Dados de Entrada Dados de entrada: A e B <<Fechar
Dados de Entrada
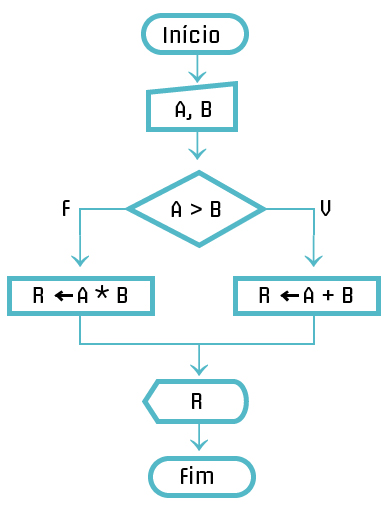
Dados de entrada: A e B
<<Fechar
Dados de Saída Dados de Saída: R <<Fechar
Dados de Saída
Dados de Saída: R
Exemplo 4
No fluxograma a seguir, quais os dados de entrada e de saída?
Resposta: