Determinação do Valor Futuro (FV) para SUP

Ao estudarmos o RCC, verificamos que o valor futuro (FV), de um dado valor presente (PV), é obtido a partir da equação:

FV=PV(1+i)n
(9)

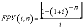
Sendo o valor presente de uma SUP calculado por: (4), substituindo-se o PV da equação (4) na (9), teremos:

FV=PMTxFPV(i,n)x(1+i)n
(10)

Como: (7), substituindo-se FPV (i,n) da expressão (7) na fórmula (10) e resolvendo a equação teremos:

(11)

A equação (11) revela que o valor futuro de uma série uniforme postecipada (SUP) pode ser obtido mediante a multiplicação do termo da série (PMT) pelo fator de valor futuro, dada uma taxa “i” e um número de termos “n”, FFV (i,n) ou Snù i, assim, têm-se que:

FV=PMTxFFV(i,n)
(12)
Onde:  
(13)

Exercícios Resolvidos



Copyright © 2010 AIEC.