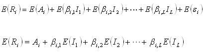
• Retorno Esperado

O valor esperado de um ativo no modelo APM é:



Dado que o valor esperado de uma soma pode ser decomposto na soma dos valores esperados, temos:

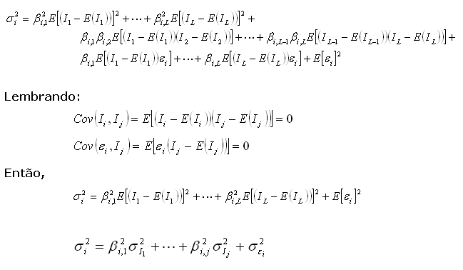
  • Variância do Retorno

A variância do retorno de um ativo é dada por:


Substituindo a expressão de Ri e E( Ri ), temos:


Elevando ao quadrado e reescrevendo a esperança da soma como as somas das variâncias têm-se:



Copyright © 2006 AIEC.