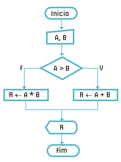
• Estrutura de condição se-entao-senão

Essa estrutura de condição oferece a possibilidade de executarmos uma determinada ação ou comando se o resultado da expressão for verdadeiro ou falso. Para essas situações é utilizado o comando senão, como mostrado nos exemplos abaixo.


se<expressão> então
      <comandos>
Senão
      <comandos>
fim-se

Exemplo no fluxograma



Copyright © 2014 AIEC.