(B) Caso 2: Correlação perfeitamente negativa (p = -1)

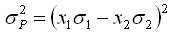
Analisaremos, agora, o outro caso extremo. Dois ativos movem-se juntos, porém em direções opostas. Nesse caso, (C) é reescrito como:

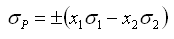
Repetindo os procedimentos acima, é possível reduzir-se o risco da carteira a:

E extraindo a raiz quadrada:

Observe que o risco da carteira é uma combinação linear dos riscos ativos individuais. Para os mesmos valores de risco e retorno do exemplo acima, traça-se o seguinte gráfico:

Combinação linear dos ativos individuais

Note que, eventualmente, é possível obter uma carteira com retorno positivo e risco nulo.



Copyright © 2006 AIEC.