Unidade 3 Módulo 1
Tela 1
Módulo 03 -Reengenharia

1 - Introdução

O processo de investimento consiste na execução de duas tarefas básicas:

  • a primeira inclui determinar as expectativas de retorno e risco inerentes aos ativos disponíveis.
  • a segunda envolve a constituição de uma carteira ótima, ou seja, determinar as melhores oportunidades de risco e retorno disponíveis entre o conjunto de investimentos factíveis. O ramo das finanças preocupado com a determinação de carteiras ótimas é denominado moderna teoria do portfolio.

A teoria do portfolio tem sua base em três pilares.

  • O primeiro pilar (a média do retorno tomada como a média aritmética) se traduz no comportamento de aversão ao risco por parte do investidor. Esse agente demanda remunerações adicionais, caso seja exposto a investimentos de risco. A remuneração adicional, entendida como um prêmio de risco, define-se como a diferença entre a taxa de retorno esperada e as alternativas disponíveis sobre os investimentos livres de risco.
  • E o segundo pilar é a inclusão do conceito de função utilidade. Isto quer dizer que, para quantificar os trade-offs existentes entre risco e retorno para o investidor, é necessário estabelecer uma métrica que permita a comparação. Para tanto, é necessário incluir o conceito de função utilidade, que associa, a cada investimento, certo nível de bem-estar do investidor em função de seu risco e retorno.
  • O terceiro pilar (e a correlação com os outros retornos dos ativos) explicita que o cálculo do risco de um ativo individual é apenas uma parcela do risco de uma carteira de ativos. Nesse sentido, o modo adequado de calcular o risco de uma carteira é considerar o impacto de cada ativo sobre a volatilidade da carteira como um todo. Essa análise nos permitirá concluir que ativos de risco podem atuar como estabilizadores de uma carteira e, desse modo, reduzir o risco total.


Copyright © 2006 AIEC.


A Teoria do Portfolio Moderno foi fundamentada em modelos estatísticos. Por causa disto, é útil revisar o que é uma estatística, e como ela se relaciona ao problema de investimento. Em geral, uma estatística é uma função que reduz uma grande quantidade de informação a uma quantidade pequena. Por exemplo, a média é um número único que resume a "localização" típica de um conjunto de números. A estatística reduz muita informação a alguns números úteis – como tal, eles ignoram uma grande transação. Antes da teoria do portfolio moderna, a decisão sobre incluir-se um título em uma carteira estava, principalmente, fundada na análise fundamental da empresa, suas demonstrações financeiras e sua política de dividendo. Por definição o portfolio ótimo é aquele que possui a melhor relação risco x retorno (índice de Sharpe), o que de fato ocorre. Porém, não sabemos de antemão qual será o portfolio ótimo no futuro, como não sabemos qual será a ação mais valorizada. Mas os modelos de otimização podem servir para descobrir se existe alguma constância ao longo do tempo nas relações de risco x retorno. Isto não significa tentar descobrir o que será mais rentável, dado que isto seria contrariar a premissa do mercado eficiente.



Os trade-offs – são escolhas que implicam em "abrir mão" de certas vantagens em uma opção para conseguir vantagens em outra opção. Sem trade-offs, não existiria a necessidade de escolha e nem de estratégia.



Tela 2
Módulo 03 -Reengenharia

Características do conjunto de investimentos factíveis - A presença de risco implica que o investidor não pode mais associar um único número ou remuneração a um investimento. A remuneração deve ser descrita como um conjunto de resultados e cada um deles associado à probabilidade de ocorrência. Há de se considerar que, em regra, os investidores não detêm um único ativo, mas grupos de ativos ou carteiras.

Nesse contexto, a ação de determinar o retorno esperado e o risco de uma carteira, dados certos atributos específicos, é crucial para o investidor. Contudo, com relação ao risco, esse cálculo não se limita a encontrar uma média ponderada dos riscos individuais. Outrossim, o risco dependerá dos retornos dos ativos individuais se deslocarem na mesma direção ou em direção contrária. Iniciamos analisando uma medida de posição central, o retorno esperado, e uma medida de risco ou dispersão ao redor da média e o desvio-padrão.

Determinando o retorno esperado de um ativo e de uma carteira - Sob condições de risco, os resultados de qualquer instrumento financeiro são desconhecidos a priori. Entretanto, supõe-se conhecida a distribuição de retornos, assim como a probabilidade de ocorrência de cada retorno.

A tabela a seguir mostra um caso hipotético de retornos e as respectivas probabilidades para o ativo i.

Estado da Natureza
Probabilidade
Retorno Esperado
1
1/3
12
2
1/3
9
3
1/3
6


Copyright © 2006 AIEC.


Tela 3
Módulo 03 -Reengenharia

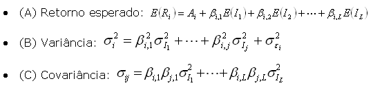
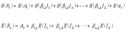
Nesse cenário, um investidor, quando defrontado com um instrumento financeiro, cuja remuneração dependa da realização de um determinado estado da natureza, deve calcular uma expectativa de retorno para cada risco. O retorno esperado, denotado por , é dado por:

Em que Rij � o retorno do ativo i no estado da natureza j e fij é a probabilidade associada à ocorrência do retorno do ativo i no estado da natureza j. No caso em tela, o retorno esperado para o ativo i é igual a 9.

Quando o investidor opta por diversificar seus investimentos entre diversos instrumentos financeiros, o cálculo da expectativa de retorno de uma carteira deve considerar o retorno esperado de cada ativo, assim como a composição dos ativos em carteira. A título de ilustração, considere os dados da tabela seguinte:

Estado da Natureza
Probabilidade
Ativo 1
Ativo 2
Ativo 3
1
1/3
6
12
42
2
1/3
10
20
30
3
1/3
14
28
18
Retorno Esperado
10
20
30

Supondo que o investidor tenha combinado os ativos 1, 2 e 3 nas proporções de 30%, 30% e 40%. Nesse caso, a remuneração esperada pelo investidor é de 21% [=(0,3x10)+(0,3x20)+(0,4x30)].



Copyright © 2006 AIEC.


Tela 4
Módulo 03 -Reengenharia

2 - Uma medida de dispersão

Não apenas é necessário ter uma medida do retorno esperado, mas também é útil ter uma medida de quanto os resultados diferem da média. Intuitivamente, uma medida sensata seria examinar a diferença diretamente, ou seja, calcular . Tendo determinado a medida de dispersão, para cada resultado bastaria totalizar essas medidas.

Entretanto, essa abordagem apresenta um problema. Algumas diferenças serão positivas, enquanto outras serão negativas e tenderão a se anular. Há duas alternativas para resolver este problema:

  • tomar valores absolutos das diferenças, ou
  • elevar ao quadrado as diferenças. Ressalte-se, contudo, que ao analisarmos as carteiras, ao invés de um único ativo, a segunda solução é mais adequada.

De fato, o cálculo do quadrado das diferenças observadas em relação à média é a representação da variância. Em termos formais, a variância do retorno do ativo i, denotado por , é dada por:

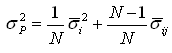
As fórmulas acima representam a variância populacional, contudo, freqüentemente, o cálculo da variância é obtido com base em valores históricos. Nesse caso, o estimador da variância não viesado é dado por:



Copyright © 2006 AIEC.


Não viesado – Para uma revisão dos conceitos de não viés da variância, consulte Damodar Gujarati (2003), Econometria Básica, 3a. edição, McPearson Makron Books.



Tela 5
Módulo 03 -Reengenharia

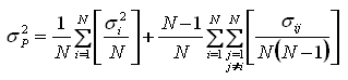
A variância da combinação de ativos - Essa simples análise nos fornece os elementos mediante os quais um investidor pode escolher entre ativos de risco. Contudo, as opções disponíveis para o investidor não estão restritas a investimentos em um único ativo. Um investidor pode alocar seus recursos em diversos ativos. Enquanto essa oportunidade eleva o número de opções para o investidor, ao mesmo tempo alavanca o grau de complexidade de risco.

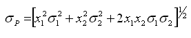
O risco de uma carteira é bem distinto da média do risco dos ativos individuais. De fato, para melhor avaliar o risco de uma carteira é necessário considerar a expressão da variância da soma:

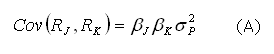
Em que xi é a participação do ativo i na carteira e a covariância entre os ativos i e j.
Em vários aspectos, é útil explicitar a covariância como um produto dos desvios-padrão dos dois ativos e o coeficiente de correlação de Pearson (Pij), ou seja,

Desse modo, é possível reescrever (A) como:

Retornando para (A), o primeiro termo, , expressa a soma das variâncias dos ativos individuais multiplicados pelo quadrado das proporções investidas em cada ativo. O segundo termo é a covariância dos ativos. Observe que cada covariância entre pares de ativos está presente na expressão.

A expressão anterior nos permite inferir algumas estratégias para o investidor. Considere a estratégia de realizar investimentos em iguais proporções. Nesse caso, (A) pode ser reescrita como:

Rearranjando a expressão, obtemos:

Note que ambos os termos entre colchetes são médias. O primeiro termo é a média das variâncias individuais, enquanto o segundo é a média das covariâncias. Substituindo os somatórios pela expressão das médias:


A contribuição da variância individual tende a zero conforme N tende ao infinito.

Contudo, a contribuição da covariância se aproxima da covariância média. Portanto, o risco individual de um ativo pode ser diversificado, mas a contribuição do risco total causada pela covariância não pode ser diversificada.



Copyright © 2006 AIEC.


A Correlação de Pearson quantifica a força de associação linear entre duas variáveis e, portanto, descreve quão bem uma linha reta se ajustaria através de nuvem de pontos.



Tela 6
Módulo 03 -Reengenharia

3 - Características dos riscos das carteiras

Anteriormente, examinamos as características de um ativo individual e iniciamos a análise dos atributos da combinação de ativos. Analisaremos, agora, as características do risco e o retorno de carteiras mais detalhadamente.

No que tange ao risco, a representação formal do risco de uma carteira, considerando N ativos, dada por (B), mostra uma relação do risco da carteira e o coeficiente de correlação entre os ativos.


Esse coeficiente, por definição, está contido no intervalo [-1,+1]. Quando a correlação entre dois ativos assume o valor +1, os ativos se deslocam perfeitamente na mesma direção. Quando a correlação entre dois ativos assume o valor –1, os ativos se deslocam perfeitamente, porém, em direção contrária.

Visando melhor compreender as implicações dos co-movimentos existentes entre os diferentes ativos, estudaremos casos específicos. Inicialmente, examinaremos os casos extremos, para, posteriormente, verificarmos seus efeitos no caso intermediário. Sem perda de generalidade, nos restringiremos às carteiras compostas por apenas dois ativos. Nesse contexto, o risco da carteira pode ser representado como:




Copyright © 2006 AIEC.


Tela 7
Módulo 03 -Reengenharia

(A) Caso 1: Correlação Perfeitamente Positiva ( p = +1)

Considere o caso em que o coeficiente de correlação é igual a + 1.

Nesse caso particular, (C) pode ser reescrito como:

A expressão acima pode ser sintetizada sob a forma de um quadrado da soma.

Extraindo a raiz:

Note que o risco da carteira será uma combinação linear do risco dos ativos presentes na carteira. O gráfico abaixo mostra uma representação da evolução do binômio risco-retorno para os seguintes ativos:

Ativo
Risco
Retorno
1
3
8
2
6
14

Evolução do binômio risco-retorno



Copyright © 2006 AIEC.


Tela 8
Módulo 03 -Reengenharia

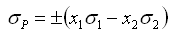
(B) Caso 2: Correlação perfeitamente negativa (p = -1)

Analisaremos, agora, o outro caso extremo. Dois ativos movem-se juntos, porém em direções opostas. Nesse caso, (C) é reescrito como:

Repetindo os procedimentos acima, é possível reduzir-se o risco da carteira a:

E extraindo a raiz quadrada:

Observe que o risco da carteira é uma combinação linear dos riscos ativos individuais. Para os mesmos valores de risco e retorno do exemplo acima, traça-se o seguinte gráfico:

Combinação linear dos ativos individuais

Note que, eventualmente, é possível obter uma carteira com retorno positivo e risco nulo.



Copyright © 2006 AIEC.


Risco nulo – Anula-se um dos componentes do risco; que é o diversificável.



Tela 9
Módulo 03 -Reengenharia

(C) Caso 3: Correlação Intermediária (-1<p<+1).

Nesse caso, (C) não pode ser escrito sob a forma de um quadrado perfeito. De fato, (C) representa uma forma quadrática, isto é:

Ao se calcular o desvio-padrão da carteira, obtém-se:

Nesse caso, ao se plotar o gráfico da relação risco e retorno:

Em que M é carteira de variância mínima, como medida de eficiência, pois representa uma carteira de ativos com o menor risco possível.



Copyright © 2006 AIEC.


Tela 10
Módulo 03 -Reengenharia

4 - Algumas conclusões sobre a combinação de ativos

Observamos algumas relações inerentes à combinação de ativos que nos permite desenvolver alguns insights. É interessante observar que, para cada par de ativos, há uma combinação que resulta no menor risco. A potencial redução de risco dessa combinação depende da correlação existente entre os ativos. Nesse sentido, quanto mais baixa a correlação entre os ativos, maior o potencial de diversificação.

Outro importante resultado traduz-se no fato de que as combinações de ativos que produzem retornos inferiores ao da carteira de menor risco (M) representam escolhas não-racionais para o investidor. Nesse caso, é sempre possível obter retornos superiores para um dado nível de risco.

Finalmente, o risco derivado da combinação linear de ativos será igual (caso 1 – Correlação Perfeitamente Positiva (p = +1)) ou inferior à combinação linear dos riscos individuais, para um dado nível de retorno.



Copyright © 2006 AIEC.


Tela 11
Módulo 03 -Reengenharia

Fronteira eficiente - Os conceitos explicitados constituem um dos pilares da moderna teoria de portfolios. Até a sua elaboração, era comum a noção de que o nível de risco de uma carteira de investimento em ativos de risco seria minimizado quanto maior o número de títulos integrantes de um portfolio.

Coube a Markowitz (1952) evidenciar as falhas dessa afirmação, mostrando a existência de carteiras eficientes (sem diversificação supérflua). Essas carteiras seriam as preferidas por investidores racionais, em função de possuírem o maior retorno para o seu nível de risco ou, então, o menor nível de risco para uma dada taxa de retorno.

Ele afirmou que era possível identificar estes portfolios eficientes por meio da análise de três informações: da taxa de retorno de cada título integrante do portfolio; das variações destas taxas de retorno (variância ou desvio padrão das taxas de retorno); e das relações entre a taxa de retorno de cada título com a de todos os outros títulos (a covariância entre as taxas de retorno).

Em que, M é a carteira de menor risco ou de variância mínima.



Copyright © 2006 AIEC.


Tela 12
Módulo 03 -Reengenharia

5 - A Escolha do investidor

Uma fronteira eficiente apresenta o maior retorno para um dado nível de risco. Essa curva representa o conjunto de carteiras factíveis para um investidor racional. A escolha de qual carteira será a escolha ótima do investidor deve envolver hipóteses adicionais sobre o comportamento do investidor.

Em primeiro lugar, o investidor deve ser capaz de estabelecer um ranking entre todos os investimentos alternativos com base na relação entre retornos esperados e riscos existentes. Adicionalmente, se os investidores não são capazes de afetar o retorno dos ativos (e estes são perfeitamente divisíveis), então, o sistema de risco-penalidade do investidor pode ser formalizado no conceito de utilidade.

Valores superiores de utilidade estão associados às carteiras mais atrativas em sua relação risco-retorno. Portanto, para um dado de risco, carteiras com retornos esperados superiores produzem níveis superiores de utilidade. Graficamente, podemos representar o trade-off entre risco e retorno por curvas de indiferença.

Nesse contexto, a carteira ótima para o investidor será aquela, sobre a fronteira eficiente, que produz o maior nível de utilidade. Cabe destacar que o trade-off da relação risco-retorno depende de hipóteses adicionais sobre o grau de aversão ao risco desse investidor. De fato, o grau de aversão ao risco terá impacto sobre as escolhas do investidor.

Investidores avessos ao risco “penalizam” a taxa esperada de retorno de ativo de risco. Quanto maior o risco associado, maior a penalização. Em contraste aos investidores avessos ao risco, investidores neutros ao risco consideram apenas valores de retorno esperado. Por fim, amantes do risco “ajustam” o retorno esperado (deslocando-o para cima) para levar em consideração a “diversão” pelo risco.



Copyright © 2006 AIEC.


Tela 13
Módulo 03 -Reengenharia

6 - Fronteira eficiente com um ativo livre de risco

O trabalho de Markowitz estabeleceu a existência de uma fronteira eficiente com base em que, na relação retorno-risco, era factível para qualquer coleção de ativos de risco e investidores racionais deveriam escolher ativos sobre a fronteira no ponto que refletisse as preferências do investidor com base no binômio risco-retorno. A introdução de um ativo sem risco (variância do retorno nula) adicionou uma nova dimensão a esse instrumento analítico, fornecendo aos investidores opções adicionais de investimento.

Com efeito, ao se combinar o ativo livre de risco com qualquer outro ativo (ou carteira), a relação risco-retorno torna-se linear. Essa nova combinação de ativos pode, mediante a correta escolha de ativos de risco, criar uma fronteira eficiente melhor do que a obtida por Markowitz, deslocando a fronteira eficiente.

De fato, qualquer combinação de um portfolio ótimo ao longo da fronteira eficiente produz resultados superiores, em termos do binômio risco-retorno, aos que existiam antes da introdução do ativo sem risco. Uma métrica para avaliar essa relação é a proposta por Sharpe (1964), que analisa o excesso de retorno por unidade de risco.

Entre as carteiras disponíveis, P produz o maior excesso de retorno esperado (sobre a taxa livre de risco) para um dado nível de risco. Note que os pontos sobre a reta definida pela combinação do ativo sem risco com P é a nova fronteira eficiente.

Por convenção, essa reta do gráfico é referida como Linha do Mercado de Capital ou Capital Market Line – CML.



Copyright © 2006 AIEC.


Ativo sem risco – É um ativo que serve de referencial para renda fixa. Foi utilizada a caderneta de poupança, uma vez que possui uniformidade na série.



O ativo livre de risco é um ativo (hipotético) que remunera a taxa livre de risco. Embora na prática não exista a figura de um ativo sem risco, títulos de emissão do Governo são usados como proxies. Em virtude da variância nula, não são correlacionados com os demais ativos da economia.



Excesso de retorno é também denominado de excesso de risco.



Um dado nível de risco – Essa quantidade é conhecida como razão/índice de Sharpe, cuja expressão algébrica é , em que o R é o retorno do ativo, RF é a taxa livre de risco.



Tela 14
Módulo 03 -Reengenharia

Resumo

Os ativos se combinam em uma carteira. Concentramo-nos em determinar a taxa de retorno esperada e a variância da carteira. O retorno esperado é simplesmente a média ponderada dos retornos esperados dos ativos individuais. As ponderações são as proporções dos recursos investidos em cada ativo.

A variância da carteira é determinada com base na variância e covariância dos ativos integrantes dessa carteira.

Os investidores racionais selecionam ativos sobre a fronteira no ponto que reflete as preferências do investidor. Adicionalmente, a introdução de um ativo sem risco permite deslocar a fronteira eficiente.

As preferências do investidor em termos de risco e retorno esperado podem ser expressas por uma função utilidade que cresce segundo maiores retornos esperados e decresce com a maior volatilidade do ativo. Investidores avessos ao risco tendem a aplicar um maior grau de penalização para o risco.



Copyright © 2006 AIEC.


Unidade 3 Módulo 2
Tela 15
Módulo 03 -Reengenharia

1 - Capital Asset Pricing Model (CAPM)


O método de Markowitz apresenta um grande inconveniente: sua complexidade de cálculo. Para se encontrar um portfolio ótimo de n títulos, há a necessidade de que sejam calculadas n (n – 1) duas covariâncias. Assim, se desejarmos montar este portfolio a partir de um conjunto de 100 títulos, por exemplo, há a necessidade de que sejam calculadas 4.950 covariâncias entre suas taxas de retorno! E este número aumenta exponencialmente com o aumento dos títulos passíveis de investimento.

William Sharpe (1964) concebeu um modelo muito mais simples, denominado modelo do índice único, demonstrando que a relação entre o risco e o retorno pode ser explicada por um índice de mercado. Assim, todos os títulos estão correlacionados com este índice de mercado. Esta simplificação elimina a necessidade de se calcular as covariâncias entre todos os títulos.

Esses elementos constituem a pedra de toque do chamado Capital Asset Pricing Model (CAPM). O modelo fornece uma predição da relação esperada entre risco e retorno esperado.

Essa relação atende a duas funções centrais:

  • Primeiro, provê um benchmark de retorno para a análise de investimentos.
  • Segundo, o modelo auxilia a obtenção de uma estimativa do retorno esperado de ativos não negociados no mercado.

Model (CAPM) – O modelo CAPM exprime o risco sistemático de um ativo pelo seu coeficiente Beta, identificado com o parâmetro angular na reta de regressão linear (reta característica).

A equação do modelo CAPM é:


RJ = RF + β ( RM - RF )

Embora o CAPM não seja aderente a testes empíricos, é amplamente utilizado em função dos insights que oferece e em função de sua acurácia para importantes aplicações. Investigaremos a versão básica do CAPM e, posteriormente, relataremos algumas das hipóteses para alcançar maior realismo.



Copyright © 2006 AIEC.


Na regressão linear são identificadas duas novas e importantes medidas financeiras: o coeficiente Beta (parâmetro angular que identifica o risco sistemático do ativo em relação ao mercado) e o coeficiente Alfa (parâmetro linear ou intercepto da reta de regressão). A reta característica corresponde a um gráfico no qual são plotados os retornos de um título e da carteira de mercado por meio de dados históricos, em que se admite que os retornos verificados no passado sejam previsivelmente repetidos no futuro, ou mediante certas estimativas de valores futuros esperados.



Tela 16
Módulo 03 -Reengenharia

2 - Hipóteses

(A) Ações individuais dos investidores não afetam os preços de mercado

Existem vários investidores, cada qual com uma dotação (riqueza) que é pequena se comparada ao total de dotações de todos os investidores. Esses investimentos não são capazes de provocar alterações nos preços dos investimentos (rentabilidades). Neste sentido, os investidores são tomadores de preços (price takers) e não formadores de preços (price makers), isto é, atuam como se os preços dos ativos não fossem afetados por suas próprias negociações.

(B) Investidores selecionam carteiras com base em risco e retorno esperado

Essa hipótese será válida se uma de duas condições prevalecer. A primeira condição é que a distribuição de probabilidade de todos os ativos seja normal. A hipótese de normalidade, por vezes, não representa uma hipótese heróica. Apesar da distribuição do retorno ser truncada para valores inferiores, não há maiores restrições, em termos práticos, se o horizonte de investimento for curto. A segunda condição é que a relação entre a utilidade e o valor da carteira deva ser quadrático. Cabe destacar que a primeira restrição é preferível à segunda.

Investidores estão em acordo sobre o horizonte de investimento e retornos. Por hipótese, os investidores planejam seus investimentos sobre um único período de tempo que é comum para todos os investidores. Adicionalmente, há concordância sobre os retornos esperados e correlação de todos os ativos, bem como para a estrutura de risco de cada ativo. Finalmente, os investimentos estão restritos ao universo de ativos financeiros negociados, tais como ações e títulos.

Não há fricções ou falta de livre mobilidade no Mercado de Capitais. As fricções são definidas como impedimentos ou restrições ao livre fluxo de informações e capital. Neste sentido, não há custos de transação para negociação de ativos. Adicionalmente, não há cobrança de impostos. Finalmente, não há restrições à venda de ativos a descoberto.



Copyright © 2006 AIEC.


Valores inferiores – O menor retorno negativo possível é de – 100%.



Considerando um período curto, por exemplo, um mês, não se observam variações significativas nos retornos superiores a 50%. No entanto, para
períodos mais longos, a distribuição de retornos tende a ser assimétrica à direita.



Primeira restrição preferível à segunda - Uma função utilidade na forma quadrática atinge um máximo para algum nível de renda. Isso implica algum sentido de saturação. Embora possa ser defensável, existe o conceito de saciedade para algum bem específico (bananas, pêras etc.), a saciedade da moeda é algo mais complicado. Adicionalmente, uma função utilidade quadrática implica que a propensão ao risco decresce com a renda.



Não há investimento em ativos não-negociáveis no mercado financeiro, tais como: capital humano, empresas etc.



Tela 17
Módulo 03 -Reengenharia

Linha do Mercado de Capitais (Capital Market Line-CML) - Por hipótese, assume-se a existência de um título sem risco, com vencimento coincidente com o horizonte de planejamento do investidor, o qual remunera o investidor a taxa RF . Adicionalmente, assume-se que os investidores podem negociar o ativo livre de risco sem restrições ou com livre mobilidade.

Se o ativo livre de risco existe, então, há todos os agentes que investem na mesma carteira. Essa carteira está sob a fronteira eficiente e apresenta a maior razão de Sharpe.

A reta definida pelo ativo sem risco e pelo portfolio tangente P é a capital market line. Todos os investidores têm carteira de mercado e mantêm as carteiras sob essa reta, assim como mantêm diferentes proporções de P (em função do grau de aversão ao risco individual). A seguir, definiremos uma representação formal para a CML.



Copyright © 2006 AIEC.


Tela 18
Módulo 03 -Reengenharia

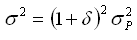
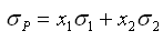
Considere um investidor representativo que tenha investido todas as suas dotações na carteira de mercado. Suponha, adicionalmente, que esse investidor resolva aumentar marginalmente a sua participação na carteira de mercado por um montante igual a , financiado por um empréstimo a taxa livre de risco.


Note que essa nova carteira pode ser representada como uma combinação de três ativos: a carteira (original) de mercado, com retorno , acrescido de uma posição (vendida) de tamanho no ativo livre de risco, com retorno e uma posição (comprada) da carteira de mercado, com retorno Essa nova carteira apresenta uma taxa de retorno dada por

Comparando com a carteira original, a taxa de retorno incremental ou o acréscimo médio do excesso de retorno será:

Em que E(RP) é o retorno esperado.

Logo, o resultado da equação será sensível ao tamanho δ do ativo livre de risco e quanto mais próximo ou distante for o retorno esperado [E(RP)] do efetivo retorno RF .

Então, temos quatro situações possíveis:
• se δ for grande e o excesso da diferença também, o resultado da equação também será grande;
• se δ for pequeno e o excesso da diferença também, o resultado da equação também será pequeno;

• se δ for grande e o excesso da diferença for pequeno ou negativo, o resultado da equação tende a seguir o tamanho do ativo livre de risco; e,
• se δ for pequeno e o excesso da diferença for grande, o resultado da equação acompanhará o excesso da diferença, seja positivo, como negativo.



Copyright © 2006 AIEC.


Tela 19
Módulo 03 -Reengenharia

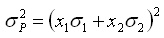
Para medir o impacto da mudança no risco da carteira, calcula-se a variância da nova carteira, cuja variância ajustada é:

Observe que se δ = 0, então, a variação incremental é dada por:

Dividindo-se a equação (E) pela (F), obtém-se:

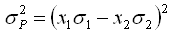
Suponha, agora, que o investidor, ao invés de investir marginalmente na carteira de mercado, invista marginalmente no ativo i financiado por um empréstimo à taxa livre de risco. A nova carteira, composta pela carteira do mercado, tem o ativo i (na proporção δ ) e o ativo livre de risco (na proporção -δ). Então o acréscimo médio do excesso de retorno é:

E o acréscimo de sua variância é dado por:

Desprezando o termo δ2 (pois δ = 0) e dividindo a equação (H) pela equação (I):

Em equilíbrio, o excesso de retorno do ativo i deve igualar o excesso de retorno do mercado. Em caso contrário, os investidores podem alterar a participação na carteira para incorporar o ativo que produza um excesso de retorno ajustado pelo risco. Essa pressão sobre os ativos fora do equilíbrio conduz a alteração de seus respectivos preços e, conseqüentemente, sobre a taxa de retorno. O processo continua até que o excesso de retorno marginal se iguale ao do mercado.
Nesse contexto, igualando as equações (G) e (J)

Rearranjando a expressão acima, obtemos:

Essa relação entre retorno esperado e o Beta é a formalização da linha de mercado de capitais, ou capital market line – CML e consiste, também, na mais familiar expressão entre os praticantes do CAPM.



Copyright © 2006 AIEC.


Tela 20
Módulo 03 -Reengenharia

Linha de Mercado de Títulos ou Securities Market Line – SML - sabe-se que o Beta é a medida apropriada para o cálculo do risco de um ativo. Entretanto, se o Beta é a medida apropriada para o cálculo do risco de um ativo, qual a relação existente entre o risco de mercado e o retorno esperado? A partir da linha de mercado de títulos ou Securities Market Line – SML é possível construir uma relação que relacione o Beta ao retorno esperado pelo ativo.

De fato, a relação Beta-retorno esperado, formalizada na linha de mercado de capitais ou capital market line – CML, pode ser vista como uma relação entre risco e remuneração. O Beta de um ativo é a medida apropriada de seu risco porque mede a contribuição do ativo sobre a variância da carteira de mercado. Portanto, para qualquer ativo, o prêmio de risco é diretamente proporcional ao próprio Beta. Essa reta, denominada capital market line, descreve todas as carteiras eficientes e relaciona o retorno de uma carteira eficiente a preço do dinheiro no tempo (RF ) acrescido do prêmio de risco. O prêmio de risco, por sua vez, pode ser decomposto em 2 componentes:

(a) uma medida de risco de um ativo (E(RP) - RF), e
(b) o prêmio de risco do mercado (βi)


Note que a equação da CML confirma essa intuição ao formalizar o prêmio de risco do ativo como uma função do prêmio de risco da carteira do mercado e do próprio Beta, ou seja:

Essa relação entre o retorno esperado e o Beta pode ser representada graficamente como a Linha de Mercado de Títulos. É importante que seja comparada a Linha do Mercado de Títulos ou securities market line – SML com a Linha do Mercado de Capitais ou capital market line – CML.

A CML plota o prêmio de risco de carteiras eficientes (combinações lineares de ativos livres de risco e a carteira de mercado) como função do desvio-padrão da carteira.

A SML, por sua vez, plota o prêmio de risco de ativos individuais (e não apenas carteiras eficientes) como uma função do risco do próprio ativo. Note que a medida relevante de risco para um ativo individual mantido em carteira não é o desvio-padrão ou a variância, mas sim a contribuição dos ativos para a variância da carteira. Por definição, a contribuição dos ativos para a variância da carteira é o próprio Beta.

Ressalte-se, ainda, que, dado certo risco associado a um investimento, expresso pelo seu Beta, a SML provê uma taxa de retorno requerida para compensar o investidor pelo risco. A SML, portanto, provê um benchmark para a análise da performance de certo investimento. De fato, se um ativo está abaixo de seu preço esperado, o retorno esperado em excesso estará acima da SML. Nesse contexto, surge uma oportunidade de arbitragem, que é uma propriedade que se apresenta para o investidor quando existem ativos homogêneos com preços diferenciados em diferentes e próximos mercados onde o custo de transportes é desprezível.



Copyright © 2006 AIEC.


SML – A diferença entre o preço esperado e o observado é denominada alfa do ativo, em referência à medida proposta por Jensen.



Tela 21
Módulo 03 -Reengenharia

3 - Medindo o risco de um ativo Individual em relação ao mercado: a covariância e o Beta


O CAPM baseia-se na hipótese que cada ativo se correlaciona com um único fator: o mercado. Nesse contexto, é possível escrever a covariância entre dois ativos quaisquer como:


Note que a covariância pode ser expressa como o produto de três termos. O último é a variância (δ2P) da taxa de retorno da carteira de mercado. Esse termo evidencia a magnitude dos deslocamentos do mercado. Os outros dois termos ( BJ e BK) mostram a extensão por onde esses ativos respondem a variações do mercado.

É possível reescrever a equação (A) como:

Por definição, β = 1. Logo,

Assim, dada uma carteira C, composta por M ativos, é possível mostrar que:

Dividindo-se ambos os lados da equação (B) por δ2p , obtém-se o Beta ( βC ):

O Beta ( βC ) é uma medida de correlação entre um ativo financeiro ou um portfolio e o mercado como um todo; é o nome dado ao coeficiente que mede a sensibilidade das taxas de retorno de um portfolio ou de um ativo financeiro, em relação aos movimentos do mercado; é chamado de índice de risco sistemático, ou seja, o risco sistemático do título expresso em unidades do risco de mercado.

Para qualquer carteira, o Beta ( βC ) da carteira será uma média ponderada dos Betas dos ativos individuais que a compõem.

Outra importante conclusão que pode ser extraída da equação (B) diz respeito à contribuição da variância de um ativo individual para a variância do mercado. De fato, a equação (B) é válida para qualquer carteira, inclusive a carteira de mercado (P).

A equação acima mostra que a contribuição de um ativo individual para a variância da carteira de mercado é medida pela covariância do ativo e o mercado. Ressalte-se, ainda, que o fator Beta é igual à razão da covariância entre o ativo e o mercado pela variância do mercado.

Portanto, é sempre possível medir o risco de um ativo de dois modos alternativos:

a. por sua covariância com o mercado, ou
b. pelo Beta. Em função de seu apelo intuitivo e simplicidade, o Beta surge como uma medida mais utilizada.



Copyright © 2006 AIEC.


Definição βp = 1 – Porque corresponde ao total do mercado, que é de 100% ou 1.



Tela 22
Módulo 03 -Reengenharia

4 - Retorno exigido e o alfa de Jensen

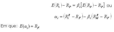
Essencialmente, a taxa de retorno exigida nas decisões do investimento é formada com base na remuneração de um ativo livre de risco mais um prêmio pelo risco identificado na decisão em avaliação, ou seja:
( RJ ) Retorno exigido = ( RF ) taxa de juro livre de risco + prêmio de risco. Ao se admitir o prêmio pelo risco de mercado ( RM – RF) como adequado à decisão de investimento, a formulação do retorno requerido passa a ser expressa da seguinte forma:


(RJ) retorno exigido = RF + (RM – RF )

Como a medida que relaciona o risco de um ativo com o do mercado é o coeficiente Beta, a expressão da taxa de retorno requerida por um investimento em condições de risco é a seguinte:

RJ = RF + (RM - RF), que é a expressão do CAPM, e equivalente à reta de regressão linear.

Índice de Jensen - O Alfa de Jensen nada mais é do que o coeficiente linear da reta característica ou o intercepto a da equação de regressão linear:


RJ = a + bRM

Se:

• a = 0 Equilíbrio. O desempenho do ativo foi idêntico às expectativas esperadas;

• a >0 O desempenho do ativo teve retorno acima do retorno esperado;

• a <0 O desempenho do ativo teve retorno abaixo do retorno esperado.

O índice de Jensen também pode ser calculado pela seguinte equação:

Sob a hipótese de um mercado eficiente, o alfa de Jensen efetua uma comparação entre os retornos apresentados por uma ação e os retornos esperados pelo modelo do CAPM. Indica se o gestor teve habilidade para auferir retornos além do que mereceria pelo risco de mercado que está correndo.



Copyright © 2006 AIEC.


Tela 23
Módulo 03 -Reengenharia

5 - Medindo a performance de uma carteira

Ao longo de um período de tempo é necessário obter alguma medida da performance desse investimento. Esse processo, contudo, guarda algumas complicações. Retornos devem ser ajustados pelo risco antes de serem comparados. O modo mais simples de realizar essa análise é comparar taxas de retornos de investimentos com características de risco similares.

Essa comparação é útil como uma primeira abordagem de avaliação da performance. Contudo, tais rankings podem levar a conclusões errôneas. Por exemplo, dentro de um particular conjunto, alguns gestores podem estar concentrados em subgrupos particulares tais que as características das carteiras não sejam comparáveis.


Métodos de análise de desempenho
baseados no ajuste de risco usando o critério média–variância foram propostos simultaneamente com o CAPM. Os autores Sharpe, Treynor e Jensen reconheceram essas implicações do CAPM para classificar a performance dos gestores. Cada medida tem certo apelo, mas não necessariamente consistente, dado que as medidas de risco usadas para ajustar o retorno diferem significativamente.

Índice de Sharpe - Formulado por William Sharpe (1966), o Índice de Sharpe (IS) se encaixa na teoria de seleção de carteira, mais especificamente no modelo CAPM, apontando pontos na reta do mercado de capitais, ou capital market line que correspondem a carteiras ótimas. O índice de Sharpe (IS) é definido pela relação entre o prêmio pago pelo risco assumido e o risco do investimento, ou seja:

Em que:

RM é o retorno de uma carteira constituída por ativos com risco; RM é o desvio-padrão (risco) dessa carteira; e RF é a taxa de juros de ativos livres de risco.


O IS é a medida de avaliação da relação risco x retorno de larga aplicação pelos analistas de investimentos.



Copyright © 2006 AIEC.


Tela 24
Módulo 03 -Reengenharia

No caso particular da carteira de mercado, o índice de Sharpe é idêntico à inclinação da reta do mercado de capitais ou capital market line. Nesse sentido, a carteira de mercado apresenta o maior índice de Sharpe, pois tangencia a fronteira eficiente.

O índice mostra o trade-off existente entre retorno e risco de uma dada carteira P. Em linhas gerais, mostra o quanto se obtém de prêmio de risco por unidade de risco total. Pode-se tratar o índice de Sharpe como um instrumento de avaliação de uma estratégia de arbitragem entre algum benchmark e o portfolio avaliado.

É importante destacar também que o Índice de Treynor ( ITC ) é uma das medidas de desempenho financeiro mais conhecidas e utilizadas. Pode ser expresso pela razão entre o prêmio médio de retorno de um investimento (REC) em relação a uma taxa livre de risco (RF) e o seu Beta ( β C), que representa o seu risco sistemático.


No caso particular da carteira de mercado, dado que βP =1, o índice de Sharpe é idêntico ao retorno em excesso do mercado. O índice mostra o trade-off existente entre retorno e risco de uma dada carteira C. Em linhas gerais, mostra o quanto se obtém de prêmio de risco por unidade de risco sistêmico.

A Performance dos testes envolvendo o CAPM - A única predição do CAPM é que a carteira de mercado está posicionada sobre a fronteira eficiente. Diversas condições seguem automaticamente: (a) linearidade da relação risco-retorno e (b) inclinação positiva da reta entre Betas e a taxa de retorno esperado. Infelizmente, a inclinação positiva é uma condição necessária, mas não suficiente para se obter a eficiência da carteira de mercado.

De fato, para testar o CAPM, deve-se testar diretamente se a carteira de mercado está sob o conjunto eficiente. Novamente, os testes empíricos não são conclusivos. O problema inerente ao CAPM é que a carteira de mercado deve conter cada ativo do sistema econômico. A carteira de mercado observável representa apenas uma pequena fração da verdadeira carteira de mercado.


O CAPM deriva-se logicamente de suas hipóteses e suas conclusões têm um inegável apelo intuitivo, contudo, não é diretamente testável. Neste estudo, nos referiremos a um modelo alternativo, passível de ser refutado ou não.



Copyright © 2006 AIEC.


Tela 25
Módulo 03 -Reengenharia

6 - Modelos de precificação multifatorial ou arbitrage pricing model – APM


O problema fundamental associado ao CAPM é que não se pode sustentar ou refutar o modelo com base em testes empíricos. Este problema fundamental estimulou a pesquisa em modelos de precificação alternativos, tais como os Modelos de Precificação Multifatorial ou arbitrage pricing model (APM).

Defensores do APM argumentam que esse modelo tem pelo menos duas vantagens principais sobre o CAPM. Primeiro, formula hipóteses sobre as preferências de risco e retorno dos investidores menos restritivos. Segundo, o modelo pode ser refutado empiricamente.

a) Derivando o Arbitrage Pricing Model – APM

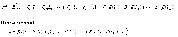
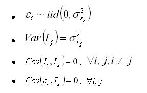
No APM a hipótese que os investidores utilizam o binômio retorno-risco é substituída por uma hipótese sobre o processo gerador de retornos. De fato, o APM requer que os retornos de qualquer ativo sejam relacionados linearmente com um conjunto de índices na fórmula:



Em que:

Ii : valor do j-ésimo índice que impacta sobre o retorno do ativo i;

βi,j : sensibilidade de i às mudanças no retorno provocadas pelo
j-ésimo índice;

Ai : valor esperado do retorno do ativo i se todos os índices são nulos; e,

εi : termo de erro aleatório.



Copyright © 2006 AIEC.


Tela 26
Módulo 03 -Reengenharia

Para uma completa descrição do modelo, são necessárias hipóteses adicionais sobre o processo gerador de retornos. Por hipótese:

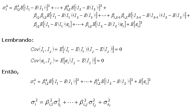
A hipótese de que os termos de erro se distribuam de modo independente e identicamente distribuídos com média 0 e variância implica, subsidiariamente, que
Isso implica, também, que a única razão para que os ativos apresentem deslocamentos conjuntos é em função dos fatores especificados.

A partir dessas hipóteses, é possível derivar o retorno esperado, a variância e covariância do retorno em um modelo APM:



Copyright © 2006 AIEC.


Covariância do retorno – No anexo deriva-se a estrutura do retorno esperado, variância e covariância do modelo.



Tela 27
Módulo 03 -Reengenharia
  • Retorno Esperado

O valor esperado de um ativo no modelo APM é:



Dado que o valor esperado de uma soma pode ser decomposto na soma dos valores esperados, temos:

  • Variância do Retorno

A variância do retorno de um ativo é dada por:


Substituindo a expressão de Ri e E( Ri ), temos:


Elevando ao quadrado e reescrevendo a esperança da soma como as somas das variâncias têm-se:



Copyright © 2006 AIEC.


Tela 28
Módulo 03 -Reengenharia
  • Covariância do Retorno

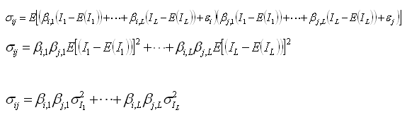
A covariância entre o ativo i e j é:



Substituindo as expressões de Ri, RJ, E(Ri) e E(Rj) temos:

A partir das equações de retorno esperado, variância do retorno e covariância, fica claro que o retorno esperado e o risco podem ser estimados para quaisquer ativos se tivermos estimativas dos Ai de cada ativo e estimativas dos Bi,k para cada ativo e índice, uma estimativa de δεi2 para cada ativo e, finalmente, uma estimativa da média e variância de cada índice.

Dados L fatores e N ativos, seria necessário obter 2( L+N )+LN estimativas. Indubitavelmente, esses modelos requerem um volume maior de informações para explicar o comportamento dos ativos do que o CAPM. Não obstante, usam menos informações que a metodologia proposta por Markowitz.

Ressalte-se, ainda, que os modelos APM não fornecem uma determinação clara quanto ao prêmio de risco da carteira dos fatores. Em contraste, o CAPM implica que o prêmio de risco do mercado seja determinado pela variância do mercado e o grau de aversão ao risco médio entre os investidores. Há, contudo, certos tipos de modelos APM que têm recebido maior atenção por parte dos pesquisadores. Essa classe de modelos restringe sua atenção a influências do mercado e da indústria. Examinaremos um desses modelos na próxima seção.



Copyright © 2006 AIEC.


Tela 29
Módulo 03 -Reengenharia

b) Modelos de Índice da Indústria

Diversos autores lidam com modelos que restringem seus fatores a influências da indústria e do mercado. Suponha, por exemplo, que a taxa de retorno de um ativo, em qualquer período seja expressa como:

Em que βM,i é a resposta do ativo i a flutuações no retorno do mercado. O termo gt é o crescimento inesperado da indústria e βg,i a resposta do ativo a mudanças imprevistas do crescimento industrial.

Tal como no CAPM, os betas são estimados relacionando o retorno do ativo ao retorno do mercado e ao crescimento inesperado da produção industrial. Note que, para obter uma série do crescimento imprevisto é necessário contrapor o crescimento observado contra o crescimento predito.



Copyright © 2006 AIEC.


Tela 30
Módulo 03 -Reengenharia

Resumo

Discutimos o modelo de precificação de ativos ou capital asset pricing model – CAPM. Esse modelo, que representa uma relação de equilíbrio geral no mercado de capitais, é uma contribuição para a compreensão sobre o modo como os mercados de capitais funcionam.

Sob as hipóteses do CAPM, a única carteira de risco mantida pelos investidores é a carteira de mercado. Cada investidor irá ajustar o risco da carteira de mercado a sua própria combinação ótima de risco-retorno ao combinar a carteira de mercado com a tomada/cessão de empréstimos a taxa livre de risco. Portanto, todos os investidores mantêm carteiras sob a reta que une a rentabilidade do ativo livre de risco à rentabilidade da carteira de mercado no espaço risco-retorno.

A reta, denominada capital market line, descreve todas as carteiras eficientes e relaciona o retorno de uma carteira eficiente a preço do dinheiro no tempo (RF) acrescido do prêmio de risco. O prêmio de risco, por sua vez, pode ser decomposto em 2 componentes:

(a) o prêmio de risco do mercado ( E ( RP ) - RF), e

(b) uma medida de risco de um ativo ( βi ).

A reta de mercado de títulos ou security market line, construída no espaço retorno esperado-Beta, é uma relação linear e positivamente inclinada, não importando se os investidores podem tomar/emprestar a taxa livre de risco.

Apesar de intuitivo, não se pode sustentar ou refutar o CAPM com base em testes empíricos. De fato, para testar o CAPM, deve-se testar diretamente se a carteira de mercado está sob o conjunto eficiente. O problema é que a carteira de mercado deve conter cada ativo do sistema econômico e a carteira de mercado observável representa apenas uma pequena fração da verdadeira carteira de mercado.

Os modelos APM, que capturam alguma intuição do CAPM foram propostos como uma alternativa falseável (comumente, os modelos assumem que apenas o risco não diversificável afeta o retorno dos ativos). O APM assume que os retornos dos ativos são gerados por um processo gerador. Esse processo gerador assume uma estrutura linear e, em presença de tal processo, o retorno esperado e os fatores de risco são aproximadamente lineares.

Por fim, quando se os consideram ao longo de um período de tempo, é necessário obter alguma medida de desempenho desse investimento. Métodos de análise de desempenho baseados no CAPM foram propostos simultaneamente por Sharpe, Treynor e Jensen. Cada medida tem certo apelo, mas não necessariamente consistente, dado que as medidas de risco usadas para ajustar o retorno diferem significativamente.



Copyright © 2006 AIEC.


Unidade 3 Módulo 3
Tela 31
Módulo 03 -Reengenharia

1 - Índice de Modigliani

Na gestão de riscos é importante avaliar as carteiras de investimento e para tal são utilizados alguns índices e indicadores.


O índice de Modigliani é conhecido como indicador de eficiência de investimentos, o qual considera também a relação entre o retorno e o risco do investimento.

A característica principal do índice de Modigliani é a comparação do desempenho do portfolio que se está avaliando com os resultados apresentados pela carteira de mercado.

A formulação do índice de Modigliani (Im) apresenta-se como:


Im = [(desvio padrão de RM/desvio padrão de Rj) x (Rj – Rf)] – (Rm – Rf)

Em que:

O desvio-padrão de RM é o risco da carteira de mercado;
O desvio-padrão de Rj é o risco do investimento em avaliação;
Rj = rentabilidade do investimento;
Rf = taxa de retorno de um ativo livre de risco;
Rm = rentabilidade do mercado.

A primeira parte da equação de Modigliani que é dada por [(desvio padrão de RM/desvio padrão de Rj) x (Rj– Rf)] revela qual deverá ser o desempenho da carteira de investimento para que ela apresente o mesmo risco da carteira de mercado. Subtraindo deste resultado o prêmio pelo risco de mercado (Rm – Rf), chega-se ao índice de Modigliani.

Vejamos um exemplo:

Admita dois fundos de investimento A e B com os seguintes indicadores para um determinado período:

Indicadores
Fundo de investimento A
Fundo de investimento B
Desvio-padrão de RM
24,9%
24,9%
Desvio-padrão de Rj
13,7%
26,2%
Rj
11,2%
15,8%
Rf
8,0%
8,0%
RM
12,0%
12,0%

Substituindo-se na formulação de Modigliani, tem-se:


Im para o fundo de investimento A = [(24,9%/13,7%) x (11,2% – 8,0%) ] – (12,0% - 8,0%) = 5,816% – 4,0% = 1,816%.

Im para o fundo de investimento B = [(24,9%/26,2%) x (15,8% - 8,0%) ] – (12,0% - 8,0%) = 7,413% – 4,0% =3,413%.

Pelo Índice de Modigliani, o fundo B apresenta-se mais eficiente para o investidor, sob o ponto de vista da relação risco e retorno. Admitindo o mesmo risco do mercado, B oferece uma rentabilidade adicional de 3,413% e A de somente 1,816% em relação ao mercado.



Copyright © 2006 AIEC.


Tela 32
Módulo 03 -Reengenharia

2 - Índice de Sharpe

É uma medida de avaliação da relação risco x retorno de larga aplicação pelos analistas de investimento.

O índice de Sharpe é representado pela relação entre o prêmio pago pelo risco assumido e o risco do investimento, ou seja:


IS = [E(RM) – Rf] / desvio-padrão de RM

Em que:

RM é o retorno de uma carteira constituída por ativos com risco;
Desvio-padrão de RM é o risco dessa carteira; e,
Rf é a taxa de juros de ativos livres de risco.

O índice revela o prêmio oferecido por um ativo para cada percentual adicional de risco assumido.

Por exemplo, se o índice de Sharpe for de 0,60%, tem-se o desempenho apresentado pelo ativo (prêmio pelo risco) para cada 1% de aumento de seu risco.



Copyright © 2006 AIEC.


Tela 33
Módulo 03 -Reengenharia

Aplicação do Índice de Sharpe - Admita uma carteira de um ativo sem risco, com retorno esperado de 6% e um ativo com risco, que apresenta um retorno esperado de 13%, e desvio-padrão de 10%.

[E(Rp)] = [(14% x 0,7) + (6% x 0,3)] =

9,8%+1,8%=11,6%

O desempenho da carteira é mensurado pelo retorno de cada ativo ponderado por sua respectiva participação percentual. Os dados do exemplo determinam um retorno esperado de 11,6% para a carteira.

O risco da carteira, conforme Markowitz (visto anteriormente), é dado pela seguinte expressão:


Desvio padrão de P = [(W2F x vari�ncia de F) + ( W2R x variância de R) + (2 x WF x WR x coefic correlação entre RF e RR x desvio padrão de RF x desvio padrão de RR)]0,5

Em que:

WF e WR são participações dos ativos sem risco e com risco na carteira, respectivamente;

RF e RR são retornos esperados dos ativos sem risco e com risco, respectivamente.

Como RF representa o retorno de um ativo livre de risco, seu desvio padrão é nulo. Logo, o risco da carteira reduz-se para:


Desvio padrão de P = [(W2R x variância de R)]0,5

Substituindo-se os valores da carteira de ativos na expressão:


Desvio padrão de P = [0,72 x 0,102]0,5 = 7,0%

Então, o Índice de Sharpe (IS) é:

IS = [E(RM) – Rf] / desvio-padrão de RM

IS = (11,6% - 6%)/7% = 0,80

O resultado indica que o ativo com risco apura 0,8% de prêmio de risco para cada 1% de risco adicional incorrido no período. Em essência, o índice de Sharpe reflete a relação direta entre o retorno (prêmio pelo risco) e o risco de um investimento.



Copyright © 2006 AIEC.


Tela 34
Módulo 03 -Reengenharia

3 - Índice de Treynor

O índice de Treynor relaciona o prêmio pelo risco pago por uma carteira, medido pelo retorno [E (R)] em excesso ao de um título livre de risco (Rf), com o coeficiente beta da carteira, expressão de seu risco sistemático.


IT = [E(Rp) – Rf]/Beta

Quanto mais elevado apresentar-se o índice de Treynor, mais alto é o retorno da carteira por unidade de risco assumido, indicando um melhor desempenho do investimento.

Podem ser encontrados resultados diferentes no desempenho de uma carteira quando avaliado pelo Índice de Sharpe e pelo Índice de Treynor. O comportamento conflitante pode ser explicado, em sua maior parte, pela estrutura do risco da carteira. O índice de Treynor relaciona o prêmio unicamente com a medida de risco sistemático (coeficiente Beta), enquanto o Índice de Sharpe adota o desvio-padrão (risco total: sistemático e diversificável) como medida de risco.

Held-to-maturity e yield curve - Todo preço de título de renda fixa futuro (PTf) ou no resgate é dado pelo preço de título de renda fixa no presente (PTo) corrigido pela taxa de juros (r).


PTf = PTo x (1+r)

Também, podemos ter a seguinte relação:


PTf/PTo = (1+r)

Quando existe uma elevação na taxa de juros de mercado há uma elevação no PTf. Assim, caso haja negociação no mercado desse título de renda fixa e exista um valor de resgate previamente definido, há, portanto, uma redução do PTo. Ou seja, existe uma relação inversa entre a rentabilidade e o preço do título de renda fixa no presente (PTo).

O conceito de held-to-maturity ou valor nominal é dado quando o rendimento de um título de renda fixa prefixada ou pós-fixada tem o seu cálculo pelo rendimento histórico, sem considerar, portanto, o seu valor de mercado. É o caso, portanto, da equação acima PTf.

A formação do preço dos títulos no mercado encontra-se relacionada com o comportamento da taxa de juros. Como o preço de mercado é obtido descontando-se os fluxos de rendimentos pela taxa de juros requerida, o título desvaloriza-se conforme os juros sobem, e apresenta valorização quando as taxas declinam.



Copyright © 2006 AIEC.


Renda fixa prefixada – O título pré-fixado é aquele em que o investidor sabe o seu rendimento a priori ou ex-ante. E o título pós-fixado é aquele em que o investidor sabe a taxa de juros, mas não sabe o indexador ou o índice que corrige a aplicação, ou seja, o seu rendimento é conhecido a posteriori ou ex-post.



Tela 35
Módulo 03 -Reengenharia

O valor presente não é uma função linear da taxa de desconto dos resultados de caixa do título, e sim uma função convexa (forma de hipérbole) desta taxa. Conforme a taxa de desconto se eleve, o preço do título irá reduzindo, porém a taxas decrescentes. Quanto maior a maturidade do título, mais significativa se apresenta esta variação em seu valor, ou seja, maior a volatilidade de seu preço.

Por exemplo, admita que um título com valor nominal de R$ 1.000,00 e que paga cupom anual de 8%. A volatilidade do título é apresentada a seguir, de acordo com a maturidade de 4 e 8 anos:

Taxa de desconto (% ao ano)
PTo para 4 anos (R$)
Variação para 4 anos (%)
PTo para 8 anos (R$)
Variação para 8 anos (%)
4,0
1.145,20
-
1.269,30
-
6,0
1.069,30
– 6,63
1.124,20
– 11,43
8,0
1.000,00
– 6,48
1.000,00
– 11,05
10,0
936,60
– 6,34
893,30
– 10,67
12,0
878,50
– 6,20
801,30
– 10,30

Para qualquer maturidade, a desvalorização do preço do título, ao se incrementar a taxa de desconto, ocorre de forma decrescente. Por outro lado, quanto maior a maturidade, maior também a variação verificada.

Logo, o risco é uma função crescente do prazo do título, indicando que, quanto maior for o tempo de vencimento, mais alto é o risco apresentado.

Um ativo em que não se espera perda e que apresenta um prazo muito curto é considerado como livre de risco (risk free). Se a maturidade do título for se incrementando, irá se tornando mais arriscado, demandando o pagamento de um prêmio pelo prazo mais longo.



Copyright © 2006 AIEC.


Volatilidade – A volatilidade de um título de renda fixa é entendida como as mudanças ocorridas nos preços do título em razão de modificações verificadas nas taxas de juros do mercado. Quanto maior a volatilidade de um título, mais elevada apresenta-se as mudanças em seus preços diante de alterações nas taxas de juros.



Tela 36
Módulo 03 -Reengenharia

4 - Marcação a mercado (Mark-to-market – MtM)


A marcação a mercado é um instrumento para gerenciar o risco de mercado, e ajuda a mitigar os prejuízos dos depositantes e dos detentores de passivos quando os bancos “quebram”.

A marcação a mercado consiste, portanto, em atualizar os ativos financeiros em poder dos bancos. Se um banco declara que em seus passivos existem inúmeros ativos financeiros que são contabilizados com registros de custos históricos ou nominais ou originais, pouco importa ao mercado esses valores, pois se tivessem que ser vendidos para serem apurados recursos financeiros poderiam valer mais ou menos. Por exemplo, as ações, como são valores mobiliários variáveis, estão sujeitos a ter valores acima ou abaixo do seu valor nominal.

Vejamos os exemplos de marcações a mercado 1 e 2.

O mercado a termo é um importante exemplo para se obter o valor esperado dos ativos em diferentes momentos do futuro. Em sua forma mais primitiva, um mercado a termo pode conter alguns preços para algumas datas futuras, quando o mercado a termo se aperfeiçoa e se torna mais líquido, é possível traçar uma curva futura, em que os valores esperados podem ser projetados para, virtualmente, todas as datas entre hoje e alguns anos no futuro. Esse conhecimento das melhores “adivinhações” das variações futuras bem como a capacidade de fazer transações agora, para o futuro, permitem aos participantes injetarem maior precisão em seu planejamento e, ao fazerem isso, diminuírem os efeitos negativos de não saber o que acontecerá no futuro.



Copyright © 2006 AIEC.


Os exemplos de marcações a mercado 1 – Para o caso dos títulos públicos e privados deve-se utilizar o valor dos P.U. (preços unitários), que são negociados no mercado financeiro. Para o caso das ações, utiliza-se o próprio valor que é divulgado no dia pelas bolsas de valores. Enfim, quando não se tem a divulgação dos preços, procura-se utilizar uma taxa de desconto que, em geral, é a taxa referencial do ativo financeiro.



Os exemplos de marcações a mercado 2 – Sabe-se que manter os mercados abertos todo o tempo lida com apenas um aspecto do dinamismo de preços: o valor atual. Em muitos mercados, é útil, até mesmo necessário, suplementar os preços atuais do mercado à vista com um mecanismo que permita aos participantes antecipar o futuro, de forma que antecipando o futuro possam, com isso, neutralizar a incerteza do mesmo.



Tela 37
Módulo 03 -Reengenharia

Mas os preços futuros sozinhos não são suficientes. Qualquer preço futuro representa, de alguma forma, a estimativa “média” do valor futuro do ativo; poderia haver um grande número de visões equivocadas que compõe essa média. Essa dispersão das visões individuais reflete a incerteza sobre eventos prováveis que poderiam afetar o valor futuro desses ativos.

Técnicas que foram desenvolvidas para medir a incerteza de preço incluem médias móveis, faixas de valores negociados e volatilidades históricas, mas todas sofrem da desvantagem de olhar para trás, para os preços históricos. Apesar de ser verdade que o passado influi no futuro, dados históricos nunca conseguem predizer adequadamente o futuro. Dessa forma, são criadas as condições para surgirem opções. Uma forma de atuar sobre a incerteza do futuro, por uma economia ou mercado, é criar um mercado de opções para suplementar um mercado a termo.


A marcação a mercado é um processo pelo qual ativos reais ou instrumentos financeiros são considerados por seu preço de mercado. No contexto do mercado futuro, esse conceito se “materializa” no chamado ajuste diário – o recebimento e pagamento diário dos ganhos e perdas num contrato futuro. Esse processo é uma das principais características das operações no mercado futuro, distinguindo-o do mercado a termo (forward market). Exemplo 1 e 2.



Copyright © 2006 AIEC.


Exemplo nº. 01
Comprei um título público por R$ 800 em 1º de dezembro de 2006 com resgate de R$ 1.000 em 1º de março de 2007. Em 1º de janeiro de 2007, esse mesmo título vale R$ 801, também com resgate de R$ 1.000 em 1º de março de 2007. Como se pode depreender, o valor de resgate continua o mesmo, mas no mercado esse título “marcado a mercado”, dado o desconto da taxa de juros no futuro para o valor presente, “vale” quase o mesmo valor de dezembro, pois a rentabilidade original dele é maior do que a rentabilidade dos títulos que são vendidos hoje, dados à queda da taxa de juros da economia (taxa Selic).



Exemplo nº. 02
Se um agente compra um contrato futuro no dia 0 por R$ 34,50. No final desse mesmo dia 0, o preço de ajuste é de R$ 34,58. O ajuste diário é então de R$0,08 (=R$ 34,58 – R$ 34,50); como o preço do ajuste foi superior ao preço futuro inicialmente contratado, o comprado (long) recebe, e o vendido (short) paga, esse valor de R$ 0,08.



Tela 38
Módulo 03 -Reengenharia

Comparação de uma carteira com MtM e sem MtM - O Acordo de Basiléia exige que os órgãos reguladores e supervisores dos países tomem medidas com vistas a exigir que sejam minimizados os riscos de mercado por meio da marcação a mercado ou MtM de todos os ativos financeiros.

A exigência de requerimentos de capital está relacionada para aqueles bancos que não façam marcação a mercado dos títulos públicos e privados que estão em suas carteiras ou portfolios. Existem medidas reguladoras que exigem o aumento do capital regulamentar para aqueles bancos que não fazem marcação a mercado com rigor em seus ativos financeiros.

Entretanto, existem algumas regulamentações que permitem que os bancos e administradores de recursos de terceiros possam utilizar, para os ativos financeiros que compõem as carteiras de investimento, o critério de registro contábil held-to-maturity (custo histórico ou nominal) em vez da yield curve (preços de mercado). Dependerá se vai ficar com as aplicações até o resgate final ou não, para que tenha a opção da contabilização pela marcação a mercado ou não.

Mercados líquidos e limitações em mercados ilíquidos - Os mercados líquidos devem ser entendidos como aqueles em que existe um forte mercado secundário ou de “segunda mão” para os ativos financeiros. Isto quer dizer que os compradores e vendedores encontram facilmente a contraparte na hora de negociar os seus ativos financeiros. Enquanto os mercados ilíquidos são o contrário, dado que têm maior dificuldade em encontrar no momento necessário os compradores e vendedores de que necessitam para negociar os seus ativos financeiros.



Copyright © 2006 AIEC.


Tela 39
Módulo 03 -Reengenharia

Com isso, os preços de negociação desses ativos financeiros são diferenciados. Se os mercados são líquidos, esses preços não precisam ser oferecidos ou negociados com deságios (valores cobrados abaixo dos valores nominais) elevados. Existem casos de serem cobrados até com ágio, tal a facilidade para serem negociados.
A questão fundamental para os mercados financeiros e de capitais reside no fato de como os seus preços reagem com a chegada das informações públicas sobre a economia de um país.

Os efeitos teóricos sobre esses anúncios são freqüentemente ambíguos para as ações, mas não para os títulos. A razão principal é que os preços das ações dependem dos fluxos de caixa e das taxas de desconto, enquanto os preços dos títulos – para os quais estão fixos em termos nominais – dependem exclusivamente das taxas de desconto.

Uma revisão da literatura sobre a atividade real esperada, por exemplo, provoca aumentos nas taxas de desconto tanto para as ações, quanto para os títulos (que tenderiam a reduzir os preços), mas também provoca aumentos nos fluxos de caixa esperados para ações (que tenderiam a aumentar os preços). O efeito sobre os preços de títulos dos anúncios das informações públicos sobre a economia de um país é claramente negativo, mas os efeitos sobre os preços das ações dependerão se o efeito do fluxo de caixa ou o efeito das taxas de desconto prevalecem.

Fundamentalmente, os mercados secundários ou de segunda mão é que permitem o desenvolvimento dos mercados primários tanto das ações quanto dos títulos.

Quanto mais negócios de compra e venda (turnover ou giro) existem, melhor para os vários tipos de ações e de títulos. Tanto é assim que os índices de bolsas de valores ou de futuros são calculados com base nas ações mais negociadas ou líquidas nos pregões, bem como os mercados secundários de títulos públicos e privados encontram referenciais ou benchmarkings por meio dos giros de compra e venda desses papéis, divulgando suas cotações para as aplicações financeiras. Outro exemplo de mercados líquidos: 1 e 2.



Copyright © 2006 AIEC.


Ágio é um valor acima do valor nominal.



Atividade real esperada quer dizer que uma expectativa (acontecida no passado com relação ao futuro) pode ser concretizada como real (futuro trazido para o presente).



Exemplo 1 – É o caso dos títulos públicos externos que são utilizados pelo Banco JP Morgan para calcular o EMBI+ (que é o Emerging Market Bonds Index plus), conhecido também como o Risco-País. Se os títulos são muito negociados por meio da soma entre compras e vendas diárias, são escolhidos como referenciais dos títulos dos países.



Exemplo 2 – É o caso do título público norte-americano de 5 anos, conhecido como o referencial para as colocações dos títulos públicos externos dos países emergentes. Assim, quando algum país emergente faz oferta de títulos no mercado financeiro internacional, ele é cotado em “x” bps (basis point spread over US treasury) com base na cotação do título público norte-americano de 5 anos. Por exemplo: se for vendido a 9% bps, isto quer dizer, que o título público do país emergente foi vendido com uma rentabilidade de 9% além do que rende o título público norte-americano de 5 anos, que é o mais líquido.



Tela 40
Módulo 03 -Reengenharia

Resumo

Este módulo mostrou alguns indicadores de eficiência dos investimentos, como instrumento de gestão de riscos. O Índice de Sharpe é um indicador de eficiência dos investimentos, que retrata a relação entre risco e retorno, utilizando-se da formulação de Markowitz. O Índice de Treynor relaciona o prêmio pelo risco pago por uma carteira, medido pelo retorno em excesso ao de um título livre de risco, com coeficiente beta da carteira, que é a expressão de seu risco sistemático. O Índice de Modigliani caracteriza-se pela comparação do desempenho do portfolio que se está avaliando, com os resultados apresentados pela carteira de mercado. É mostrada também a diferença que existe entre a curva de custo histórico ou de valores originais (held to maturity) da maturidade de um título de renda fixa e o yield curve (curva de rendimento ou valor de mercado) com base nas variações das taxas de juros que afetam o valor do P.U. (preço unitário) desses papéis, que é o que vale, corrigido historicamente, ou o valor de mercado. Finalmente, mostrou-se o método de marcação a mercado, ou MtM, como instrumento importante para minimizar o risco de mercado por meio da atualização dos preços dos ativos financeiros pelos preços de mercado.



Copyright © 2006 AIEC.


Unidade 3 Módulo 4
Tela 41
Módulo 03 -Reengenharia

1 - Definição de risco de mercado

Risco no mercado financeiro pode ser entendido como a probabilidade de perda em razão de uma exposição ao mercado.

As perdas no mercado financeiro podem decorrer de diversos eventos, principalmente aqueles relacionados às variações nas taxas de juros e nos preços de mercado.

Como o risco não pode ser eliminado, é essencial que sejam adotadas medidas para minimizá-lo. Assim, uma eficiente gestão de risco é essencial para o estabelecimento de estratégias de atuação tanto das empresas financeiras e não-financeiras, quanto dos aplicadores financeiros pessoas físicas.

As pessoas físicas e jurídicas, além de cumprirem os seus objetivos de maximização de ganhos ou retornos, utilizam à gestão de risco para:


1. Identificar a exposição da empresa ao risco e identificar seus aspectos mais frágeis;
2. Minimizar perdas financeiras;
3. Imunizar o capital aplicado, seja nas empresas seja nas aplicações financeiras.


Os riscos financeiros de um banco, por exemplo, podem originar-se de suas diversas atividades operacionais, tais como créditos concedidos, captações, variações das taxas de juros de mercado, falhas internas e de controle, entre outras.

Os principais riscos financeiros enfrentados pelos bancos em suas atividades podem ser classificados nos seguintes grupos:


a) Risco de crédito: risco da contraparte não honrar o pagamento da dívida;
b) Risco Operacional: risco de perdas determinadas por erros humanos, falhas nos sistemas de informações e computadores, fraudes, eventos externos, entre outras;
c) Risco Soberano: risco por restrições que o país estrangeiro pode impor aos fluxos de pagamentos externos;
d) Risco de Liquidez: risco de ter a disponibilidade imediata de caixa diante de demandas por parte dos depositantes e aplicadores (titulares de passivos) de uma instituição financeira; e,
e) Risco Legal: risco por falta de uma legislação mais atualizada e eficiente com relação ao mercado financeiro como também a um eventual nível de desconhecimento jurídico na realização dos negócios.




Copyright © 2006 AIEC.


Tela 42
Módulo 03 -Reengenharia

O risco de mercado é um dos mais importantes (além, é claro, do risco de crédito) está relacionado com o preço que o mercado estipula para ativos e passivos, negociados pelos intermediários financeiros. O risco de mercado depende do comportamento do preço do ativo em função das condições de mercado. Para entender e medir possíveis perdas devido às flutuações do mercado é importante identificar e quantificar fatores que impactam a dinâmica do preço do ativo. Podem ser subdivididos em algumas grandes áreas, como: acionária,
câmbio, juros e commodities.

Vejamos alguns exemplos de riscos de mercado:

1) Risco de taxas de juros
2) Risco de taxas de câmbio
3) Risco de commodities
4) Risco de ações



Copyright © 2006 AIEC.


Risco de taxas de juros
pode ser conceituado por meio do risco de perda no valor econômico de uma carteira decorrente dos efeitos de mudanças adversas das taxas de juros. Como exemplo, temos os títulos públicos que são prefixados e sofrem elevação ou redução das taxas de juros básicas da economia como a taxa Selic.



Risco de taxas de câmbio
pode ser definido como o risco de perdas devido a mudanças adversas com a desvalorização ou valorização cambial ou das taxas de câmbio. Como exemplo, temos as aplicações financeiras que rendem variação cambial, podendo oferecer ganhos ou perdas com as variações da taxa de câmbio.



Risco de commodities
pode ser definido como o risco de perdas devido a mudanças no valor de mercado de carteiras de commodities. Como exemplo, temos a variação dos preços de contratos financeiros do ouro, prata, platina, soja, café, boi gordo, cacau etc.



Risco de ações
pode ser definido como o risco de perdas devido a mudanças no valor de mercado de carteiras de ações. Como exemplo, temos as variações das cotações das ações da Petrobrás PN, Vale PN, Eletrobrás PNB, ADRs da Usiminas PN etc.



Tela 43
Módulo 03 -Reengenharia

2 - Motivos para mensuração de risco de mercado

No contexto dos modelos de formação de preços de ativos financeiros, o risco de mercado assume significado próprio, resultante de fator comum a um grande conjunto de ativos e que não pode ser reduzido por diversificação. É também denominado de risco sistemático ou risco não diversificável.


O risco de mercado provém de movimentos nos níveis ou nas volatilidades dos preços de mercado dos ativos financeiros.
O crescimento recente da indústria de gestão de risco pode ser atribuído diretamente ao aumento da volatilidade dos mercados financeiros desde o começo dos anos 1970. Vejamos alguns fatos que aconteceram a partir desse período.

Todos esses acontecimentos têm algo em comum: a imprevisibilidade. Os analistas financeiros mostram perplexidade com a rapidez das mudanças que muitas vezes geravam perdas financeiras substanciais. A administração de risco financeiro fornece proteção parcial contra essas fontes de risco.

Como se sabe, o mercado à vista é a pedra fundamental de qualquer mercado financeiro, de capitais ou de commodities, pois preenche a função primária e essencial de estabelecer um valor atual para todos os ativos financeiros. É uma pré-condição para o funcionamento eficiente de qualquer economia. Mas como esse valor atual altera-se em resposta a fatores técnicos e fundamentais, é crucial que um mercado à vista que funcione bem esteja aberto o mais freqüentemente possível. Nesse sentido, os mercados de câmbio estão perto de operar 24 horas por dia à medida que os maiores pedidos de transações com moedas são passados do Extremo Oriente para a Europa, para a América do Norte e de volta para o Extremo Oriente. Em muitos mercados, é útil, até mesmo necessário, suplementar os preços atuais do mercado à vista com um mecanismo que permita aos participantes antecipar o futuro, de forma que antecipando o futuro possam, com isso, neutralizar a incerteza do mesmo.

Entretanto, os preços futuros sozinhos não são suficientes. Qualquer preço futuro representa de alguma forma, a estimativa “média” do valor futuro do ativo; poderia haver um grande número de visões equivocadas que compõem essa média. Essa dispersão das visões individuais reflete a incerteza sobre eventos prováveis que poderiam afetar o valor futuro desses ativos.



Copyright © 2006 AIEC.


Vejamos alguns fatos que aconteceram a partir desse período.
A extinção do sistema de taxas de câmbio fixa em 1971, com a quebra do padrão-ouro no Governo Nixon, dos EUA, provocou grande volatilidade nas taxas de juros e taxas de câmbio internacionais.
Os choques da elevação dos preços internacionais do petróleo, em 1973, provocaram descontroles nas taxas de inflação de muitos países e elevação das taxas de juros internacionais.
A fatídica segunda-feira negra nos EUA (19.10.87) caracterizada pela forte queda (23%) nas cotações das ações norte-americanas, provocando uma descapitalização de US$ 1,0 trilhão no valor de mercado das empresas negociadas na bolsa norte-americana.
A crise do Sistema Monetário Europeu, em setembro de 1992, interrompeu momentaneamente a trajetória de unificação econômica e monetária na Europa, que culminaria com o Tratado de Maastricht e a implantação do euro.
Elevação sucessiva por seis vezes da taxa de juros básica norte-americana pelo Banco Central Norte-americano (Fed), após mantê-la baixa por um período de três anos, provocando um prejuízo de US$ 1,5 trilhão para aqueles detentores dos títulos públicos norte-americanos em 1994.

A queda nos preços das ações japonesas fez com que o índice Nikkei despencasse de 39.000 pontos, no final de 1989, para 17.000, três anos mais tarde. Isso provocou uma descapitalização no valor de mercado das ações no montante de US$ 2,7 trilhões, causando uma grave crise financeira sem precedentes no Japão.



Tela 44
Módulo 03 -Reengenharia

Técnicas que foram desenvolvidas para medir a incerteza de preços de ativos financeiros incluem médias móveis, faixas de valores negociados e volatilidades históricas, mas todas sofrem da desvantagem de olhar para trás, para os preços históricos. Apesar de ser verdade que o passado influi no futuro, dados históricos nunca conseguem predizer adequadamente o futuro.

Os mercados à vista são o caixa ou os mercados físicos das várias classes de ativos: índices de ações, taxas de juros, moedas, metais básicos e preciosos e commodities. Qualquer um, negociando com instrumentos à vista, sabe que a principal preocupação é com as alterações de preços dos ativos financeiros. Dessa forma, o risco do mercado à vista tornou-se sinônimo de risco de preços e, sempre que alguém fala de risco no mercado à vista, ele está se referindo ao risco direcional que está associado com o preço à vista de um ativo movendo-se para cima e para baixo.

O risco de mercado cobre todos os riscos enfrentados por um gestor de um portfolio ou carteira de investimentos gerados por alterações nas condições do mercado. Para um portfolio que contenha ações da Petrobras, Eletrobras, Telemar, Bradesco, Banco do Brasil, aplicações em títulos públicos do governo federal, aplicações ou contratos de petróleo no mercado internacional, aplicações ou contratos de moedas estrangeiras (dólar, iene, e euro, por exemplo), movimentos nas condições de mercado são refletidos quase que exclusivamente por alterações de preço desses ativos. Para tal portfolio, o risco de mercado é quase igual ao risco de preço, pois mudanças adversas do preço podem ter impacto significativo na lucratividade futura.

Buscando minimizar esses riscos de mercado, alguns exemplos de medidas que têm sido estimuladas para os bancos estão relacionadas com a atualização diária a preços de mercado dos ativos financeiros. Além do VaR, outra medida conhecida no mercado financeiro para minimizar o risco de mercado é a marcação a mercado (ou mark-to-market – MtM).

Outra medida que procura ser tomada é o limite à exposição cambial dos bancos, impedindo assim que as variações cambiais provoquem ameaças ao risco sistêmico. Caso os bancos se aventurem em assumir posições ativas ou passivas em derivativos, também são exigidos aportes de capital compatível com o risco assumido. Enfim, todas as preocupações que existem com relação à variação dos preços dos ativos financeiros que potencializem riscos sistêmicos são motivos de regulamentação por parte das autoridades reguladoras e supervisoras do sistema financeiro nacional.



Copyright © 2006 AIEC.


Tela 45
Módulo 03 -Reengenharia

3 - Fatores de risco de mercado


O risco de mercado mostra as chances de perdas de uma instituição financeira decorrentes de comportamentos adversos nos índices de inflação, taxas de juros, indicadores de bolsas de valores, preços de commodities etc.


Por exemplo, o Banco Barings, banco inglês de investimento, faliu em 1995 devido a oscilações desfavoráveis nos preços de negociação de seus títulos no mercado. O banco apostou alto na subida do Índice Nikkei, índice da bolsa de valores do Japão, e diante dessa expectativa de valorização fez vultosos investimentos no mercado futuro, algo em torno de US$ 8,0 bilhões. O comportamento do mercado agiu derrubando o índice Nikkei, e o banco titular dos contratos futuros perdeu mais de 15% do capital aplicado. Como essa perda superou seus recursos próprios, o Banco Barings tornou-se insolvente, sendo sempre referenciado na literatura financeira como um exemplo de risco de mercado.

Se o mercado tivesse se comportado de forma a elevar o índice Nikkei, evidentemente o Barings teria apurado enormes ganhos e teria outra situação nos dias de hoje. O risco de mercado se destaca nesse exemplo pela posição que o banco assumiu – apostou forte na alta de um ativo –, e os seus preços de negociação caminharam para uma situação oposta à prevista. Quanto mais voláteis se apresentarem os preços dos ativos (títulos de renda fixa, ações, derivativos, commodities, etc.), mais altos serão os riscos de mercado das instituições financeiras que operam na expectativa de determinado comportamento em seus preços. Essa situação exige que se acompanhe diariamente o valor dos ativos negociáveis, atualizando sempre seus resultados e posições futuras.

O impacto das mudanças nos últimos 30 anos pode ser retratado pelas oscilações do dólar, das taxas de juros, dos preços do petróleo e dos preços das ações, desde 1962. Em 30 anos, o dólar perdeu cerca de dois terços de seu valor contra o iene e o marco. A taxa de câmbio de ienes por dólar caiu de 361 para menos de 100; a de marcos por dólar sofreu retração de 4,2 para 1,5. O dólar valorizou-se 75% diante da libra no mesmo período. Nesse ínterim, o dólar atingiu máximas inacreditáveis e quedas inéditas, que fizeram que a vantagem competitiva das nações oscilasse violentamente, criando verdadeiros pesadelos para empresas que não realizaram hedge.



Copyright © 2006 AIEC.


Hedge é um contrato financeiro que protege as empresas ou investidores contra riscos de taxas de juros e cambiais.


Tela 46
Módulo 03 -Reengenharia

4 - Mensuração do risco de mercado

O aumento nas volatilidades das taxas de câmbio, taxas de juro e preços de commodities nos mercados financeiros internacionais, principalmente, após a quebra do padrão-ouro em 1971, pelo Governo Nixon, dos EUA, gerou demanda por novos instrumentos financeiros e por ferramentas analíticas para a administração de risco. A gestão de risco financeiro se refere à concepção e à implementação de procedimentos para o controle de riscos financeiros. O gerenciamento de risco surgiu em conseqüência do aumento da volatilidade nos mercados financeiros globais, e graças às inovações tecnológicas.

As mudanças tecnológicas originaram-se dos avanços obtidos pelo desenvolvimento dos equipamentos apropriados e da teoria financeira. Por um lado, foi importante o surgimento de canais de comunicação mais baratos e a melhora do poder de processamento dos computadores. Por outro, avanços na teoria moderna de finanças permitiram às instituições financeiras criar, precificar e controlar os riscos de novos instrumentos financeiros.

O risco de mercado provém de movimentos nos níveis ou nas volatilidades dos preços de mercado dos ativos financeiros. O Valor sob Risco ou Value at Risk – VaR se estabeleceu como uma das medidas-padrão de risco empregadas tanto na literatura acadêmica quanto por instituições financeiras e agentes reguladores. O VaR pode ser definido como a máxima perda durante certo intervalo de tempo (usualmente um dia ou duas semanas) com dado nível de confiança. As ferramentas de VaR permitem que usuários quantifiquem o risco de mercado de maneira sistemática.

dois tipos de risco de mercado:


  • O Risco absoluto, mensurado pela perda potencial em unidades monetárias; e
  • O Risco relativo, relacionado a um índice de referência. Enquanto o primeiro visa à volatilidade dos retornos totais, o outro mede o risco em termos do desvio em relação a algum índice.

O risco de mercado também pode ser classificado em:



Copyright © 2006 AIEC.


Quebra do padrão-ouro – O padrão-ouro foi um sistema de taxas de câmbio fixa dos países desenvolvidos criado no período pós-guerra no sentido de permitir a fixação das taxas de câmbio em função da quantidade de ouro adquirida no mercado financeiro que tinha uma cotação em dólares norte-americano com base na unidade de medida denominada onça-troy. Quanto mais ouro o país tinha, mais forte era sua taxa de câmbio em relação ao dólar norte-americano, e poderia fazer a conversão da quantidade de dólares norte-americana em ouro junto ao governo dos EUA.



Risco direcional trata de exposições à direção dos movimentos das variáveis financeiras, tais como os preços das ações, as taxas de juros, as taxas de câmbio e os preços de commodities. Essas exposições são medidas por aproximações lineares como o Beta para a exposição a movimentos de ações, a Duration para exposições à taxa de juros e o Delta (mudança no preço de um derivativo em relação à mudança no preço do ativo à vista) para exposições aos ativos subjacentes oriundas de opções.



Risco não-direcional
trata dos demais riscos, e que consistem em exposições não-lineares e exposições a posições imunizadas ou a volatilidades. Exposições quadráticas ou de segunda ordem são medidas pela convexidade quando se lida com taxas de juros e Gama (convexidade ou curvatura das opções ou a taxa pela qual o Delta se move) quando se lida com opções.
Delta e Gama podem ser encarados como os dois elementos da sensibilidade do preço de um derivativo, assim como a velocidade e aceleração são os dois aspectos de como um carro se move. Delta, na verdade é o método delta-normal, que se baseia em dados históricos e dados de opções para calcular a volatilidade e correlação das opções e que são conhecidos como derivativos.



Tela 47
Módulo 03 -Reengenharia

5 - Medidas de sensibilidade para mensuração do risco de mercado

A cronologia dos instrumentos de gestão de risco iniciou em 1938, com a Duration de títulos de renda fixa, passou por Markowitz em 1952; modelo de precificação de ativos do Sharpe em 1963; modelo de precificação de opções de Black & Scholes; Acordo de Basiléia em 1988; Testes de estresse em 1992; Value at Risk em 1993;e, o RiskMetrics do Banco JPMorgan em 1994.

Dentre todos, para o risco de mercado, destacou-se a ferramenta conhecida como Valor sob Risco (Value at Risk-VaR), que é um método de fácil compreensão e amplamente utilizado para a gestão, mensuração e controle dos diversos riscos de mercado. Por meio de técnicas estatísticas, o VaR mensura, em condições normais de mercado e considerando um certo grau de confiança num horizonte de tempo, a perda esperada máxima de um título ou de uma carteira de títulos. Exemplos: 1, 2 e 3.

Pode-se, portanto, entender o VaR como uma medida que evidencia a exposição da carteira ao risco de mercado, bem como suas chances de perdas. É uma medida que resume a perda máxima esperada, facilitando bastante à compreensão do risco de uma carteira.

Um modo prático de utilização do VaR ocorre quando, uma vez calculado o VaR, o investidor manifesta seu conforto com relação a ele se comparado com o retorno esperado pela carteira. Caso haja desconforto, a carteira deve sofrer uma realocação de modo a ajustar o VaR ao padrão de risco do investidor.

Existem diversos modos de calcular o VaR de uma carteira, destacando-se os modelos histórico, paramétrico, não-paramétrico e o método de Monte Carlo.

Como deve ser a escolha do modelo de VaR? - Como se sabe, todo modelo é uma tentativa de melhor aproximação da realidade. Os modelos de VaR são, nesse sentido, uma tentativa de inferir a perda máxima de uma carteira. A escolha do modelo mais adequado passa por uma série de passos, entre eles um estudo minucioso da distribuição de probabilidade dos retornos da carteira de investimentos sob análise. No caso do VaR paramétrico, deve ser assumido que a distribuição de probabilidade é normal, mas na maioria dos casos isso não é verificado. Uma vez escolhido o modelo a ser utilizado, ele deve ser testado. Um método para testar o bom uso de um modelo de VaR é o Back Test. Por exemplo.



Copyright © 2006 AIEC.


Duration
é uma medida representativa da duração dos resultados dos fluxos de caixa esperados de um título. Quanto maior a duration maior a sensibilidade do preço do título com a variação na taxa de juros do valor presente.



Exemplo 1:
Por exemplo, uma instituição financeira pode apurar que o VaR de sua carteira, para um dado mês, é de R$ 20 milhões, para um grau de confiança de 97%. Com isso, há 3% de probabilidade para ocorrer perdas na carteira superiores a R$ 20 milhões, ou 97% de probabilidade de ocorrer perdas máximas de R$ 20 milhões.



Exemplo 2:
Por exemplo, VaR de R$ 3 milhões, para 5 dias, com nível de confiança de 98%. Com isso, há 2% de probabilidade de ocorrer perdas na carteira em montante superior a R$ 3 milhões, ou 98% de probabilidade de ocorrer perdas máximas de R$ 3 milhões na carteira.



Exemplo 3:
Por exemplo, suponha um investidor que possua uma carteira cujo valor de mercado é R$ 1.000.000,00 e que seu VaR seja R$ 20.000,00 (2% do valor da carteira). Se esse VaR tem como parâmetros 99% de confiança e foi calculado para 21 dias úteis, ele deve ser interpretado da seguinte forma:
Se o investidor mantiver essa carteira nos próximos 21 dias, com 99% de chance ele não perderá mais do que R$ 20.000,00.
Agora, suponha o mesmo VaR (R$ 20.000,00) com 60% de confiança e para 1 dia útil. A interpretação agora é:

Se o investidor mantiver essa carteira de hoje para o próximo dia útil, com 40% de chance ele poderá perder mais do que R$ 20.000,00.



Por exemplo, suponha que o VaR de uma carteira seja 2%, com 95% de confiança e para o prazo de um dia. Suponha ainda que estejam disponíveis 1.000 retornos da carteira. Como o VaR foi calculado com 95% de confiança, deve-se esperar que somente em 5% dos casos, haja perda observada maior que 2%. Isto é, espera-se que somente em, no máximo, 50 casos exista perda maior do que 2%. Se for constatado que em mais de 50 observações a perda foi superior a 2%, o modelo ou os parâmetros utilizados nele não estão adequados e, assim, é necessário escolher outro modelo ou rever os parâmetros utilizados.



Tela 48
Módulo 03 -Reengenharia

Resumo

Vimos que o risco de mercado está relacionado ao preço que o mercado estipula para ativos e passivos negociados por intermediários financeiros. O risco de mercado depende do comportamento do preço do ativo em função das condições de mercado. Para entender e medir possíveis perdas devido às flutuações do mercado é importante identificar e quantificar fatores que impactam a dinâmica do preço do ativo. Estes podem ser subdivididos em algumas grandes áreas, como: acionária, câmbio, juros e commodities. Os principais exemplos de risco de mercado vistos foram: risco de taxas de juros, risco de taxas de câmbio; risco de commodities e risco de ações.

Foram vistos os motivos para mensuração de risco de mercado, dado que assume significado próprio, resultante de fator comum a um grande conjunto de ativos e que não pode ser reduzido por diversificação. É também denominado de risco sistemático ou risco não diversificável.

Estudou-se que o risco de mercado provém de movimentos nos níveis ou nas volatilidades dos preços de mercado dos ativos financeiros, como por exemplo, com o aumento da volatilidade dos mercados financeiros desde o começo dos anos 1970.
Um dos principais instrumentos que surgiram para gerenciar o risco de mercado, foi o Valor sob Risco ou Value at Risk – VaR, o qual pode ser definido como a máxima perda durante certo intervalo de tempo (usualmente poucos dias ou poucas semanas) com dado nível de confiança em termos de probabilidade.

Finalmente, vimos que um modo prático de utilização do VaR ocorre quando, uma vez calculado o VaR , o investidor manifesta seu conforto com relação a ele se comparado com o retorno esperado pela carteira. Caso haja desconforto, a carteira deve sofrer uma realocação de modo a ajustar o VaR ao padrão de risco do investidor.



Copyright © 2006 AIEC.