniformes antecipadas (SUA).

Exercício Resolvido



Copyright © 2008 AIEC.