Alguns exemplos de expressões lógicas já foram vistos anteriormente, a seguir temos mais alguns exemplos:

Se <18 > 20> então
     Imprima na tela a palavra “maior”
Fim-se

O resultado então será falso e não acontecerá nada.

Se <45 = 45> então
     Imprima na tela a palavra “igual”
Fim-se

O resultado será verdadeiro e será impresso a palavra “igual”

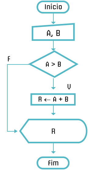
Exemplo de fluxograma



Copyright © 2014 AIEC.