| 4
- Potenciação
É a multiplicação de um número,
por ele mesmo, quantas vezes estiverem indicadas em seu expoente.
Genericamente:

Onde:
a = base (valor que será multiplicado)
n = expoente (número de vezes em que deverá ser multiplicada
a base)
Regras:
-
Todo número elevado à unidade será igual a ele
mesmo.

- Todo número
elevado a zero será igual à unidade.

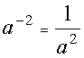
- Todo
número elevado a um expoente negativo será igual a uma
fração na qual a unidade será o numerador e o próprio
número será o denominador elevado ao expoente com sinal
positivo.

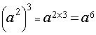
- Na multiplicação
de potências de mesma base, conserva-se a base e somam-se os expoentes.
- Na divisão
de potências de mesma base, conserva-se a base e subtraem-se os
expoentes.
- Na multiplicação
de potências de bases diferentes, porém com o mesmo expoente,
multiplicam-se as bases e conserva-se os expoentes.


|