Uma determinada regra de negócio pode definir qual será o próximo estado do objeto. Também é possível que a regra defina uma entre várias opções de mudança de estados.

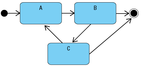
O diagrama abaixo representa uma situação hipotética válida, onde podemos observar mudanças que vêm e voltam e mais de uma opção de sequência. Observe que é possível:

A mudar para B,
B mudar para fim,
B mudar para C,
C mudar para fim,
C mudar (voltar) para A.

Exemplo de mudanças de estado com mais de uma opção
Copyright © 2014 AIEC.