Estrutura de decisão composta


Oferece a possibilidade de executarmos uma determinada ação ou comando se o resultado da expressão lógica for verdadeiro e de executarmos uma ação diferente se o resultado da expressão lógica for falso.

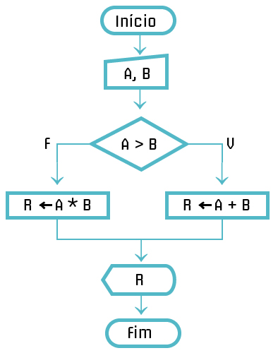
O exemplo a seguir mostra um algoritmo utilizando fluxograma para ler dois números e apresentar a soma entre eles se o primeiro for maior, se o segundo número for maior, é feita a multiplicação desses números.

O fluxo com a identificação V executa caso o teste seja verdadeiro. Caso o teste resulte em falso, o fluxograma executa a outra parte do algoritmo.

E se os números forem iguais, qual fluxo será executado? Qual é o resultado do teste A>B, verdadeiro ou falso?

Resposta



Copyright © 2014 AIEC.